How can I calculate the residues of this function

  • Thread starter Thread starter asi123
  • Start date Start date
  • Tags Tags
    Function
Click For Summary

Homework Help Overview

The original poster seeks assistance in calculating the residues of a function at its singularity points, expressing a need for guidance due to their inexperience with the concept of residues.

Discussion Character

  • Exploratory, Conceptual clarification, Assumption checking

Approaches and Questions Raised

  • Participants discuss the formula for finding residues at poles, with some asking for clarification on where to find this information. There are mentions of using partial fractions and integrating around singular points to find residues.

Discussion Status

Participants are exploring different interpretations of the problem, with some providing insights into how to approach finding residues. There is no explicit consensus, but guidance has been offered regarding the integration process and the significance of residues in relation to contour integrals.

Contextual Notes

Some participants note the importance of understanding the context of the problem, particularly regarding the closed paths in relation to the singularity points and how this affects the calculation of integrals.

asi123
Messages
254
Reaction score
0

Homework Statement



Hey guys.
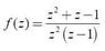
How can I calculate the residues of this function (in the pic) in all of its singularity points?
I'm kind of a newbie in this this residues stuff and I can really use an example.

Thanks in advance.


Homework Equations





The Attempt at a Solution

 

Attachments

  • 1.jpg
    1.jpg
    2.6 KB · Views: 405
Physics news on Phys.org


Well, you've got to show us that you've tried something. Can you please state the formula for finding the residue of a function at a pole of order n?
 


Tom Mattson said:
Well, you've got to show us that you've tried something. Can you please state the formula for finding the residue of a function at a pole of order n?

Well, where can I find that?

All I know is how to use the residue with this formula (in the pic).

Thanks a lot.
 

Attachments

  • 04f29ebef6676e3dac6205c674d34f03.png
    04f29ebef6676e3dac6205c674d34f03.png
    1.4 KB · Views: 470


That formula is normally used to evaluate an integral after you have found the residues but it can be used the other way.

Notice that if you integrate [itex]z^n[/itex], for n not equal to -1, around a circle of radius R, you can take [itex]z= Re^{i\theta}[/itex] so [itex]dz= Ri e^{i\theta}d\theta[/itex] and the integral is
[tex]Ri \int_0^{2\pi} e^{i(n+1)\theta}d\theta= \frac{R}{n+1}e^{i(n+1)x}[/tex]
evaluated at 0 and [itex]2\pi[/itex] so it is 0. If n= -1, n+1= 0 so we can't use that integral but we have
[tex]i\int_0^{2\pi}d\theta= 2\pi i[/tex]

A function f(z) has a pole of order n at [itex]z= z_0[/itex] if and only if it can be written as a power series with negative integer powers down to -n, say f(z)= [itex]a_{-n}z^{-n}+ a_{-n+1}z^{-n}+ \cdot\cdot\cdot+ a_{-1}z^{-1}+ a_0+ a_1z+ \cdot\cdot\cdot[/itex]. If we integrate that term by term, we get 0 for every term except the [itex]z^{-1}[/itex] term which gives [itex]2\pi i a_{-1}[/itex]: The "residue" at z= [itex]z_0[/itex] IS the coefficient of [itex]z^{-1}[/itex].

So do this: use "partial fractions" to write this function as [tex]\frac{Az+ B}{z^2}+ \frac{C}{z-1}= \frac{Az}{z^2}+ \frac{B}{z^2}+ \frac{C}{z- 1}[/itex] and integrate first around a small circle z= 0 to find the residue at z= 0 and then a small circle around z= 1 to find the residue at z=1. Or just look at the coefficients of 1/z and 1/(z-1)![/tex]
 


asi123 said:
Well, where can I find that?

In your book? :confused: If that doesn't work, then do a Google search for "residue of a pole". The first hit contains the formula. Once you've located the formula then we can talk about how to use it.
 


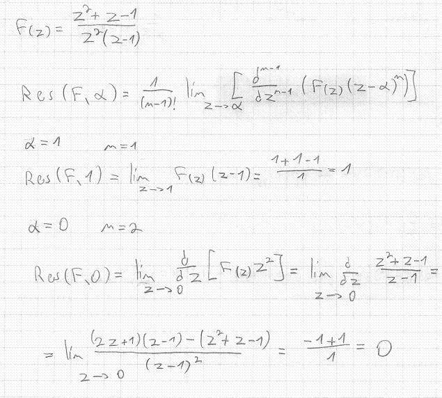
Ok, this is what I did (in the pic).

Now I need to sum the residues to get the answer?

Thanks.
 

Attachments

  • scan0002.jpg
    scan0002.jpg
    57.2 KB · Views: 462


The answer to what question? In your original post you only asked about the residues themselves.

If the problem is to find the integral around a closed path having both z= 0 and z= 1 in its interior then the integral is the sum of the residues times [itex]2\pi i[/itex].

If the problem is to find the integral around a closed path that contains z= 0 but not z= 1 in its interior then the integral is the residue at z= 0 times [itex]2\pi i[/itex].

If the problem is to find the integral around a closed path that contain z= 1 but not z= 0 in its interior then the integral is the residue at z= 1 times [itex]2\pi i[/itex].

To be complete, if the problem is to find the integral around a closed path that contains neither z= 0 nor z= 1 in its interior then the integral is 0, of course.
 


HallsofIvy said:
The answer to what question? In your original post you only asked about the residues themselves.

If the problem is to find the integral around a closed path having both z= 0 and z= 1 in its interior then the integral is the sum of the residues times [itex]2\pi i[/itex].

If the problem is to find the integral around a closed path that contains z= 0 but not z= 1 in its interior then the integral is the residue at z= 0 times [itex]2\pi i[/itex].

If the problem is to find the integral around a closed path that contain z= 1 but not z= 0 in its interior then the integral is the residue at z= 1 times [itex]2\pi i[/itex].

To be complete, if the problem is to find the integral around a closed path that contains neither z= 0 nor z= 1 in its interior then the integral is 0, of course.

Thanks.
 

Similar threads

  • · Replies 3 ·
Replies
3
Views
2K
Replies
3
Views
989
  • · Replies 14 ·
Replies
14
Views
3K
  • · Replies 2 ·
Replies
2
Views
2K
Replies
4
Views
2K
  • · Replies 5 ·
Replies
5
Views
2K
Replies
6
Views
2K
Replies
2
Views
1K
  • · Replies 7 ·
Replies
7
Views
1K
  • · Replies 4 ·
Replies
4
Views
2K