How can Bernoulli's equation be applied in this problem?

Click For Summary

Homework Help Overview

The discussion revolves around the application of Bernoulli's equation in a fluid mechanics problem. Participants express differing views on whether Bernoulli's equation is appropriate for the given scenario, with references to both personal attempts and official solutions that utilize the equation.

Discussion Character

  • Mixed

Approaches and Questions Raised

  • Some participants question the validity of applying Bernoulli's equation, citing issues with pressure conditions and streamline considerations. Others suggest checking the mathematical application of energy conservation principles. There are also discussions about the implications of using a rotating frame of reference and fluid statics to analyze pressure differences.

Discussion Status

The conversation is ongoing, with participants sharing their perspectives on the correctness of the official solution and exploring alternative interpretations. Some guidance has been offered regarding the application of fluid statics and the need for careful consideration of pressure conditions.

Contextual Notes

Participants note the presence of conflicting solutions in different texts and express concern over the assumptions made in applying Bernoulli's equation. There is also mention of specific conditions, such as points being at the same pressure and the implications of a rotating frame of reference.

Vibhor
Messages
971
Reaction score
40

Homework Statement



?temp_hash=47568ab3a1f7a1653b4ecb2b7ae904ee.png


Homework Equations

The Attempt at a Solution



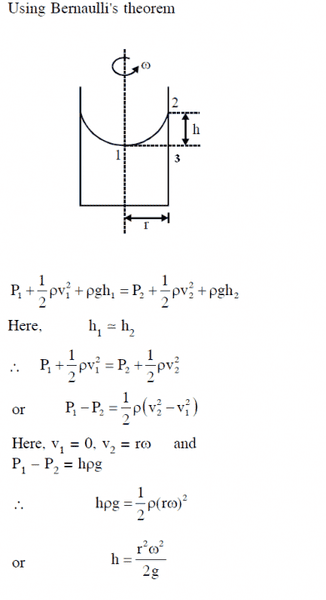
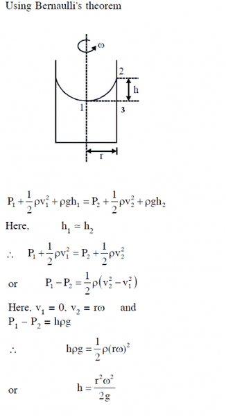
First I would like to mention that I have solved this problem using force approach and got correct result . My problem is that when I saw the official solution , I was quite surprised to see the application of Bernoulli's equation . I believe it cannot be applied here. Here is the given solution .

?temp_hash=47568ab3a1f7a1653b4ecb2b7ae904ee.png


To add to my surprise , I found the same problem in another book and similar use of Bernoulli . The only difference being that in that solution , they worked in two steps . First they applied Bernoulli's equation between points 1 and 3 and then used hydrostatic pressure difference between 2 and 3 .

Interestingly I found similar thread here https://www.physicsforums.com/threads/why-doesnt-bernoullis-equation-apply-in-this-problem.358431/ .

I would request experts to given their opinion whether it is correct to apply Bernoulli's equation in this problem .
Many Thanks

@TSny , @Chestermiller
 

Attachments

  • question.PNG
    question.PNG
    11.9 KB · Views: 1,245
  • solution.PNG
    solution.PNG
    39.6 KB · Views: 1,148
  • Like
Likes   Reactions: Delta2
Physics news on Phys.org
Bernoullis' equation is an application of conservation of energy to incompressible fluids - it is appropriate to conserve energy for this problem.

Probably best to check the maths though.
 
The given solution does not appear to be correct. Points 1 and 2 are at the same pressure (atmospheric).

I also don't see how to apply Bernoulli's equation directly between points 1 and 3 since these points are not on the same streamline.

If you go to the rotating frame of reference, you have a static fluid with a fictitious centrifugal force field in addition to the gravitational field. You can then use principles of fluid statics to find expressions for ΔP between 1 and 3 and ΔP between 3 and 2.
 
  • Like
Likes   Reactions: billy_joule and Vibhor
TSny said:
The given solution does not appear to be correct. Points 1 and 2 are at the same pressure (atmospheric).

I also don't see how to apply Bernoulli's equation directly between points 1 and 3 since these points are not on the same streamline.

I agree . Thanks a lot :smile: . I wonder how physics principles are being applied so whimsically :eek: .

TSny said:
If you go to the rotating frame of reference, you have a static fluid with a fictitious centrifugal force field in addition to the gravitational field. You can then use principles of fluid statics to find expressions for ΔP between 1 and 3 and ΔP between 3 and 2.

This is exactly what I did to get the result .
 
I agree with you guys. This doesn't work for me at all.
 
  • Like
Likes   Reactions: Vibhor
There is another fluid mechanics question whose " official answer" is troubling me . But this time I am not as confident as I was in the OP . I might very well be wrong .

Please see the attached picture . I believe answer should be option a) . But answer given is option c) .

I do not see why the line of action of normal force should act away from the center . If normal force acts to the left or to the right , then force due to the top on the liquid would create a torque on the liquid w.r.t center but liquid is in equilibrium w.r.t the vessel .

OTOH if the liquid was not completely filled , then I think the CM of liquid shifts towards left and so does normal force .

Does it look reasonable ?
 

Attachments

  • box.PNG
    box.PNG
    4.6 KB · Views: 501
Is the water pressure on the top of the box the same for all points of the top?
 
  • Like
Likes   Reactions: Vibhor
The pressure decreases from left to right on the top which means the normal force also decreases from left to right . But average of these forces could very well lie at the center of the top ??

I am not able to argue how the net normal force is towards the left .
 
Vibhor said:
The pressure decreases from left to right on the top which means the normal force also decreases from left to right
OK
But average of these forces could very well lie at the center of the top ??
If I'm understanding the statement of the problem, you want to replace all the normal forces on the little patches of area of the top by one effective normal force.

This effective normal force should produce the same net force on the top and the same net torque on the top (about an arbitrarily chosen origin) as the individual normal forces on the patches.

So, you will have to think about where the effective normal force must be located to produce the correct torque on the top of the box.
 
  • Like
Likes   Reactions: Vibhor
  • #10
So , I should not think in terms of average of all the normal forces to get the net normal force , rather the net normal forces on the walls by the water should be such that they produce zero force as well as zero torque in the frame of box ?

I think I also need to bring in net force on the left and right walls as well . The magnitude of net force on left wall by water will be more than the right wall .
 
  • #11
Vibhor said:
So , I should not think in terms of average of all the normal forces to get the net normal force , rather the net normal forces on the walls by the water should be such that they produce zero force as well as zero torque in the frame of box ?
You do not need to consider all of the walls in order to answer the original question. You only need to consider the top wall.

However, it is interesting to work out all of the walls.
 
  • #12
TSny said:
You do not need to consider all of the walls in order to answer the original question. You only need to consider the top wall.

Sorry . I am stuck . Could you please elaborate .
 
  • #13
Practice with a couple of simple examples. In figure (a) below, how would you replace the two individual forces by one equivalent force? Repeat for figure (b).
upload_2016-7-23_23-41-43.png
 
  • Like
Likes   Reactions: Vibhor
  • #14
Ah ! This is a wonderful pictorial explanation TSny .

Thank you so much :smile:
 
  • #15
Glad it helped.
 
  • Like
Likes   Reactions: Vibhor
  • #16
TSny ,

I just wanted to confirm a few things .

a) If we put the origin of the coordinate system in the accelerated frame at the topmost left point then pressure varies along the top according to ##\frac{dP}{dx} = -\rho a x ## ( 'a' is acceleration of the box) .

b) The equipressure lines would make an angle ##\pi - tan^{-1}(\frac{a}{g})## with the direction of acceleration of the box .

c) Even if the closed box was partially filled with water OR if the box was partially filled with the top opened to atmosphere , the lines of equal pressure would still make an angle ##\pi - tan^{-1}(\frac{a}{g})## with the direction of acceleration of the box .

d) The direction of effective gravity in all the cases ( closed box completely filled with water , closed box partially filled with water , open box partially filled ) would be same . The noticeable difference would be that in case of closed box completely filled with water there would be no free surface . Whereas in the other two cases , water will have free surface tilted such that it is perpendicular to direction of effective gravity .

Is there anything unreasonable I have written ?

Many Thanks
 
  • #17
That all looks good to me. I think you could just as well say that the angle is ##\tan^{-1} \left( \frac{a}{g} \right)## rather than ##\pi - \tan^{-1} \left(\frac{a}{g} \right)##. But either one is fine.
 
  • Like
Likes   Reactions: Vibhor
  • #18
The thing which creates confusion is that despite everything being similar in the case , when closed box is completely full and when it is partially full , is the visibility of a tilted free surface in the latter . But I guess that is because the topmost layer of water is constrained to be in the position it is (not free to move ) , both by the top surface of box above it and water beneath it . Is there more to it ?
 
  • #19
Yes. It's essentially the same as having zero acceleration of the box, but just tilting the box.
upload_2016-7-25_13-16-39.png
 
  • Like
Likes   Reactions: Vibhor

Similar threads

Replies
2
Views
1K
Replies
6
Views
2K
Replies
19
Views
1K
  • · Replies 9 ·
Replies
9
Views
3K
  • · Replies 5 ·
Replies
5
Views
4K
  • · Replies 30 ·
2
Replies
30
Views
3K
  • · Replies 6 ·
Replies
6
Views
3K
  • · Replies 16 ·
Replies
16
Views
2K
Replies
3
Views
2K
  • · Replies 9 ·
Replies
9
Views
3K