Hard Double Integral Homework: Solve & Understand

Click For Summary

Homework Help Overview

The discussion revolves around a double integral problem involving polar coordinates. Participants are attempting to evaluate the integral and clarify their understanding of the substitution process and the integration limits.

Discussion Character

  • Exploratory, Mathematical reasoning, Assumption checking

Approaches and Questions Raised

  • Participants discuss the use of polar coordinates for the integral, with one original poster expressing uncertainty about handling a specific term involving theta as an exponent. Others point out potential mistakes in evaluating the limits and suggest re-evaluating the integrand.

Discussion Status

The discussion is active, with participants providing feedback on each other's attempts. Some guidance has been offered regarding the evaluation of the integrand and the importance of squaring the lower limit. Multiple interpretations of the problem are being explored.

Contextual Notes

There is mention of an adjunct picture containing the integral, which is not visible in the discussion. Participants are working under the constraints of homework rules that may limit the extent of guidance provided.

CollinsArg
Messages
51
Reaction score
2

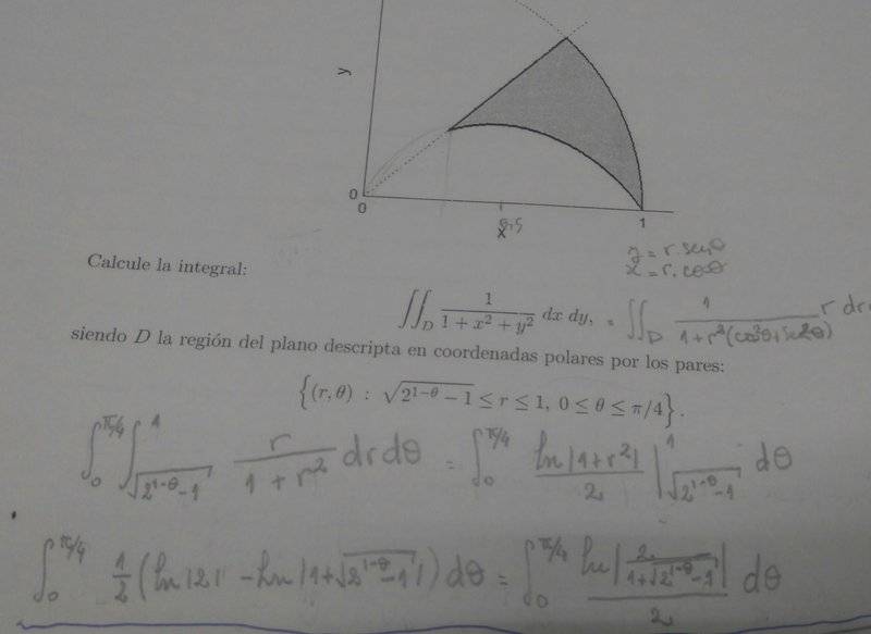
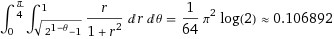
Homework Statement


I'm given the integral show in the adjunct picture, in the same one there is my attempt at a solution.

Homework Equations


x = r.cos(Θ)
y = r.sin(Θ)
dA = r.dr.dΘ

The Attempt at a Solution


gif&s=1.gif
[/B]
I tried to do it in polar coordinates, so I substituted x=r.cos(Θ) y=r.sin(Θ) in the function, I know the answer for the first integral will be ln (1+r^2)/2, but I don't know what should I do with that theta as an exponent of two, inside of a function with a squared root xP. Thank you
 

Attachments

  • gif&s=1.gif
    gif&s=1.gif
    2.7 KB · Views: 912
  • _20171109_203546.JPG
    _20171109_203546.JPG
    25.9 KB · Views: 517
Last edited:
Physics news on Phys.org
CollinsArg said:

Homework Statement


I'm given the integral show in the adjunct picture, in the same one there is my attempt at a solution.

Homework Equations


x = r.cos(Θ)
y = r.sin(Θ)
dA = r.dr.dΘ

The Attempt at a Solution


View attachment 214717 [/B]
I tried to do it in polar coordinates, so I substituted x=r.cos(Θ) y=r.sin(Θ) in the function, I know the answer for the first integral will be ln (1+r^2)/2, but I don't know what should I do with that theta as an exponent of two, inside of a function with a squared root xP. Thank you
There's a mistake in your work. One of your steps is ##\frac 1 2 \int_0^{\pi/4} \ln(1 + r^2) |_{r = \sqrt{2^{1 - \theta} - 1}}^1 d\theta##. When you evaluate the integrand at the two endpoints, remember that you have ##r^2## in the integrand, not r. That makes things a lot simpler.
 
  • Like
Likes   Reactions: CollinsArg
You're on the right track. You forgot to square the lower limit when you plugged it in for r. What is [itex]\log(1+r^2)[/itex] when you plug in [itex]r=\sqrt{2^{1-\theta}-1}[/itex]?
 
  • Like
Likes   Reactions: CollinsArg
Thank you so much!
 

Similar threads

  • · Replies 4 ·
Replies
4
Views
1K
  • · Replies 19 ·
Replies
19
Views
3K
  • · Replies 11 ·
Replies
11
Views
4K
  • · Replies 9 ·
Replies
9
Views
2K
Replies
3
Views
2K
Replies
10
Views
2K
  • · Replies 3 ·
Replies
3
Views
2K
  • · Replies 3 ·
Replies
3
Views
2K
Replies
4
Views
2K
  • · Replies 17 ·
Replies
17
Views
4K