First Weyl Algebras .... A_1 ....

  • Context: Undergrad 
  • Thread starter Thread starter Math Amateur
  • Start date Start date
  • Tags Tags
    Weyl
Click For Summary

Discussion Overview

The discussion revolves around the properties and interpretations of first Weyl Algebras as presented in Matej Bresar's book, particularly focusing on the commutation relation between operators D and L. Participants seek clarification on the identity operator resulting from the commutator and the implications of operator composition versus multiplication.

Discussion Character

  • Technical explanation
  • Conceptual clarification
  • Debate/contested

Main Points Raised

  • Peter questions Bresar's assertion that the commutator ##[D, L] = I##, suggesting it seems more like ##[D, L] = 0##.
  • One participant suggests applying the commutator to a test function ##f(\omega)## to explore the outcomes of ##(DL)f(\omega)## and ##(LD)f(\omega)##.
  • Another participant notes the necessity of considering the product rule of differentiation when evaluating ##D(L(f))##.
  • Peter expresses gratitude for clarifications regarding the interpretation of DL as a composition of functions/operators rather than a product.
  • A later reply elaborates on the distinctions between different types of multiplication (function multiplication, operator composition, and scalar multiplication) and emphasizes the importance of understanding these in the context of differentiation rules.
  • The same participant explains the significance of the letters D and L, indicating D stands for derivation and L for left-multiplication.

Areas of Agreement / Disagreement

Participants do not reach a consensus on the commutation relation, with differing views on whether ##[D, L]## equates to the identity operator or zero. The discussion remains unresolved regarding the interpretation of the operators and their properties.

Contextual Notes

There are limitations in the definitions of operators as discussed by participants, and the interpretations of multiplication types may depend on specific contexts or definitions that are not universally agreed upon.

Math Amateur
Gold Member
MHB
Messages
3,920
Reaction score
48
I am reading Matej Bresar's book, "Introduction to Noncommutative Algebra" and am currently focussed on Chapter 1: Finite Dimensional Division Algebras ... ...

I need help with some remarks of Bresar on first Weyl Algebras ...

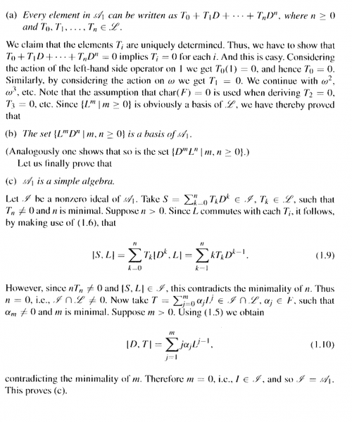
Bresar's remarks on Weyl Algebras are as follows:
?temp_hash=509e38ac20c62b45d30f637569fa41c6.png

?temp_hash=509e38ac20c62b45d30f637569fa41c6.png
In the above text from Bresar we read the following: (see (1.4) above)

" ... ... It is straightforward to check that

##[D, L] = I##

the identity operator ..."Can someone please explain exactly why/how ##[D, L] = I## ... ... ?

(It looks more like ##[D, L] = 0## to me?)Help will be appreciated ...

Peter
 

Attachments

  • Bresar - 1 - Weyl Algebra A_1 - Part 1 ... ....png
    Bresar - 1 - Weyl Algebra A_1 - Part 1 ... ....png
    37.2 KB · Views: 845
  • Bresar - 2 - Weyl Algebra A_1 - Part 2 ... ....png
    Bresar - 2 - Weyl Algebra A_1 - Part 2 ... ....png
    59.8 KB · Views: 802
Physics news on Phys.org
Apply the commutator ##[D,L]=DL-LD## to a test function ##f(\omega)##. What do you get for ##(DL)f(\omega)## and ##(LD)f(\omega)##?
 
  • Like
Likes   Reactions: Math Amateur
You have to take the product rule of differentiation into account for ##D(L(f))##.
 
  • Like
Likes   Reactions: Math Amateur
Thanks for the help eys_physics and fresh_42 ... got the idea now ...

Just needed the interpretation of DL as not a product but a composition of functions/operators ...which you provided ...

By the way ... found it difficult to get a clear and consistent definition of "operator" from my various texts ...

Thanks again,

Peter
 
Math Amateur said:
... the interpretation of DL as not a product but a composition of functions/operators ...
... which is the product here. In case we deal with operators, the usual product is the matrix multiplication, resp. applying one operator after the other: ##(A\circ B)(v)=A(B(v))##. The successive application ##"\circ"## is usually written as a dot or left out. But it's right that one has to be careful, because for usual functions, say ##f,g : \mathbb{R} \rightarrow \mathbb{R}##, we have two (or three if you like) different multiplications:
  1. ##(f \cdot g) (x) = f(x) \cdot g(x)##
  2. ##(f \circ g) (x) = f(g(x))##
  3. and of course scalar multiplications ##(c\cdot f)(x)=c \cdot f(x)\, , \, c \in \mathbb{F}##
The first one is differentiated with the product rule, the second with the chain rule (and the third by linearity of differentiation).

Btw., the letters ##D## and ##L## for the operators above aren't chosen arbitrarily. ##D## stands for derivation (the result of a differentiation), and ##L## for left-multiplication (here with the function ##1(\omega)=\omega## the variable.)

Not to confuse you, it's ##L(f)=1\cdot f## (multiplication #1 where the product rule for differentiation applies) and ##L(f)(\omega)=(1 \cdot f)(\omega)= 1(\omega)\cdot f(\omega)=\omega \cdot f(\omega)##. For the operators ##D## and ##L##, the product is #2, the successive application ##(D\circ L)(f) = D(L(f))## as linear operators on ##\mathbb{F}[\omega]## (and of course also #3 the scalar multiplication with elements of ##\mathbb{F}##).
 
  • Like
Likes   Reactions: Math Amateur

Similar threads

  • · Replies 2 ·
Replies
2
Views
2K
  • · Replies 2 ·
Replies
2
Views
2K
  • · Replies 17 ·
Replies
17
Views
3K
  • · Replies 2 ·
Replies
2
Views
1K
  • · Replies 7 ·
Replies
7
Views
2K
  • · Replies 6 ·
Replies
6
Views
2K
  • · Replies 14 ·
Replies
14
Views
2K
  • · Replies 3 ·
Replies
3
Views
2K
  • · Replies 11 ·
Replies
11
Views
2K
Replies
2
Views
2K