Heun's Method for Second Order ODE (Eng Maths)

Click For Summary
SUMMARY

The discussion focuses on the application of Heun's Method for solving second-order ordinary differential equations (ODEs). The user correctly identifies the transformation of a second ODE into a system of first-order equations by defining \(y_{1} = y\) and \(y_{2} = y'\). The functions derived are \(f_{1}(x,y_{1},y_{2}) = y_{2}\) and \(f_{2}(x,y_{1},y_{2}) = xy_{1} + x^2 - y_{1}\). The user seeks clarification on the implementation of Heun's Method, specifically regarding the calculations of \(a_i\) and \(b_i\) for both functions.

PREREQUISITES
  • Understanding of second-order ordinary differential equations (ODEs)
  • Familiarity with Heun's Method for numerical solutions
  • Basic knowledge of first-order systems of equations
  • Proficiency in mathematical notation and functions
NEXT STEPS
  • Study the derivation of Heun's Method for numerical integration
  • Explore the conversion of higher-order ODEs to first-order systems
  • Practice solving second-order ODEs using Heun's Method
  • Investigate error analysis in numerical methods for ODEs
USEFUL FOR

Mathematics students, engineers, and researchers involved in numerical analysis and differential equations who are looking to enhance their understanding of Heun's Method for solving second-order ODEs.

jisbon
Messages
475
Reaction score
30
Homework Statement
-
Relevant Equations
-
Question:
1596080237600.png

So I got around on doing this example, and I'm pretty sure I messed up somewhere, would appreciate if someone could point out what I did wrongly.
1) For any second ODE, I should let:
##y_{1}= y ## and ##y_{2}= y' ##
Hence,
##y_{1}'= y' = y_{2} ## and ##y_{2}'= y'' = xy(x)+x^2-y(x) = xy_{1}+x^2-y_{1} ##
Thus I have 2 functions:
##f_{1}(x,y_{1},y_{2}) = y_{2}## and## f_{2}(x,y_{1},y_{2}) = xy_{1}+x^2-y_{1}##

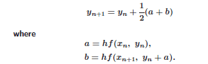
Heun's method then states that:
1596080778823.png
I will assume I have to do out a and b for both functions?
 
Physics news on Phys.org
Yes.
[tex] \begin{align*}<br /> a_i &= hf_i(x_n,y_{1n}, y_{2n}) \\<br /> b_i &= hf_i(x_{n+1}, y_{1n} + a_1, y_{2n} + a_2)<br /> \end{align*}[/tex]
 

Similar threads

  • · Replies 2 ·
Replies
2
Views
2K
Replies
1
Views
2K
  • · Replies 5 ·
Replies
5
Views
2K
  • · Replies 18 ·
Replies
18
Views
3K
Replies
7
Views
2K
  • · Replies 8 ·
Replies
8
Views
2K
  • · Replies 2 ·
Replies
2
Views
2K
  • · Replies 8 ·
Replies
8
Views
2K
  • · Replies 2 ·
Replies
2
Views
2K
  • · Replies 6 ·
Replies
6
Views
2K