Galois Theory - Structure Within Aut(K/Q) ....

  • Context: Undergrad 
  • Thread starter Thread starter Math Amateur
  • Start date Start date
  • Tags Tags
    Structure Theory
Click For Summary

Discussion Overview

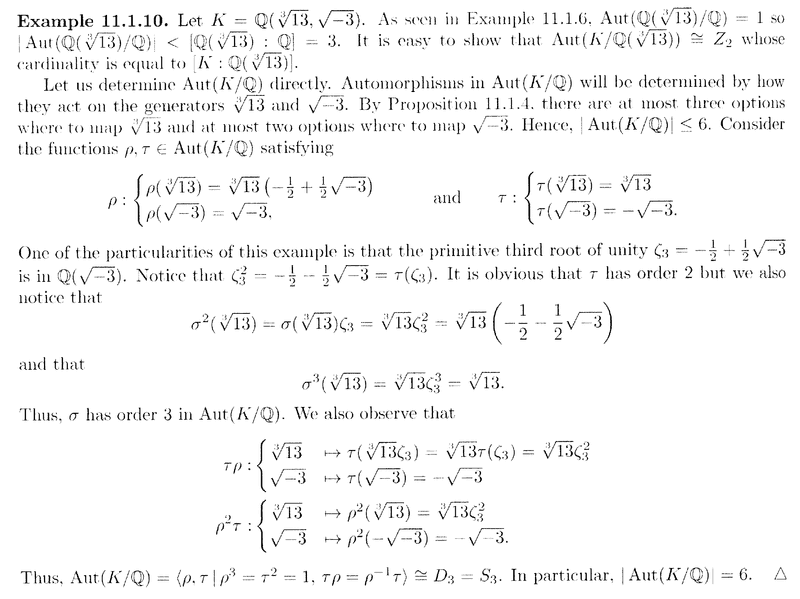
The discussion revolves around Galois Theory, specifically focusing on the structure of the automorphism group of field extensions, as presented in an example from "Abstract Algebra: Structures and Applications" by Stephen Lovett. Participants seek clarification on the automorphisms of the field extension \( K = \mathbb{Q}(\sqrt[3]{13}, \sqrt{-3}) \) over \( \mathbb{Q}(\sqrt[3]{13}) \), and the implications of Proposition 11.1.4 regarding the mapping of roots.

Discussion Character

  • Technical explanation
  • Conceptual clarification
  • Debate/contested
  • Mathematical reasoning

Main Points Raised

  • Some participants question how to show that \( \text{Aut}(K / \mathbb{Q}(\sqrt[3]{13})) \cong \mathbb{Z}_2 \), seeking assistance in understanding the automorphisms that keep \( F \) fixed.
  • There is uncertainty about the three options for mapping \( \sqrt[3]{13} \) and the two options for mapping \( \sqrt{-3} \), with some participants suggesting that Lovett's use of "at most" implies that not all options need to be valid.
  • One participant proposes that the minimal polynomial of \( \mathbb{Q} \subseteq \mathbb{Q}(\sqrt[3]{13}, \sqrt{-3}) \) has three roots, which include \( \sqrt[3]{13} \) and both \( +\sqrt{-3} \) and \( -\sqrt{-3} \).
  • Another participant reflects on the implications of the tower of extensions \( \mathbb{Q} \subseteq \mathbb{Q}(\sqrt{-3}) \subseteq \mathbb{Q}(\sqrt{-3}, \sqrt[3]{13}) \) and the degrees of these extensions.
  • There is a discussion about the mapping \( \sigma \) and its relationship to \( \rho \), with some participants acknowledging a potential error in their understanding.

Areas of Agreement / Disagreement

Participants express varying interpretations of the mappings and the implications of Proposition 11.1.4. There is no consensus on the correct interpretation of the options for mapping the roots, and the discussion remains unresolved regarding the specifics of the automorphisms.

Contextual Notes

Participants note that the discussion hinges on the definitions and properties of the roots involved, as well as the implications of the minimal polynomial. There is also mention of the role of complex numbers in the context of the field extensions.

Math Amateur
Gold Member
MHB
Messages
3,920
Reaction score
48
I am reading "Abstract Algebra: Structures and Applications" by Stephen Lovett ...

I am currently focused on Chapter 8: Galois Theory, Section 1: Automorphisms of Field Extensions ... ...

I need help with Example 11.1.10 on page 560 ... ...Example 11.1.10 reads as follows:
?temp_hash=f28f5a66e1f0eaeb564eb006309f365c.png


My questions regarding the above example are as follows:

Question 1In the above text from Lovett we read the following:

" ... ... It is easy to show that ##\text{Aut} ( K / \mathbb{Q} ( \sqrt[3]{13} ) \ \cong \mathbb{Z}_2## ... ... "Can someone please help me to show that ##\text{Aut} ( K / \mathbb{Q} ( \sqrt[3]{13} ) \ \cong \mathbb{Z}_2## ... ... ?

Question 2In the above text from Lovett we read the following:

" ... ... By Proposition 11.1.4, there are at most three options where to map ##\sqrt[3]{13}## and at most two options where to map ##\sqrt{ -3 }## ... ... "My question is ... what are the three options where to map ##\sqrt[3]{13}## ... surely there is only one option to map ##\sqrt[3]{13}## as the field extension is over ##\mathbb{Q}## and two of the "options" are imaginary or complex numbers ... or is Lovett just relying on "at most" ... why not rule out the complex roots straight away ... similarly I am puzzled about the two options for ##\sqrt{ -3 }## ... I am also puzzled about the role of Proposition 11.1.4 in this matter ... How does Proposition 11.1.4 ensure that there are at most three options where to map ##\sqrt[3]{13}## and at most two options where to map ##\sqrt{ -3 }## ... ... ... can someone please clarify the situation ...The above question refers to Proposition 11.1.4 ... ... so I am providing the text of that proposition ... ... as follows ... ...
?temp_hash=f28f5a66e1f0eaeb564eb006309f365c.png

Help with the above questions will be much appreciated ... ...

Peter
***EDIT***

Just thinking ... since ##K = \mathbb{Q} ( \sqrt[3]{13}, \sqrt{ -3 } )## it already contains a complex number, namely ## \sqrt{ -3 } = \sqrt{ 3 }i## ... maybe that partly explains my questions ... ... and I think it is ##K ##containing the relevant roots, not ##\mathbb{Q}## as I was implying above ...
 

Attachments

  • Lovett - Example 11.1.10  ... ... .png
    Lovett - Example 11.1.10 ... ... .png
    43 KB · Views: 1,288
  • Lovett - Proposition 11.1.4 ... ....png
    Lovett - Proposition 11.1.4 ... ....png
    19.5 KB · Views: 611
Last edited:
Physics news on Phys.org
Math Amateur said:
My questions regarding the above example are as follows:
Question 1
In the above text from Lovett we read the following:
" ... ... It is easy to show that ##\text{Aut} ( K / \mathbb{Q} ( \sqrt[3]{13} ) \ \cong \mathbb{Z}_2## ... ... "Can someone please help me to show that ##\text{Aut} ( K / \mathbb{Q} ( \sqrt[3]{13} ) \ \cong \mathbb{Z}_2## ... ... ?
Let us forget about ##\sqrt[3]{13}## for a moment and note ##\mathbb{Q}[\sqrt[3]{13}] = F##. Then ##K = F[\sqrt{-3}]##.
Which automorphisms ##\operatorname{Aut}(K/F) ## of ##K## that keep ##F## fixed do you have here?
Question 2
In the above text from Lovett we read the following:
" ... ... By Proposition 11.1.4, there are at most three options where to map ##\sqrt[3]{13}## and at most two options where to map ##\sqrt{ -3 }## ... ... "My question is ... what are the three options where to map ##\sqrt[3]{13}## ... surely there is only one option to map ##\sqrt[3]{13}## as the field extension is over ##\mathbb{Q}## and two of the "options" are imaginary or complex numbers ... or is Lovett just relying on "at most" ... why not rule out the complex roots straight away ... similarly I am puzzled about the two options for ##\sqrt{ -3 }## ... I am also puzzled about the role of Proposition 11.1.4 in this matter ... How does Proposition 11.1.4 ensure that there are at most three options where to map ##\sqrt[3]{13}## and at most two options where to map ##\sqrt{ -3 }## ... ... ... can someone please clarify the situation ...
Have you calculated the minimal polynomial of ##\mathbb{Q} \subseteq \mathbb{Q}(\sqrt[3]{13},\sqrt{-3})\,##? It has three possible roots, ##\sqrt[3]{13} \, , \, +\sqrt{-3}\, , \,-\sqrt{-3}\,##. It is only one polynomial and all those have to be roots.
 
  • Like
Likes   Reactions: Math Amateur
fresh_42 said:
Let us forget about ##\sqrt[3]{13}## for a moment and note ##\mathbb{Q}[\sqrt[3]{13}] = F##. Then ##K = F[\sqrt{-3}]##.
Which automorphisms ##\operatorname{Aut}(K/F) ## of ##K## that keep ##F## fixed do you have here?

Have you calculated the minimal polynomial of ##\mathbb{Q} \subseteq \mathbb{Q}(\sqrt[3]{13},\sqrt{-3})\,##? It has three possible roots, ##\sqrt[3]{13} \, , \, +\sqrt{-3}\, , \,-\sqrt{-3}\,##. It is only one polynomial and all those have to be roots.
Thanks for the help fresh_42 ... ...

You write:

"Let us forget about ##\sqrt[3]{13}## for a moment and note ##\mathbb{Q}[\sqrt[3]{13}] = F##. Then ##K = F[\sqrt{-3}]##.
Which automorphisms ##\operatorname{Aut}(K/F) ## of ##K## that keep ##F## fixed do you have here?"I think the automorphisms ##\operatorname{Aut}(K/F) ## of ##K## that keep ##F## fixed would be as follows:##\sigma ( \sqrt{ -3} ) = \sqrt{ -3}## ... ... (identity)

and

##\tau ( \sqrt{ -3} ) = - \sqrt{ -3}##Is that correct?
You also write:

"Have you calculated the minimal polynomial of ##\mathbb{Q} \subseteq \mathbb{Q}(\sqrt[3]{13},\sqrt{-3})\,##?"

Minimum polynomial is ##m(x) = (x^3 - 13)( x^2 + 3)##

Is that correct?On the question of Lovett taking about the three options to map ##\sqrt[3]{13}## ... ... is it just that he uses the term "at most" ?

Peter
 
Math Amateur said:
I think the automorphisms ##\operatorname{Aut}(K/F) ## of ##K## that keep ##F## fixed would be as follows:
##\sigma ( \sqrt{ -3} ) = \sqrt{ -3}## ... ... (identity)
and
##\tau ( \sqrt{ -3} ) = - \sqrt{ -3}##
Is that correct?
Yes.
You also write:
"Have you calculated the minimal polynomial of ##\mathbb{Q} \subseteq \mathbb{Q}(\sqrt[3]{13},\sqrt{-3})\,##?"
Minimum polynomial is ##m(x) = (x^3 - 13)( x^2 + 3)##
Is that correct?
I think so. In the end we have a tower ##\mathbb{Q} \subseteq \mathbb{Q}(\sqrt{-3}) \subseteq \mathbb{Q}(\sqrt{-3},\sqrt[3]{13})##, i.e. an extension of degree two and one of degree three or vice versa.
On the question of Lovett taking about the three options to map ##\sqrt[3]{13}## ... ... is it just that he uses the term "at most" ?
I think I was thinking wrongly here. His upper bound of (at most, yes) three comes from the principle possibility to map ## \sqrt[3]{13}## onto itself and the other two (complex) roots of ##x^3 - 13##. I haven't done the math but he mentions that ##\mathbb{Q}(\sqrt{-3})## contains the third roots of unity, and thus can be used to create the missing roots of ## x^3-13## if the real one ##\sqrt[3]{13}## is available.
 
  • Like
Likes   Reactions: Math Amateur
fresh_42 said:
Yes.

I think so. In the end we have a tower ##\mathbb{Q} \subseteq \mathbb{Q}(\sqrt{-3}) \subseteq \mathbb{Q}(\sqrt{-3},\sqrt[3]{13})##, i.e. an extension of degree two and one of degree three or vice versa.

I think I was thinking wrongly here. His upper bound of (at most, yes) three comes from the principle possibility to map ## \sqrt[3]{13}## onto itself and the other two (complex) roots of ##x^3 - 13##. I haven't done the math but he mentions that ##\mathbb{Q}(\sqrt{-3})## contains the third roots of unity, and thus can be used to create the missing roots of ## x^3-13## if the real one ##\sqrt[3]{13}## is available.
Thanks fresh_42 ...

Still reflecting on what you have said and reading and re-reading the example ...

In particular wondering where the mapping ## \sigma ## comes from ...?

Peter
 
Math Amateur said:
In particular wondering where the mapping σσ \sigma comes from ...?
Good question! As I see it , ##\sigma = \rho##. Haven't even noticed this error.
 
  • Like
Likes   Reactions: Math Amateur
fresh_42 said:
Good question! As I see it , ##\sigma = \rho##. Haven't even noticed this error.
Yes, agree ...

Thanks again for your help ...

Peter
 

Similar threads

  • · Replies 5 ·
Replies
5
Views
3K
Replies
2
Views
2K
  • · Replies 5 ·
Replies
5
Views
2K
  • · Replies 2 ·
Replies
2
Views
2K
  • · Replies 2 ·
Replies
2
Views
4K
  • · Replies 15 ·
Replies
15
Views
2K
  • · Replies 2 ·
Replies
2
Views
2K
  • · Replies 2 ·
Replies
2
Views
3K
  • · Replies 4 ·
Replies
4
Views
2K
  • · Replies 5 ·
Replies
5
Views
2K