Finding where this function is increasing or decreasing

Click For Summary

Homework Help Overview

The discussion revolves around determining where a given function is increasing or decreasing, specifically analyzing the derivative of the function, which is expressed as f'(x) = 12x^3 - 12x^2 - 24x. Participants are exploring the implications of the critical points derived from the derivative and the conditions under which the function increases or decreases.

Discussion Character

  • Exploratory, Assumption checking, Mathematical reasoning

Approaches and Questions Raised

  • Participants discuss the method of finding where the function is increasing by analyzing the derivative and critical points. There are questions about how to combine inequalities into a single domain restriction and whether to use intersections or unions of conditions. Some participants suggest testing intervals between critical points to determine the behavior of the function.

Discussion Status

The discussion is active, with participants providing various perspectives on the approach to finding intervals of increase and decrease. Some guidance has been offered regarding the importance of considering multiple cases and critical points, while others express concerns about the efficiency of the original poster's method.

Contextual Notes

There is an emphasis on understanding the implications of inequalities and critical points, with participants noting the necessity of careful tracking of assumptions made during the analysis. The original poster's approach is critiqued for potentially leading to incorrect conclusions about the intervals of increase.

member 731016
Homework Statement
Please see below
Relevant Equations
Please see below
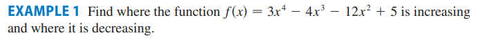
For this,
1683855431579.png

I first try to work out where function is increasing

My working is
##f'(x) = 12x^3 - 12x^2 - 24x##
For increasing,
##12x(x^2 - x - 2) > 0##
##12x > 0## and ##(x - 2)(x + 1) > 0##
##x > 0## and ##x > 2## and ##x > -1##

However, how do I combine those facts into a single domain restriction? Do you just say f(x) increaseing for ##x > - 1##?

Many thanks!
 
Physics news on Phys.org
I hope you know that this is just one of the combinations that you need to look at.
That being said, looking at this one case, it is clear that "x > 0 and x > 2 and x > -1" requires that x > 2.
And if x > 2, the other conditions are satisfied. So this case simplifies to x > 2.
Now you need to consider the other cases that might give you other solutions..
 
  • Like
Likes   Reactions: member 731016 and malawi_glenn
ChiralSuperfields said:
Homework Statement: Please see below
Relevant Equations: Please see below

For this,
View attachment 326410
I first try to work out where function is increasing

My working is
##f'(x) = 12x^3 - 12x^2 - 24x##
For increasing,
##12x(x^2 - x - 2) > 0##
##12x > 0## and ##(x - 2)(x + 1) > 0##
##x > 0## and ##x > 2## and ##x > -1##

However, how do I combine those facts into a single domain restriction? Do you just say f(x) increaseing for ##x > - 1##?

Many thanks!
Rather than using the ##>## symbol, I like to find the critical points, where ##f'(x)=0##. So rather than using ##f'(x)>0## we can use ##f'(x)=0## to get ##x = 0## and ##x = 2## and ##x = -1##.

Then try test points in between these critical points, to see if the function is increasing or decreasing. For example, test ##f'(-2)=-96<0 ∴## decreasing to the left of the critical point ##x=-1## etc.

In the way you are solving this, you are finding incorrect results. For example ##f(x)## does not increase for ##x>-1## for all ##x## yet your result seems to state that it does. Every line of working should be true. That's why I recommend finding critical points rather than using the inequality.
 
Last edited:
  • Like
Likes   Reactions: member 731016 and fresh_42
YouAreAwesome said:
For example ##f(x)## does not increase for ##x>-1## for all ##x## yet your result seems to state that it does.
His result for that case is that f(x) is increasing for "x > 0 and x > 2 and x > -1", meaning the intersection of x > 0, x > 2, and x > -1, not the union. So his result for that case is that f(x) is increasing for x > 2, which is true.
 
  • Like
Likes   Reactions: member 731016
FactChecker said:
His result for that case is that f(x) is increasing for "x > 0 and x > 2 and x > -1", meaning the intersection of x > 0, x > 2, and x > -1, not the union. So his result for that case is that f(x) is increasing for x > 2, which is true.
While this may be a single domain restriction that is true based on the inequalities found, it is quite the waste of time, considering the question asks to find where the function is increasing and decreasing - not just for a single domain restriction for where it is only increasing. The recognition that the function is increasing for x > 2 after doing all of that working out is a huge waste of time. Better to just find the critical points and test any x value between the critical points.
 
  • Like
Likes   Reactions: member 731016 and FactChecker
YouAreAwesome said:
While this may be a single domain restriction that is true based on the inequalities found, it is quite the waste of time,
Good point; your way would be quicker. But it seems apparent that there is a lot to be learned in the OP approach. It shows struggles with some basic things that need more practice. And this should only take a couple of minutes more.
 
  • Like
Likes   Reactions: member 731016
YouAreAwesome said:
The recognition that the function is increasing for x > 2 after doing all of that working out is a huge waste of time. Better to just find the critical points and test any x value between the critical points.
Probably a quicker way would have taken a little more mathematical experience than the OP shows now. Since ##f'(x) = 12x^3-12x^2-24x = 12x(x-2)(x+1)## is positive for large x and has no double zeros, it alternates sign between the zeros: positive for x > 2, negative for 0 < x < 2, positive for -1 < x < 0, negative for x < -1.
 
Last edited:
  • Like
Likes   Reactions: member 731016
YouAreAwesome said:
Rather than using the ##>## symbol, I like to find the critical points, where ##f'(x)=0##. So rather than using ##f'(x)>0## we can use ##f'(x)=0## to get ##x = 0## and ##x = 2## and ##x = -1##.

That would have been my approach, too. Then add what happens at left and right infinity, i.e. whether it comes from top left or bottom left and goes to top right or bottom right and you already have a qualitative picture of the graph.

Then you need to check ##f''(x_0)## at the points where ##f'(x_0)=0##. This makes the difference between
1683900519261.png
 
  • Like
Likes   Reactions: member 731016
FactChecker said:
His result for that case is that f(x) is increasing for "x > 0 and x > 2 and x > -1", meaning the intersection of x > 0, x > 2, and x > -1, not the union. So his result for that case is that f(x) is increasing for x > 2, which is true.
Thank you for your replies @FactChecker , @YouAreAwesome and @fresh_42 !

Thinking about this a bit more, @FactChecker, do you please know why it would be the intersection of x > 0, x > 2, and x > -1, not the union? Is this a general principle for finding solutions to polynomials?

Many thanks!
 
  • #10
ChiralSuperfields said:
Thinking about this a bit more, @FactChecker, do you please know why it would be the intersection of x > 0, x > 2, and x > -1, not the union? Is this a general principle for finding solutions to polynomials?
This is not a specific thing about polynomials. I think that if you go through your work step-by-step, you will see that these restrictions were just describing a particular case. There were others. You have to carefully keep track of the assumptions you make in each case and what other cases there are. It might help to label the cases. For instance:
ChiralSuperfields said:
##12x(x^2 - x - 2) > 0##
Ok. You are looking for all the increasing sections.
CASE1:
ChiralSuperfields said:
##12x > 0## and ##(x - 2)(x + 1) > 0##
So this is the case where BOTH ##12x \gt 0## and ##(x - 2)(x + 1) > 0##. That means an intersection of x values.
CASE 2:
Don't forget about the other case where ##12x \lt 0## and ##(x - 2)(x + 1) \lt 0##. I don't think you ever solved that case, which should give you more x values to UNION with the x values that you found in the case that you were working through. That will probably give you the range ##-1\lt x\lt 0##, where the function is also increasing. I suggest that you work this case out. I think you need the practice.
CASE 1A:
ChiralSuperfields said:
##x > 0## and ##x > 2## and ##x > -1##
So the one case you are working actually has two "subcases". This subcase has to have all three conditions satisfied by x. So that is an intersection. And x must be ##\gt 2## to satisfy all three restrictions.
CASE 1B:
But you should also UNION that with the solutions of this case: ##x \gt 0## and ##x \lt 2## and ##x \lt -1##
All three restrictions on x must be true in this subcase. In this subcase, there are no solutions since x can not be both ##\gt 0## and ##\lt -1##.
ChiralSuperfields said:
However, how do I combine those facts into a single domain restriction? Do you just say f(x) increaseing for ##x > - 1##?
No. If you have all three of these true, ##x > 0## and ##x > 2## and ##x > -1##, then you have ##x\gt 2##.
 
Last edited:
  • Informative
Likes   Reactions: member 731016
  • #11
@ChiralSuperfields, in addition to what's already been said...

It may help you to sketch the graph. It’s not hard to do this ‘by hand’ (i.e. without software!). Just find the critical points and some convenient intermediate values. This is a useful skill!

Of course it’s even easier with suitable software: https://www.desmos.com/calculator/uhzt1yntz7

And maybe interval notation is neatest here. So , for example, the parts of the domain where the function is decreasing can be written as ##(-\infty , -1) \cup (0, 2)##.
 
  • Like
Likes   Reactions: member 731016, FactChecker and YouAreAwesome

Similar threads

  • · Replies 15 ·
Replies
15
Views
2K
  • · Replies 4 ·
Replies
4
Views
2K
  • · Replies 1 ·
Replies
1
Views
7K
  • · Replies 2 ·
Replies
2
Views
2K
Replies
8
Views
2K
  • · Replies 9 ·
Replies
9
Views
2K
  • · Replies 9 ·
Replies
9
Views
2K
Replies
11
Views
2K
  • · Replies 3 ·
Replies
3
Views
1K
  • · Replies 12 ·
Replies
12
Views
4K