Help trying to derive transfer function

Click For Summary
SUMMARY

This discussion focuses on deriving the transfer function for an op-amp circuit, specifically calculating the ratio Vout/Iin. The user has reached a point in their calculations but is stuck. Key equations include the input impedance Zin at V1+ and the use of nodal analysis to derive the necessary equations. The final transfer function H(s) is achieved by solving a system of equations and taking the limit as the open loop gains A approach infinity.

PREREQUISITES
  • Understanding of op-amp circuit analysis
  • Familiarity with nodal analysis techniques
  • Knowledge of transfer functions in control systems
  • Basic proficiency in solving linear equations
NEXT STEPS
  • Study the derivation of transfer functions in op-amp circuits
  • Learn about nodal analysis in electrical engineering
  • Explore the concept of input impedance in circuits
  • Investigate the implications of open loop gain in op-amps
USEFUL FOR

Electrical engineering students, circuit designers, and anyone involved in analyzing or designing op-amp circuits will benefit from this discussion.

xt3rmin8
Messages
1
Reaction score
0

Homework Statement


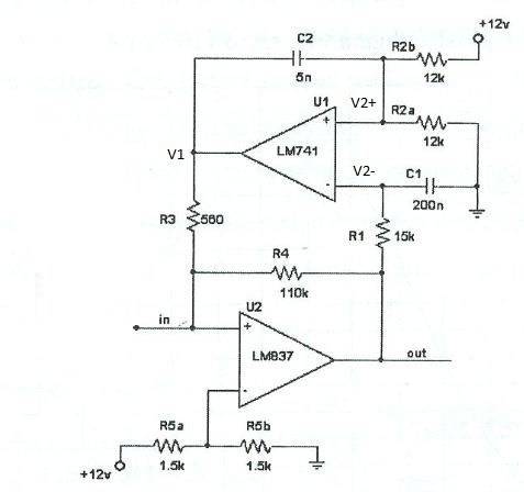
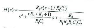
I am trying to derive the transfer function for the circuit (figure 6). I have what the final transfer function is supposed to be (figure 7) but I can't derive it.



Homework Equations


((v2+) - 12)/12k + (v2+)/12k + ((v2+) - v1)/c2= 0

(v2-)/c1 + ((v2-) - Vout)/15k = 0

v1=A(v2+ - v2-)

The Attempt at a Solution


I have gotten up to the point in figure 9 but then i am stuck. Any help would be appreciated.
figure 6.JPG

figure 7.JPG

figure 8.JPG

 
Physics news on Phys.org
To use the term "transfer function" is a little ambiguous here. Normally, given an opamp circuit like this, one would want the ratio Vout/Vin, and would call it a "transfer function".

In this case, if you apply a voltage source, Vin, at the node In, the feedback will be shorted to ground by the zero output impedance of a voltage source, and the output voltage of opamp U2 will just be A2*Vin, where A2 is the open loop voltage gain in U2.

What does make sense, however, is to assume that the input is a current. Then the ratio Vout/Iin is what one would like to calculate.

If we calculate the input input impedance, Zin, at V1+, then we can derive:

Vout/Iin = A2*Zin, as A2 and A1 approach infinity.

We can use V1+, V2+ and V2- as nodes with the nodal method of circuit analysis. Denote the voltages at those nodes as V1, V2 and V3. To find Zin, we can inject a current of 1 amp at node A1+; then the voltage there will be equal to the impedance at that node. Setting the open loop gains of both opamps to A, and summing currents at those nodes, we get three equations.

(1/R3 + (1-A)/R4)*V1 + (-A/R3)*V2 + A/R3*V3 = 1

0*V1 + (1/R2 + (1-A)*s*C2)*V2 + (A*s*C2)*V3 = 0

(-A/R1)*V1 + 0*V2 + (1/R1 + s*C1)*V3 = 0

I left some terms multiplied by zero for clarity.

Solve this system and multiply the result for V1 by A, then take the limit of this expression as A approaches infinity.

When I do all this, I get exactly the final result for H(s) given in your image.
 

Similar threads

  • · Replies 1 ·
Replies
1
Views
2K
  • · Replies 2 ·
Replies
2
Views
2K
  • · Replies 28 ·
Replies
28
Views
7K
  • · Replies 3 ·
Replies
3
Views
2K
  • · Replies 15 ·
Replies
15
Views
4K
  • · Replies 16 ·
Replies
16
Views
2K
  • · Replies 1 ·
Replies
1
Views
2K
  • · Replies 3 ·
Replies
3
Views
3K
  • · Replies 6 ·
Replies
6
Views
3K
  • · Replies 14 ·
Replies
14
Views
7K