How does a partially wound toroidal core affect magnetic force and field flow?

  • Thread starter Thread starter shishir.gupta
  • Start date Start date
  • Tags Tags
    Core Toroid Wound
Click For Summary

Discussion Overview

The discussion revolves around the effects of using a partially wound toroidal core in a magnetic system, specifically focusing on the magnetic force and field flow generated by such a configuration. Participants explore theoretical equations, practical applications, and alternative core designs relevant to electromagnetism.

Discussion Character

  • Exploratory
  • Technical explanation
  • Debate/contested
  • Mathematical reasoning

Main Points Raised

  • Shishir is investigating the equations needed to determine the magnetic force generated by a partially wound toroidal core and how the magnetic field flows in this setup.
  • Some participants suggest using Ampere's law and related equations to analyze the magnetic field and force, noting that the field will predominantly circulate within the toroid.
  • One participant argues that a toroidal core will yield minimal force on nearby objects because the magnetic field is contained within the toroid, suggesting alternative shapes like a C or E core for better performance.
  • There is a proposal to use a spherical core with a cylindrical winding, with participants discussing its potential effectiveness in generating a magnetic field that can attract and roll over a surface.
  • Concerns are raised about the effectiveness of a spherical core due to the point contact with the surface, with some suggesting that while the force may be less, it would still be greater than that of an air-core coil.
  • Participants discuss the impact of multi-layer coils on the magnetic field, questioning whether the formulas would remain valid and how the thickness of the layers might affect the field strength.
  • There is a suggestion to use an ω-shaped core to concentrate the magnetic field more effectively than an E-shaped core.

Areas of Agreement / Disagreement

Participants express differing views on the suitability of a toroidal core for generating significant magnetic force, with some advocating for alternative designs. The discussion on the effectiveness of a spherical core also reveals uncertainty, as participants explore its potential applications and limitations. There is no consensus on the best core design or the equations that would apply in all scenarios.

Contextual Notes

Participants mention various assumptions regarding the configurations of the cores and the conditions under which the magnetic fields operate. The discussion includes unresolved questions about the effects of multi-layer coils and the specific geometries of the cores on the magnetic field strength.

shishir.gupta
Messages
9
Reaction score
0
Hi all.. I am currently working on a project where i need to wound toroidal core halfway (not completely) so that part f the core is exposed. With that part, I need to lift weight a certain amount of weight (not fixed at this point). I am trying to understand what kind of equations would be useful to determine the magnetic force this system will generate. Also, how will the magnetic field flow in such a system?

Thank You.

- Shishir
 
Engineering news on Phys.org
shishir.gupta said:
I am trying to understand what kind of equations would be useful to determine the magnetic force this system will generate.
Just use Amperes law as usual:

circulation H⋅ds = N*I

B = μ*H
shishir.gupta said:
Also, how will the magnetic field flow in such a system?
It will 99% circulate within the toroid.
 
  • Like
Likes   Reactions: shishir.gupta
Hesch said:
Just use Amperes law as usual:

circulation H⋅ds = N*I

B = μ*H

It will 99% circulate within the toroid.

thank you...

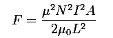
In terms of force that it will generate on a nearby body.. or the amount of weight this system could lift.. that will also be determined by the same equations (F=B^2.A/2.μ)? (The whole load will be taken by the core..like an electromagnet lock)
 
shishir.gupta said:
In terms of force that it will generate on a nearby body
It will yield about no force to a nearby body, because the B-field will be kept inside the toroid.

Use a ∩-shape or E-shape instead, from where the flux will come out.

A toroid has no poles. There is just a magnetic circulation field inside with a direction.

When the field comes out of the core, a magnetic energy density is created in the airgap outside the core, which leads to your formula:

F = ½*A*B*H = ½*B2 / μr.

It's this energy density that attracks a body, because the nature wants to get rid of the energy, which can be done by substituting airgab by iron.
 
  • Like
Likes   Reactions: arydberg
Hesch said:
It will yield about no force to a nearby body, because the B-field will be kept inside the toroid.

Yeah, that's not going to make an electromagnet.

@shishir.gupta -- are you meaning to make a type of horseshoe electromagnet like this?

http://www.scientificlib.com/en/Technology/Literature/ElmerEllsworthBurns/images/fig-42.jpg
fig-42.jpg
 
That's one working configuration, but the electromagnets used in scrapyards use a better design that you can look up. It's a circular center pole surrounded by a circular outer pole. These can use solid steel because it uses DC current and eddy currents are transient at magnet turn on and turn off only . However, if you can get by with a C shape, in core catalogs those are called "cut cores" or "C cores" and are often available off the shelf. You can use two C cores paired into an E shape to approximate the coaxial design used in scrapyards, and the laminated design will allow drive with full wave rectified AC sans other filtering. Just make sure the current is appropriately limited.
 
  • Like
Likes   Reactions: shishir.gupta
berkeman said:
Yeah, that's not going to make an electromagnet.

@shishir.gupta -- are you meaning to make a type of horseshoe electromagnet like this?

http://www.scientificlib.com/en/Technology/Literature/ElmerEllsworthBurns/images/fig-42.jpg
fig-42.jpg

I realize a toroid core won't be a suitable choice for what I want to do.. I was wondering if spherical core could do the job.. (I also need rolling motion on the surface of the weight.. so the core will have a point contact with the body and the core could roll over it..while it is attached to the surface)

Thank you.
 
shishir.gupta said:
I realize a toroid core won't be a suitable choice for what I want to do.. I was wondering if spherical core could do the job.. (I also need rolling motion on the surface of the weight.. so the core will have a point contact with the body and the core could roll over it..while it is attached to the surface)

Thank you.

I don't believe there is any such thing as a spherical core; at least I'm not able to visualize one.

Can you say more about what you are wanting to do? If we understand your application, maybe we can suggest something physical for you...
 
berkeman said:
I don't believe there is any such thing as a spherical core; at least I'm not able to visualize one.

Can you say more about what you are wanting to do? If we understand your application, maybe we can suggest something physical for you...

So.. the current carrying coil will generate the mag field... the spherical core will concentrate the field and (hopefully) attract and attach to the surface.. and the coil-core system could move along the surface (core rolls over the surface, the solenoid and core will move together)..

that is the basic mechanism I am trying to evaluate.. for that system I am trying to generate equations which could help me solve and further optimize it...
 

Attachments

  • Capture.JPG
    Capture.JPG
    8.6 KB · Views: 523
  • #10
shishir.gupta said:
So.. the current carrying coil will generate the mag field... the spherical core will concentrate the field and (hopefully) attract and attach to the surface.. and the coil-core system could move along the surface (core rolls over the surface, the solenoid and core will move together)..

that is the basic mechanism I am trying to evaluate.. for that system I am trying to generate equations which could help me solve and further optimize it...

Oh! A spherical core with a cylindrical winding around it. Now I get it.

Yeah, that should work. Have you tried it? It should be pretty easy to build one up... :smile:
 
  • #11
berkeman said:
Oh! A spherical core with a cylindrical winding around it. Now I get it.

Yeah, that should work. Have you tried it? It should be pretty easy to build one up... :smile:
no..haven't tried it.. was wondering if the same equations will hold for this core (
upload_2015-9-29_18-25-50.png
)... since we do not have an area contact.. a point contact only
 
  • #12
shishir.gupta said:
no..haven't tried it.. was wondering if the same equations will hold for this core (View attachment 89535)... since we do not have an area contact.. a point contact only

The force will be less, but it will still be more than you would get with just an air-core coil of the same size.
 
  • #13
olaney said:
You can use two C cores paired into an E shape
shishir.gupta said:
the spherical core will concentrate the field
To concentrate the field ( flux per m2 ) you could use a ω-shape ( the field somewhat concentrated above the ω ) instead of an E-shape.

The magnetic field tends to find the shortest way around, so the legs of the core must be kept spread until the field is of use ( in the airgap between magnet and iron-body ). That's the idea.
 
  • #14
Another suggestion ( circular E-core ):

ich-h6a3p26-16-e32147n.jpg
 
  • #15
Hesch said:
To concentrate the field ( flux per m2 ) you could use a ω-shape ( the field somewhat concentrated above the ω ) instead of an E-shape.

The magnetic field tends to find the shortest way around, so the legs of the core must be kept spread until the field is of use ( in the airgap between magnet and iron-body ). That's the idea.
That could be done... Thanks !

I had another question.. I was trying to find on google but couldn't get a clear cut answer.. I there is multi layer coil.. how will the magnetic field be affected? Will the formula remain the same taking number of turns in account... or the total thickness of layer affect the field??
 
  • #16
shishir.gupta said:
Will the formula remain the same taking number of turns in account.
Yes
shishir.gupta said:
the total thickness of layer affect the field??
The outer layers will be kept at some distance from the core. Thus the H-field [A/m] will be weaker, but it will "take effect" over a longer distance in the core.

Say that the H-field will be weakened by a factor 2 within the core, the length of the perimeter of the H-field will be a factor 2 longer within the core, as per radian.
 
  • #17
Hesch said:
Yes

The outer layers will be kept at some distance from the core. Thus the H-field [A/m] will be weaker, but it will "take effect" over a longer distance in the core.

Say that the H-field will be weakened by a factor 2 within the core, the length of the perimeter of the H-field will be a factor 2 longer within the core, as per radian.

sorry... didn't understand that completely...

lets say the core is 45 mm in length... I use AWG 25 for this.. I get 100 turns in 1 layer.. if I use 3 layers to get 300 turns.. the how much will the field be affected in the core?
 
  • #18
shishir.gupta said:
how much will the field be affected in the core?
It will not be affected, because the mmf will be the same: ( Lower figure ).
 

Attachments

  • #19
Hesch said:
It will not be affected, because the mmf will be the same: ( Lower figure ).

ohh.. ok.. Thank you..
 
  • #20
The bigger the airgap between the Winding and core - will reduce the mag field in the Core material ( higher leakage) -- that is why they are almost always bar ( straight) or U .

Is there some reason the sphere is desired?
 
  • #21
Windadct said:
The bigger the airgap between the Winding and core - will reduce the mag field in the Core material ( higher leakage)
You must mean:
The bigger the airgap between the core and load (attracted iron) - will reduce the mag field in the Core material.

I think that Amperes law:

H⋅ds = N*I

is valid for any chosen circulation path.
 
  • #22
The sphere still has area. It will act as a very short cylinder with very rounded ends.

You may want to consider how the magnetic field will react with the rolling ball. There will be eddy currents which will be cutting flux linkages. It will form some sort of motor/generator. This may not matter at low speeds/power levels, but it could cause problems at some point.
 
  • #23
I am looking for the exact proper way to detail this - but the issue is the permeability of Air is much less less than iron for example - so a "good" winding has little to no Air Gap between the winding and the core material (resulting in field flux leakage - or flux that does not enter/stay in the core). The basic N*I form is about proportionality - so having air gap between the winding and the core means not all of the filed is constrained in the core.
In the case above - consider the extreme case - a small iron ball ( 1") in a 12" diameter winding. The Filed in the ball is in no way comparable to a 12" cylindrical core - when a solenoid "pulls in" it is reducing an energy state of the whole system- so an Air Core has less stored energy than an Iron core.
 
  • #24
Oh - so the point is consider the 12" coil again - in an air coil ( low inductance = lo energy storage) vs the Iron core ( high inductance = high energy storage) ... but the MAG field is the same.
 

Similar threads

  • · Replies 9 ·
Replies
9
Views
2K
Replies
13
Views
3K
  • · Replies 15 ·
Replies
15
Views
3K
  • · Replies 5 ·
Replies
5
Views
4K
  • · Replies 6 ·
Replies
6
Views
2K
  • · Replies 2 ·
Replies
2
Views
2K
  • · Replies 1 ·
Replies
1
Views
2K
Replies
64
Views
8K
  • · Replies 1 ·
Replies
1
Views
6K
  • · Replies 6 ·
Replies
6
Views
6K