How can the power rule be used on composite functions?

Click For Summary

Homework Help Overview

The discussion revolves around finding the first derivative of the function f(x)=√(5x-4). Participants are exploring the applicability of the Power Rule and the Chain Rule in differentiating composite functions.

Discussion Character

  • Mixed

Approaches and Questions Raised

  • The original poster attempts to use the Power Rule by rewriting the function as (5x-4)^(1/2) but questions the validity of this approach. Some participants suggest using the Chain Rule instead, indicating that the Power Rule alone may not suffice for composite functions.

Discussion Status

Participants are actively discussing the necessity of the Chain Rule when differentiating composite functions. Some have provided guidance on the differentiation process, while others are seeking clarification on the long method of finding derivatives.

Contextual Notes

There is a mention of confusion regarding the application of the Power Rule and the Chain Rule, as well as the challenges faced when attempting to use the limit definition of the derivative.

frozonecom
Messages
63
Reaction score
0

Homework Statement



Get the first derivative of [itex]f(x)=\sqrt{5x-4}[/itex]

Homework Equations


The Attempt at a Solution



The answer given by Wolfram Alpha is [itex]f'(x)=\frac{5}{2\sqrt{5x-4}}[/itex].

The confusion I'm having is what method I should use. Wolfram Alpha suggests that I use the Chain Rule. I want to know if it is possible to use Power Rule since [itex]f(x)=\sqrt{5x-4}[/itex] can be written as [itex]f(x)=(5x-4)^{1/2}[/itex]. However, the answer wouldn't be the same as the answer given by Wolfram. I got [itex]f'(x)=\frac{1}{2\sqrt{5x-4}}[/itex]

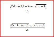
I also tried doing the long way [itex]\frac{f(x+h) - f(x)}{h}[/itex] and couldn't proceed since I can't figure out how to simplify it.

Capture.JPG


Help would be very much appreciated!
 
Last edited:
Physics news on Phys.org
Can you please illustrate how you went through the power rule?
 
Here :)

[itex]f'(x)= (5x-4)^{1/2}[/itex]

Let [itex](y)= 5x-4[/itex]

[itex]f'(x)= y^{1/2}[/itex]
[itex]f'(x)= (\frac{1}{2})y^{\frac{1}{2} - 1}[/itex]
[itex]f'(x)= \frac{y^{-1/2}}{2}[/itex] --- bring y^(-1/2) to make the exponent positive
[itex]f'(x)= \frac{1}{2(y^{1/2})}[/itex]
[itex]f'(x)= \frac{1}{2\sqrt{y}}[/itex]

Then, since [itex](y)= 5x-4[/itex], then

[itex]f'(x)= (\frac{1}{2\sqrt{5x-4}})[/itex]

However, I don't think that this is mathematically correct. But, this is exactly how my teacher explained it to me when I asked her. Thanks in advance for helping! :)
 
You need to use the chain rule as well (the chain rule form of the power rule).

You have f(x) = (u)1/2, with u = 5x - 4, so f'(x) = (1/2)u-1/2 * du/dx. What you're missing is the du/dx factor.
 
The thing is that the power rule doesn't work on composite functions. I see that they have already helped you in previous posts but Ill give you a suggestion. Whenever you encounter a function that can be differentiated with the power rule, differentiate it with the chain rule instead and you'll get a better sense of it. That's what I did.
 
Thanks for the replies! :)

So in short, you cannot JUST use the Power Rule? You really have to use the chain rule?
And also, is it possible to use the long method? Can someone please show me or at least guide me to solve it?? :)
 
[tex]f(x+h)- f(x)= \sqrt{5(x+h)- 4}- \sqrt{5x- 4}[/tex]
"rationalize" the numerator- multiply by
[tex]\frac{\sqrt{5(x+h)- 4}+ \sqrt{5x-4}}{\sqrt{5(x+h)- 4}+ \sqrt{5x-4}}[/tex]
to get
[tex]\frac{5(x+h)-4 -(5x-4)}{\sqrt{5(x+h)- 4}+ \sqrt{5x-4}}=\frac{5h}{\sqrt{5(x+h)- 4}+ \sqrt{5x-4}}[/tex]

Can you finish?
 
stonecoldgen said:
The thing is that the power rule doesn't work on composite functions.
But many textbooks present what they call the chain rule form of the power rule.

##\frac{d~u^n}{dx} = n\cdot u^{n - 1} \cdot \frac{du}{dx}##

For example, d/dx(sin3(x)) = 3*sin2(x) * cos(x)
stonecoldgen said:
I see that they have already helped you in previous posts but Ill give you a suggestion. Whenever you encounter a function that can be differentiated with the power rule, differentiate it with the chain rule instead and you'll get a better sense of it. That's what I did.
 

Similar threads

Replies
5
Views
2K
  • · Replies 31 ·
2
Replies
31
Views
4K
  • · Replies 5 ·
Replies
5
Views
3K
Replies
4
Views
3K
  • · Replies 6 ·
Replies
6
Views
2K
  • · Replies 13 ·
Replies
13
Views
2K
  • · Replies 4 ·
Replies
4
Views
1K
  • · Replies 4 ·
Replies
4
Views
2K
Replies
2
Views
2K
  • · Replies 4 ·
Replies
4
Views
1K