Help with Atomic Calcium Electron Configurations

Click For Summary

Homework Help Overview

The discussion revolves around deriving term symbols for the electron configuration of an excited state of atomic calcium, specifically 1s² 2s² 2p⁶ 3s² 3p⁶ 3d¹ 4f¹. Participants are addressing questions related to the lowest energy term symbol, as well as transitions to a specified 3F₂ level from different configurations.

Discussion Character

  • Exploratory, Conceptual clarification, Assumption checking

Approaches and Questions Raised

  • Participants are attempting to derive term symbols and are questioning the validity of their solutions, particularly regarding the inclusion of S=0 terms and the implications of Hund's rule. There is also discussion about selection rules for transitions between terms.

Discussion Status

Some participants have provided guidance on considering selection rules and the importance of correctly identifying term symbols. There is ongoing exploration of the relationships between different terms and their energy levels, with some participants expressing uncertainty about their interpretations.

Contextual Notes

Participants are working within the constraints of homework rules, which may limit the information available for deriving solutions. There is a noted difficulty in interpreting handwritten submissions, which may affect the clarity of the term symbols discussed.

physicisttobe
Messages
56
Reaction score
13
Homework Statement
deriving the term symbols
Relevant Equations
J= L+S
Hi everyone!
I need some help in a specific task.
It´s about this problem:
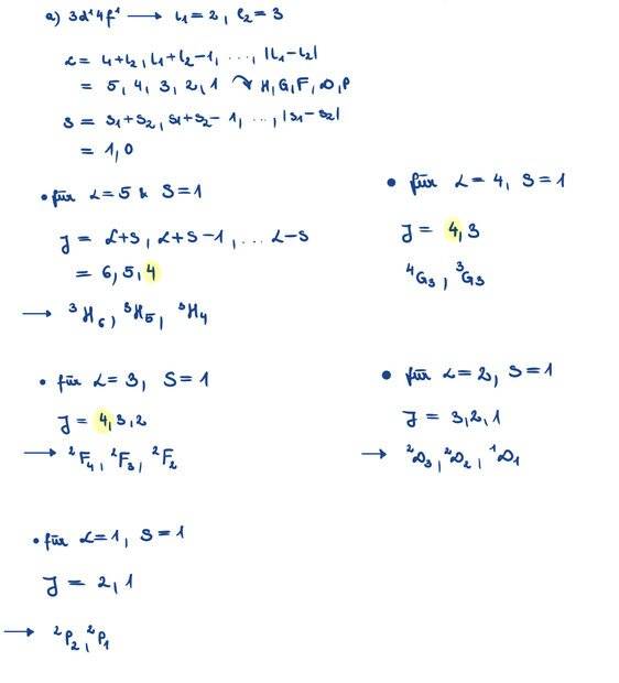
An excited state of atomic calcium has the electron configuration 1s 2 2s 2 2p6 3s 2 3p6 3d1 4f 1 . (a) Derive all the term symbols (with the appropriate specifications of S, L, and J) for the electron configuration. (b) Which term symbol corresponds to the lowest energy of this electron configuration? (c) Consider a 3 F2 level of calcium derived from a different electron configuration than that shown above. Which of the term symbols determined in part (a) can participate in spectroscopic transitions to this 3 F2 level?

I´m not sure if I my solutions are correct. So could you take a look?
First, I start with a), then I'll post b) and c). I hope that you can help me, thanks in advance!
 

Attachments

  • DFA48EAF-89CB-48F9-AF2D-9EF5573A9A15.jpeg
    DFA48EAF-89CB-48F9-AF2D-9EF5573A9A15.jpeg
    20.8 KB · Views: 186
Physics news on Phys.org
What about the ##S=0## terms?
 
DrClaude said:
What about the ##S=0## terms?
Oh, you are right, I also need to consider S=0.
But what about the other term symbols? Are they correct?
 
physicisttobe said:
Oh, you are right, I also need to consider S=0.
But what about the other term symbols? Are they correct?
Yes.
 
Thank you. I post the rest of the task a) here :

E8FB9293-61BB-4F30-968D-585FFD3E06C8.jpeg

Now to question b): How exactly should I solve this problem?
My idea would be: When you draw the electron configuration you‘ll see that 3d corresponds to the lower energy, and l=2 corresponds to d orbital. This means that all term symbols with the letter D have the lowest energy? Is this consideration correct?
 
I don't know how to do b. Maybe you are to use Hund's rule, but they actually don't apply here.
 
All right, I try to figure out how to solve b), but thank you!
And what´s about question c) ? How should I proceed here?
 
physicisttobe said:
And what´s about question c) ? How should I proceed here?
Selection rules.
 
This means Δmj = +/-1, 0 and Δl= +/- 1
This applies to these term symbols:
565318A1-B58D-432B-8882-7DF009200BC4.jpeg

Is it correct?
 
  • #10
physicisttobe said:
This means Δmj = +/-1, 0 and Δl= +/- 1
This applies to these term symbols:
View attachment 314769
Is it correct?
No. First, you are not told about the electronic configuration of the other state, but it is reasonable to assume that ##\Delta l = \pm 1## is satisfied. Second, ##\Delta m_j## is not in play, as you are looking at transitions between terms (which include all ##m_j##), not between levels.

What you need to consider are the selection rules for ##\Delta L##, ##\Delta J##, and ##\Delta S##.

Buy the way, I did not notice that in your answer above you had terms like 4G and 2P (this is the problem when you submit your answer as a scan of handwritten material: it can be hard to read). These terms are not correct. Revise what the superscript number corresponds to.
 
  • #11
DrClaude said:
No. First, you are not told about the electronic configuration of the other state, but it is reasonable to assume that ##\Delta l = \pm 1## is satisfied. Second, ##\Delta m_j## is not in play, as you are looking at transitions between terms (which include all ##m_j##), not between levels.

What you need to consider are the selection rules for ##\Delta L##, ##\Delta J##, and ##\Delta S##.
I'm not sure if I understand you correctly, but then it must be the term 3G_3? Because ΔS=0, ΔL=1, Δl=1 and ΔJ=1
DrClaude said:
Buy the way, I did not notice that in your answer above you had terms like 4G and 2P (this is the problem when you submit your answer as a scan of handwritten material: it can be hard to read). These terms are not correct. Revise what the superscript number corresponds to.
Oh, yes you`re right, for L= 4 and S=1 it must be 3G5, 3G4, 3G3. Is it correct?
 
  • #12
physicisttobe said:
I'm not sure if I understand you correctly, but then it must be the term 3G_3? Because ΔS=0, ΔL=1, Δl=1 and ΔJ=1
There are many terms for which you will have transitions with 3F2.

physicisttobe said:
Oh, yes you`re right, for L= 4 and S=1 it must be 3G5, 3G4, 3G3. Is it correct?
Correct for the G terms. Make sure all the others are correct (##S=0,1##, so you should get singlet and triplet terms only).
 

Similar threads

  • · Replies 8 ·
Replies
8
Views
2K
  • · Replies 1 ·
Replies
1
Views
2K
  • · Replies 2 ·
Replies
2
Views
2K
  • · Replies 2 ·
Replies
2
Views
2K
  • · Replies 4 ·
Replies
4
Views
3K
  • · Replies 1 ·
Replies
1
Views
2K
  • · Replies 9 ·
Replies
9
Views
7K
  • · Replies 5 ·
Replies
5
Views
4K
  • · Replies 5 ·
Replies
5
Views
5K
  • · Replies 5 ·
Replies
5
Views
3K