How Do You Prove the Equation and Find the Block’s Speed at Position L?

  • Thread starter Thread starter Ruinmaniac
  • Start date Start date
  • Tags Tags
    Calculus Dynamics
Click For Summary
SUMMARY

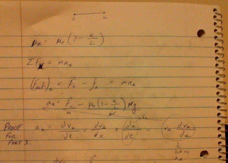
The discussion focuses on a physics problem involving a block of mass m pushed by a constant force Fo across a surface with a variable coefficient of kinetic friction, μk = μ0(1 - x/L). The user seeks to prove the equation ax = vx dvx/dx and find the block's speed at position L. The solution involves integrating the equation and applying conservation of energy principles, leading to the final expression for speed: vx = √(L(Fo/m - μ0g)).

PREREQUISITES
  • Understanding of Newton's second law (F = ma)
  • Familiarity with kinetic friction concepts
  • Knowledge of calculus, specifically integration techniques
  • Basic principles of energy conservation in physics
NEXT STEPS
  • Study the derivation of equations of motion under variable forces
  • Learn about the implications of variable friction coefficients in mechanics
  • Explore integration techniques for solving differential equations in physics
  • Review conservation of energy principles and their applications in mechanics
USEFUL FOR

This discussion is beneficial for physics students, particularly those studying mechanics, engineering students tackling dynamics problems, and educators looking for examples of variable friction scenarios.

Ruinmaniac
Messages
5
Reaction score
0

Homework Statement



A block of mass m is at rest at the origin at t = 0. It is pushed
with constant force Fo from x = 0 to x = L across a horizontal
surface whose coefficient of kinetic friction is μk = μ0(1 - x/L).
That is, the coefficient of friction decreases from μ0 at x = 0 to
zero at x = L.

Prove that:

ax = vx dvx/dx

Then, find an expression for the block’s speed as it reaches position L.

Homework Equations



F = ma
Fk = μkn

The Attempt at a Solution



I actually have no idea how to even approach this question, it was in the challenge problem set of my class year 1 physics textbook.

I know that vx = dx/dt, and if I was to sub that into the equation I have to prove, it makes sense, but I do not know how to actually prove it. For the second part, I actually have no idea whatsoever. Thanks for helping the poor new engineering student.

-Question taken from Physics for Scientists and Engineers 3rd Ed, Knight-
 
Physics news on Phys.org
Ruinmaniac said:
I know that vx = dx/dt,
... and ax = dvx/dt.
What do you get if you combine the two equations so as to eliminate dt?

Note that if you integrate the target equation and multiply both sides by the mass you will get a conservation of energy equation. You can use this to answer the question.
 
Thanks, I think I got it. Sorry for the bad quality photos, my webcam is the only camera I have when doing late night physics :P

1.
https://www.physicsforums.com/attachment.php?attachmentid=71883&stc=1&d=1407216234
2.
https://www.physicsforums.com/attachment.php?attachmentid=71884&stc=1&d=1407216234
3.
https://www.physicsforums.com/attachment.php?attachmentid=71885&stc=1&d=1407216234

Can you tell me if my final answer is right? There is no answer for this question in the textbook. The true final answer (after that factoring error I have) is:

vx = root(L(Fo/m - uog))
 

Attachments

  • picture751.jpg
    picture751.jpg
    55.5 KB · Views: 936
  • picture752.jpg
    picture752.jpg
    56.5 KB · Views: 943
  • picture753.jpg
    picture753.jpg
    50.9 KB · Views: 962

Similar threads

Replies
10
Views
13K
Replies
6
Views
3K
  • · Replies 10 ·
Replies
10
Views
5K
Replies
3
Views
2K
  • · Replies 1 ·
Replies
1
Views
3K
  • · Replies 5 ·
Replies
5
Views
3K
Replies
2
Views
2K
  • · Replies 1 ·
Replies
1
Views
2K
  • · Replies 4 ·
Replies
4
Views
3K
Replies
4
Views
3K