Gravitational elongation formula conversion from SI

Click For Summary
SUMMARY

The discussion focuses on converting a gravitational elongation formula from SI units to English units. Key values mentioned include gravitational acceleration (g = 32.17405 ft/s²), elongation (x = 3277.972 ft), and cross-sectional area (A = 0.003 in², which is suggested to be 0.034 ft²). The participants emphasize the importance of maintaining consistency in unit choice to ensure proper cancellation of units during calculations. The formula itself does not require conversion, but careful tracking of units is essential for accurate results.

PREREQUISITES
  • Understanding of gravitational elongation concepts
  • Familiarity with unit conversion between SI and English units
  • Knowledge of algebraic manipulation of physical formulas
  • Basic physics principles related to force and elongation
NEXT STEPS
  • Research unit conversion techniques for gravitational formulas
  • Learn about dimensional analysis in physics
  • Explore the application of gravitational elongation in engineering contexts
  • Study the properties of materials under different loading conditions
USEFUL FOR

Physicists, engineers, and students involved in mechanics or materials science who need to convert and apply gravitational formulas in practical scenarios.

Scott S
Messages
22
Reaction score
0
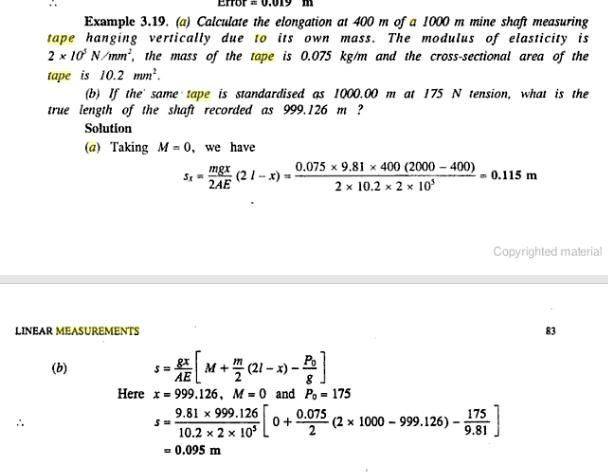
I have attached a pic which really explains the formula and context of the problem.

I'm guessing a gravitational effect passes for physics...

I am trying to convert the formula in (b) below into feet.

If I could reproduce the answer with English units, I could move on and apply the formula to other situations, but the multiplicity of English units is really confusing me.
The English units I have are;
g = 32.17405
x = 3277.972
Next two from my tapes manufacturer,
A = 0.003" (but I think it should be 0.034 feet)
E = 29,700 KSI
M = 0 but could be 20 lbs.
Next one again from the manufacturer,
m = 0.0102 lbs/ft.
l = 3280.84
P(sub)0 = ? but my hundred foot tape would be 23 lbs.
 

Attachments

  • gravity and a survey tape.jpg
    gravity and a survey tape.jpg
    29 KB · Views: 2,945
Physics news on Phys.org
A is the cross-sectional area. 0.003 sq in seems reasonable.
The formula does not need to be converted to use it in different units.
All you have to do is keep track of the units as though they were algebraic unknowns. If you've been completely consistent in choice of units they'll all cancel out. Otherwise you'll have terms like metres/foot remaining, and then you just substitute the appropriate constant (0.3 in this example).
 

Similar threads

  • · Replies 6 ·
Replies
6
Views
3K
  • · Replies 7 ·
Replies
7
Views
2K
  • · Replies 1 ·
Replies
1
Views
1K
  • · Replies 1 ·
Replies
1
Views
2K
  • · Replies 43 ·
2
Replies
43
Views
5K
  • · Replies 19 ·
Replies
19
Views
4K
  • · Replies 32 ·
2
Replies
32
Views
8K
  • · Replies 1 ·
Replies
1
Views
19K
  • · Replies 1 ·
Replies
1
Views
3K
Replies
1
Views
2K