GR- Energy conservation, effective potential graph sketch

Click For Summary
SUMMARY

The discussion focuses on sketching effective potential graphs for the equation ##V(r) = ( \frac{J^2}{r^2}+\epsilon)(r-\frac{1}{r})##, specifically parts c) and d). In part c), the user successfully deduces the curve's shape by analyzing the critical points and stability, while in part d), they struggle with connecting the limits as ##r \to 0## and ##r \to \infty## for the modified potential ##V(r) = ( \frac{J^2}{r^2}+1)(r-\frac{1}{r})##. The user expresses uncertainty about the graph's middle section due to the critical point being unsolvable, despite recognizing a potential error in the choice of ##\epsilon## for time-like geodesics.

PREREQUISITES
  • Understanding of effective potential in classical mechanics
  • Familiarity with calculus, particularly limits and derivatives
  • Knowledge of geodesics in general relativity
  • Ability to analyze stability of critical points
NEXT STEPS
  • Study the properties of effective potential in classical mechanics
  • Learn about critical points and their stability analysis
  • Explore graph sketching techniques for functions with limits
  • Investigate the implications of different values of ##\epsilon## in potential equations
USEFUL FOR

Students and researchers in physics, particularly those focusing on classical mechanics and general relativity, as well as anyone interested in graph sketching techniques for mathematical functions.

binbagsss
Messages
1,291
Reaction score
12

Homework Statement


vrq.png


I would like to ask about parts c) and d) , the graph sketching bits.


2. Homework Equations


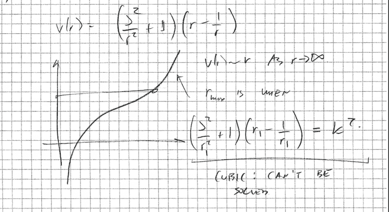
##V(r) = ( \frac{J^2}{r^2}+\epsilon)(r-\frac{1}{r}) ##

where the value of ## \epsilon ## is set according to whether time-like or null etc.

The Attempt at a Solution



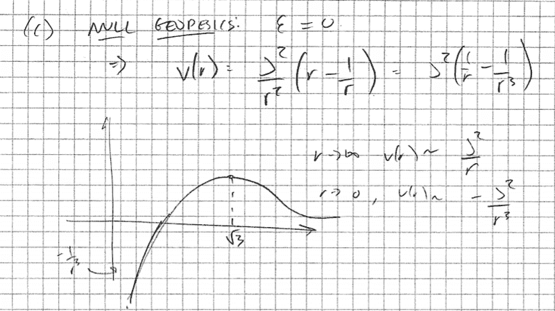
Q1)for part c)

##V(r) = ( \frac{J^2}{r^2})(r-\frac{1}{r}) ##

I am able to deduce the shape of the curve from the fact that the potential ##V'(r)=0 ## is a quadratic and solveable, and so i can check whether this is a stable or unstable point. So to sketch I:
a) ## \lim r \to \infty ## and ## \lim r\to 0 ##
b) to deduce the cts shape consider the critical point and check whether it is stable or unstable.
and that gives me the following which is fine.

(giving me the following:
vr null.png
)

however for part d) instead we have ##V(r) = ( \frac{J^2}{r^2}+1)(r-\frac{1}{r}) ## and now ##\lim r \to \infty = r ## but ##\lim r \to 0 = -1/r^3 ##. from this I can draw the start and end , but am unsure how to connect in the middle- curving upward or downward. compared to the above, null example, where the critical point is solvable and i can check stability to deduce the shape, here the critical point is unsolvable so I am unsure how to do this.

I have the following so far:

vr me.png


the answer is:
vr tl.png

I AM UNSURE WHY, how to deduce the shape on the 'jointy' bit.

Many thanks in advance.

(I believe there may be an error in the solution since for a time-like geodesic instead of ##\epsilon=1 ## it should be ##\epsilon=-1## however I am interested in the principal of the graph sketching, so, assuming the graph sketch is consistent with the value of epsilon chosen for the solution, I'd like to ignore this please and focus on the graph sketching. Thanks).
 

Attachments

  • vr null.png
    vr null.png
    65.9 KB · Views: 670
  • vr tl.png
    vr tl.png
    62.8 KB · Views: 738
  • vr me.png
    vr me.png
    65.5 KB · Views: 577
  • vrq.png
    vrq.png
    30.4 KB · Views: 943
Last edited:
Physics news on Phys.org
bump
many thanks
 

Similar threads

  • · Replies 3 ·
Replies
3
Views
2K
Replies
4
Views
1K
Replies
12
Views
3K
Replies
4
Views
2K
  • · Replies 7 ·
Replies
7
Views
3K
  • · Replies 1 ·
Replies
1
Views
5K
  • · Replies 16 ·
Replies
16
Views
4K
  • · Replies 4 ·
Replies
4
Views
2K
  • · Replies 2 ·
Replies
2
Views
2K
  • · Replies 5 ·
Replies
5
Views
2K