Given probability density function find its cumulative distribution function

Click For Summary
SUMMARY

The cumulative distribution function (CDF) of the random variable X, given its probability density function (PDF) of \( \frac{2}{\pi(1+x^{2})} \), is determined through integration. The correct CDF is derived from the integral \( \int_{-1}^{x} \frac{2}{\pi(1+t^{2})} dt \), resulting in \( \frac{2}{\pi}\arctan(x) + \frac{1}{2} \). The first integration approach, which evaluates the total area under the PDF from -1 to 1, confirms that the total probability equals 1, but does not yield the CDF. The second approach correctly computes the CDF for values of x.

PREREQUISITES
  • Understanding of probability density functions (PDFs)
  • Knowledge of cumulative distribution functions (CDFs)
  • Familiarity with integration techniques in calculus
  • Proficiency in using arctangent functions in mathematical expressions
NEXT STEPS
  • Study the properties of probability density functions (PDFs) and cumulative distribution functions (CDFs)
  • Learn advanced integration techniques, particularly for trigonometric functions
  • Explore the implications of the arctangent function in probability theory
  • Review examples of deriving CDFs from various PDFs
USEFUL FOR

Students and professionals in statistics, mathematicians, and anyone involved in probability theory or statistical analysis who seeks to understand the relationship between PDFs and CDFs.

sofanglom
Messages
1
Reaction score
0
Hi :) Here's my problem along with what I've done.

Here is the problem:

View attachment 8716

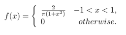
That is the p.d.f. of a random variable X.

I have to find the cdf. I don't know which I should do so I tried it two ways. First:

$\int_{-1}^{1} \ \frac{2}{\pi(1+x^{2})} dx = {{\frac{2}{\pi} arctan(x)]}^{1}}_{-1}=1$

Second:

$\int_{-1}^{x} \ \frac{2}{\pi(1+t^{2})} dt = {{\frac{2}{\pi} arctan(x)]}^{x}}_{-1}=\frac{2(arctan(x)+\frac{\pi}{4}}{\pi}$

Which one is the required CDF for X?
 

Attachments

  • save.PNG
    save.PNG
    1.6 KB · Views: 127
Physics news on Phys.org
Hi, and welcome to the forum!

Which one is the required CDF for X?
The second one, except for the missing closing parenthesis. That is, the CDF is $\dfrac{2}{\pi}\arctan x+\dfrac12$.
 

Similar threads

  • · Replies 3 ·
Replies
3
Views
2K
  • · Replies 4 ·
Replies
4
Views
2K
  • Poll Poll
  • · Replies 4 ·
Replies
4
Views
2K
Replies
4
Views
3K
  • · Replies 2 ·
Replies
2
Views
1K
  • · Replies 6 ·
Replies
6
Views
5K
  • · Replies 4 ·
Replies
4
Views
4K
  • · Replies 2 ·
Replies
2
Views
2K
  • · Replies 3 ·
Replies
3
Views
2K
  • · Replies 3 ·
Replies
3
Views
2K