Gradient Vectors: Understanding the Operation - Homework Help

  • Thread starter Thread starter bobsmith76
  • Start date Start date
  • Tags Tags
    Gradient Vectors
Click For Summary
SUMMARY

The discussion focuses on understanding gradient vectors and their operations in the context of implicit differentiation. The key formula presented is $$\frac{dy}{dx} = -\frac{f_x}{f_y}$$, which is essential for solving problems related to equations of the form ##f(x,y)=c##. The participant expresses difficulty in reverse engineering the operations from the solution manual, particularly in identifying patterns across multiple problems. The solution involves substituting values of x and y back into the original equation to determine the gradient.

PREREQUISITES
  • Understanding of implicit differentiation
  • Familiarity with the concept of gradient vectors
  • Basic knowledge of differential equations
  • Proficiency in solving equations of the form ##f(x,y)=c##
NEXT STEPS
  • Study implicit differentiation techniques in calculus
  • Learn about gradient vector fields and their applications
  • Explore differential equations and methods for solving them
  • Practice problems involving the formula $$\frac{dy}{dx} = -\frac{f_x}{f_y}$$
USEFUL FOR

Students in calculus or differential equations courses, educators teaching gradient vectors, and anyone seeking to enhance their understanding of implicit differentiation techniques.

bobsmith76
Messages
336
Reaction score
0

Homework Statement


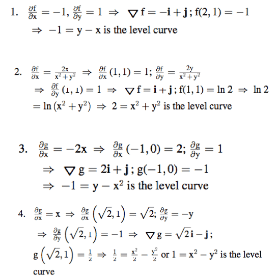
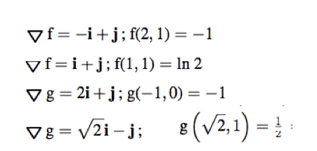
My textbook never explains well so I have to figure out how to do problems by reverse engineering using the solution manual. However, here is one operation that I simply cannot reverse engineer. I do not see a common pattern in these four problems. I can't figure out what operation is going on here. In the first one it looks like they're just multiplying i by x and j by y which would work but given the other 3 examples, that's not what's happening. I understand all the other steps but this is one operation that I don't understand.

Screenshot2012-02-29at72747PM.png


here are the full problems in case you need to see more context.


Screenshot2012-02-29at72744PM.png
 
Physics news on Phys.org
An appropriate response really depends on what level class you are in. One approach, which works on these problems is to remember if you have an equation ##f(x,y)=c##, which determines y implicitly as a function of x, you have the formula$$
\frac{dy}{dx}= -\frac{f_x}{f_y}$$For example, in your problem 2 this would give$$
\frac{dy}{dx}=-\frac x y$$Have you had any differential equations so you can solve this by separation of variables? Like I said, that's not the only way, but I don't know what you have to work with.
 
I figure out the operation. You just go back to the original question and plug in the values for x and y into the original equation, simple as that.
 

Similar threads

  • · Replies 8 ·
Replies
8
Views
2K
  • · Replies 6 ·
Replies
6
Views
1K
Replies
7
Views
3K
  • · Replies 1 ·
Replies
1
Views
2K
  • · Replies 6 ·
Replies
6
Views
3K
  • · Replies 7 ·
Replies
7
Views
2K
  • · Replies 38 ·
2
Replies
38
Views
7K
  • · Replies 8 ·
Replies
8
Views
5K
Replies
4
Views
2K
  • · Replies 1 ·
Replies
1
Views
3K