How Do You Integrate and Simplify Complex Cosine Series?

  • Context: MHB 
  • Thread starter Thread starter scottshannon
  • Start date Start date
  • Tags Tags
    Tips
Click For Summary
SUMMARY

The discussion focuses on integrating and simplifying complex cosine series, specifically the expression $$ (f_n(x))^2 = \left(\sum_{k=1}^n \frac1{\sqrt n}\cos\frac{\pi k}n \cos kx\right) \left(\sum_{l=1}^n \frac1{\sqrt n}\cos\frac{\pi l}n \cos lx\right) $$ and its evaluation from $0$ to $2\pi$. The integration reveals that terms where $l \ne k$ vanish, leading to the simplified form $$ \int_0^{2\pi} (f_n(x))^2 = \sum_{k=1}^n \frac\pi n\cos^2\frac{\pi k}n $$, which can be evaluated as $n$ approaches infinity, hinting at a Riemann sum approximation to an integral.

PREREQUISITES
  • Understanding of cosine functions and their properties
  • Familiarity with Riemann sums and integral calculus
  • Knowledge of limits and convergence in mathematical analysis
  • Experience with series and summation techniques
NEXT STEPS
  • Explore Riemann sums and their applications in integral approximation
  • Study the properties of cosine functions in Fourier series
  • Learn about convergence of series and limits in mathematical analysis
  • Investigate advanced integration techniques in calculus
USEFUL FOR

Mathematicians, students studying calculus and analysis, and anyone interested in advanced integration techniques and series simplification.

scottshannon
Messages
46
Reaction score
0
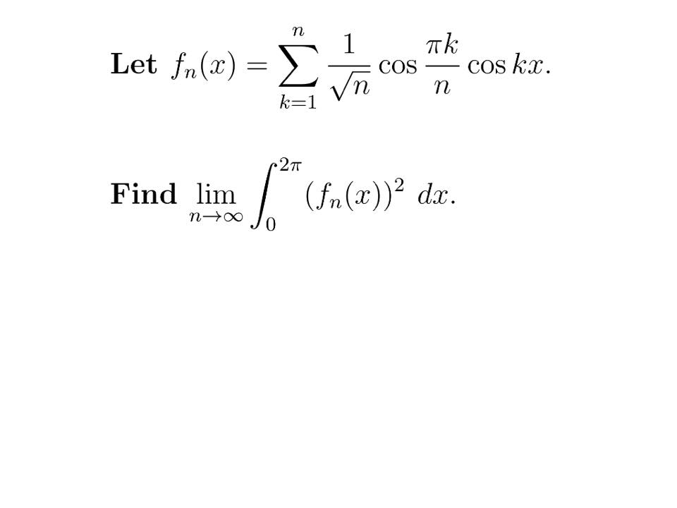
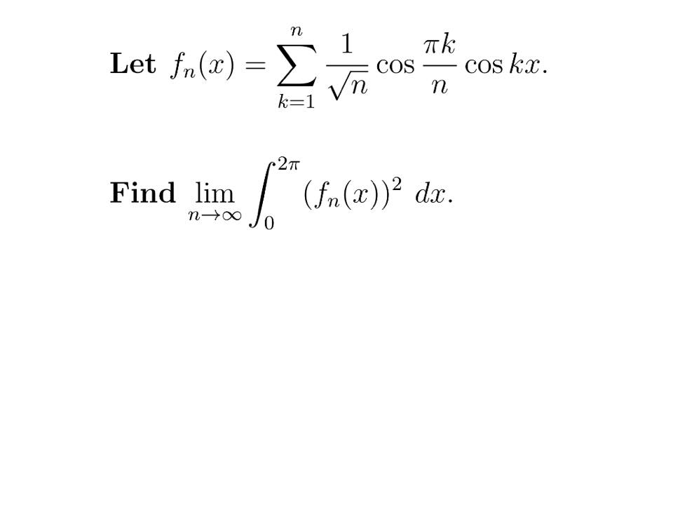
Am not sure how to even approach this problem:

View attachment 3799
 

Attachments

  • 10404419_648018251986822_5696794758703103028_n.jpg
    10404419_648018251986822_5696794758703103028_n.jpg
    14.8 KB · Views: 117
Physics news on Phys.org
Start like this: $$ (f_n(x))^2 = \left(\sum_{k=1}^n \frac1{\sqrt n}\cos\frac{\pi k}n \cos kx\right) \left(\sum_{l=1}^n \frac1{\sqrt n}\cos\frac{\pi l}n \cos lx\right) = \sum_{k,l = 1}^n \frac1n\cos\frac{\pi k}n \cos\frac{\pi l}n \cos kx\cos lx.$$ Now you want to integrate that from $0$ to $2\pi$. But $$\int_0^{2\pi}\!\!\!\cos kx\cos lx\,dx = 0$$ when $l\ne k$. So you can disregard all the terms where $l\ne k$, and all that is left is the sum over the "diagonal" terms. Therefore $$ \int_0^{2\pi}\!\!\! (f_n(x))^2 = \sum_{k=1}^n \frac1n\cos^2\frac{\pi k}n\int_0^{2\pi} \!\!\!\cos^2kx\,dx.$$ Next, $$\int_0^{2\pi}\!\!\!\cos^2kx\,dx = \pi$$, so the sum reduces to $$\int_0^{2\pi}\!\!\! (f_n(x))^2 = \sum_{k=1}^n \frac\pi n\cos^2\frac{\pi k}n$$.

I'll leave you to evaluate the limit of that sum as $n\to\infty$. Hint: think of it as the Riemann approximation to a certain integral.
 

Similar threads

  • · Replies 3 ·
Replies
3
Views
3K
  • · Replies 10 ·
Replies
10
Views
3K
  • · Replies 11 ·
Replies
11
Views
3K
  • · Replies 27 ·
Replies
27
Views
3K
  • · Replies 21 ·
Replies
21
Views
4K
  • · Replies 1 ·
Replies
1
Views
2K
  • · Replies 33 ·
2
Replies
33
Views
4K
  • · Replies 3 ·
Replies
3
Views
2K
  • · Replies 6 ·
Replies
6
Views
4K
  • · Replies 5 ·
Replies
5
Views
3K