Gauss' Theorem -- Why two different notations are used?

Click For Summary

Discussion Overview

The discussion centers around the different notations used in Gauss' theorem as presented in two editions of "Mathematical Methods for Physicists." Participants explore the implications of these notational differences and seek clarification on the meaning of specific symbols used in the equations.

Discussion Character

  • Technical explanation
  • Debate/contested

Main Points Raised

  • One participant notes the difference in notation between the two editions and questions the clarity of the notation used in the books.
  • Another participant suggests that the notation ##\partial V## is used to indicate the surface of a region ##V##, while the second edition uses ##S## for the same purpose.
  • A different viewpoint indicates that the notation in the sixth edition serves to remind readers of the distinction between double and triple integrals in the theorem.
  • Another participant mentions that in physics, integrals are often simplified to a single symbol, implying that the equations are equivalent despite the notation.
  • Clarification is provided that ##\partial V## signifies that the integral is computed over the boundary surface of ##V##.

Areas of Agreement / Disagreement

Participants express differing views on the clarity and implications of the notational differences, indicating that there is no consensus on whether the changes improve understanding or simply reflect stylistic preferences.

Contextual Notes

The discussion does not resolve the implications of the notational changes, and assumptions about the audience's familiarity with the notation are not explicitly stated.

Who May Find This Useful

Readers interested in mathematical notation in physics, particularly those studying or referencing Gauss' theorem in different contexts.

sams
Gold Member
Messages
84
Reaction score
2
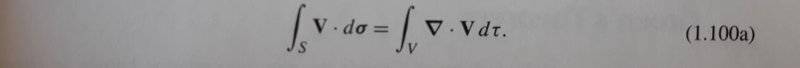
In Mathematical Methods for Physicists, Sixth Edition, Page 60, Section 1.11, the Gauss' theorem is written as:
Gauss' Theorem.PNG

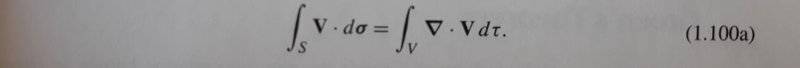
In Mathematical Methods for Physicists, Fifth Edition, Page 61, Section 1.11, the Gauss' theorem is written as:
Gauss' Theorem 2.jpeg

Kindly I would like to know please:
1. What is the difference between the two relations?
2. What does ##\partial{V}## in Equation (1.101a) stands for? In physics, I realized that ##\partial{V}## is usually not included when Gauss' theorem is used, why is that?

Thanks a lot for your help...
 

Attachments

  • Gauss' Theorem.PNG
    Gauss' Theorem.PNG
    2.5 KB · Views: 1,015
  • Gauss' Theorem 2.jpeg
    Gauss' Theorem 2.jpeg
    3.7 KB · Views: 892
Last edited by a moderator:
Physics news on Phys.org
sams said:
In Mathematical Methods for Physicists, Sixth Edition, Page 60, Section 1.11, the Gauss' theorem is written as:
View attachment 231423
In Mathematical Methods for Physicists, Fifth Edition, Page 61, Section 1.11, the Gauss' theorem is written as:
View attachment 231424
Kindly I would like to know please:
1. What is the difference between the two relations?
2. What does ##\partial{V}## in Equation (1.101a) stands for? In physics, I realized that ##\partial{V}## is usually not included when Gauss' theorem is used, why is that?

Thanks a lot for your help...

Do these books not make their notation clear? The only difference is notational.

##\partial V## is sometimes used for the surface of a region ##V##. In the second equation, simply ##S## is used for the surface of the region ##V##.
 
  • Like
Likes   Reactions: sams
The notation used by the sixth edition was to remind the reader that the left hand side is a double integral over the surface of the region and the right hand side is a triple integral over the volume of the region. They likely changed it as someone brought it to their attention or an editor schooled as a physicist took issue and decided it was best to change it.
 
  • Like
Likes   Reactions: dextercioby and sams
Usually un physics triple or double integrals $$\int \int$$ $$\int \int \int$$
Are changed by only one simbol $$\int$$, so that is the same equation.

The simbol $$\partial v$$ means that the integral Is computed on boundary superfice of $$v$$ or on boundary of $$v$$.
$$\partial v=S$$
 
  • Like
Likes   Reactions: sams
Thank you all for your help and for your explanations
 

Similar threads

  • · Replies 1 ·
Replies
1
Views
2K
  • · Replies 2 ·
Replies
2
Views
5K
  • · Replies 15 ·
Replies
15
Views
2K
  • · Replies 10 ·
Replies
10
Views
3K
  • · Replies 5 ·
Replies
5
Views
2K
Replies
2
Views
2K
  • · Replies 1 ·
Replies
1
Views
2K
  • · Replies 2 ·
Replies
2
Views
8K
Replies
15
Views
4K
  • · Replies 146 ·
5
Replies
146
Views
12K