Help with my Calculus Problems

  • Thread starter Thread starter weiyuezz
  • Start date Start date
  • Tags Tags
    Calculus
Click For Summary

Homework Help Overview

The discussion revolves around calculus problems, specifically focusing on integrals and the application of concepts such as dot products and potential functions. Participants are seeking assistance with their understanding and verification of their answers.

Discussion Character

  • Exploratory, Conceptual clarification, Mathematical reasoning

Approaches and Questions Raised

  • Participants express uncertainty about their answers and seek verification. One suggests estimating integrals using Riemann sums and discusses the implications of dot products. Another mentions the need to explore different formulas for solving a problem involving potential functions.

Discussion Status

Some participants have provided guidance on starting points and approaches, while others emphasize the importance of showing initial effort before receiving help. The discussion includes multiple interpretations of the problems, with no explicit consensus reached.

Contextual Notes

Participants are reminded of forum guidelines that discourage direct solutions to textbook problems, indicating a focus on collaborative learning and effort. There is mention of specific graphics and their implications for understanding the problems at hand.

weiyuezz
Messages
8
Reaction score
0
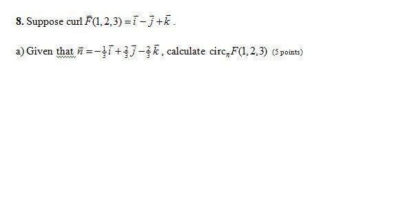
Wondering if anyone can do this, if you can show me.


thanks in a heap
 

Attachments

  • ScreenHunter_002-6.jpg
    ScreenHunter_002-6.jpg
    24 KB · Views: 409
  • ScreenHunter_003-5.jpg
    ScreenHunter_003-5.jpg
    21.4 KB · Views: 406
  • ScreenHunter_004-3.jpg
    ScreenHunter_004-3.jpg
    31 KB · Views: 448
Physics news on Phys.org
another one
 

Attachments

  • ScreenHunter_005-1.jpg
    ScreenHunter_005-1.jpg
    7.2 KB · Views: 397
  • ScreenHunter_006-1.jpg
    ScreenHunter_006-1.jpg
    41 KB · Views: 388
  • ScreenHunter_007.jpg
    ScreenHunter_007.jpg
    29.1 KB · Views: 407
continue
 

Attachments

  • ScreenHunter_010.jpg
    ScreenHunter_010.jpg
    17.4 KB · Views: 415
  • ScreenHunter_009-1.jpg
    ScreenHunter_009-1.jpg
    27.4 KB · Views: 409
  • ScreenHunter_008.jpg
    ScreenHunter_008.jpg
    28.7 KB · Views: 422
continue again
 

Attachments

  • ScreenHunter_011.jpg
    ScreenHunter_011.jpg
    9.3 KB · Views: 351
  • ScreenHunter_012.jpg
    ScreenHunter_012.jpg
    10.8 KB · Views: 428
  • ScreenHunter_013.jpg
    ScreenHunter_013.jpg
    14.3 KB · Views: 376
start by estimating the integral by a riemann sum. it all depends on knowing what dot products measure. (hint: the more parallel two vectors are, the greater their dot product.)
 
last but not least
 

Attachments

  • ScreenHunter_014.jpg
    ScreenHunter_014.jpg
    6.7 KB · Views: 388
  • ScreenHunter_015.jpg
    ScreenHunter_015.jpg
    10.2 KB · Views: 411
Please read our forum guidelines. We can not do your textbook/coursework problems for you. We can help only if you show some effort first.
 
I would suggest you start trying to apply calculus instead of posting pictures.
 
Well, I already done everything but I'm not sure whether my answers are correct. that's the reason why i posted up. So people can help
 
  • #10
to start off that I am not bluffing, the first two graphics are negative because of the parallel circulation creating a negative flux
 
  • #11
2a/b are both answers are equal to zero. I used the potential function out that f=xy and apply the f(Q)-f(P) which ends up with zero answer. But I need to find the answer using different formulas. SO, can anyone shows me other formulas
 

Similar threads

Replies
7
Views
2K
  • · Replies 9 ·
Replies
9
Views
3K
  • · Replies 1 ·
Replies
1
Views
1K
  • · Replies 1 ·
Replies
1
Views
2K
  • · Replies 13 ·
Replies
13
Views
1K
  • · Replies 9 ·
Replies
9
Views
1K
  • · Replies 13 ·
Replies
13
Views
1K
  • · Replies 6 ·
Replies
6
Views
1K
  • · Replies 8 ·
Replies
8
Views
2K
Replies
7
Views
3K