How have they calculated these pseudoinverses?

  • Thread starter Thread starter kostoglotov
  • Start date Start date
Click For Summary
SUMMARY

The discussion centers on the calculation and significance of pseudoinverses, specifically the matrices A^+A and AA^+, which project onto the column and row spaces of matrix A, respectively. The pseudoinverse A^+ is computed using Singular Value Decomposition (SVD). The participants clarify that A^+A and AA^+ are essential for verifying results and understanding the relationship between the fundamental subspaces of A and A^+. Misunderstandings regarding the computation of A^+ and its application in projections are also addressed.

PREREQUISITES
  • Understanding of Singular Value Decomposition (SVD)
  • Familiarity with matrix operations and properties
  • Knowledge of orthogonal projections in linear algebra
  • Basic concepts of pseudoinverses in matrix theory
NEXT STEPS
  • Study the properties of pseudoinverses in linear algebra
  • Learn how to compute Singular Value Decomposition (SVD) in MATLAB
  • Explore the relationship between fundamental subspaces of matrices
  • Investigate applications of orthogonal projections in data analysis
USEFUL FOR

Students and professionals in mathematics, engineering, and data science who are working with linear algebra concepts, particularly those focusing on matrix theory and its applications in computational tools like MATLAB.

kostoglotov
Messages
231
Reaction score
6
Moved from a technical forum, so homework template missing.
fieHb7f.png


imgur link: http://i.imgur.com/fieHb7f.png

UpDPZ6K.jpg


imgur link: http://i.imgur.com/UpDPZ6K.jpg

Solution:

gUHCb1u.png


imgur link: http://i.imgur.com/gUHCb1u.png

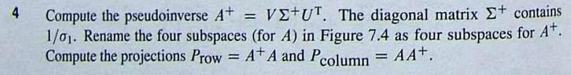
I can see that [itex]A^+A[/itex] and [itex]AA^+[/itex] are matrices that project onto the column and row space respectively.

But

(i) where does the [itex]A^+[/itex] figure into the calculation, because those answers are not A matrix-multiplied by [itex]A^+[/itex] or [itex]A^+[/itex] matrix-multiplied by A?

(ii) if [itex]A^+[/itex] isn't used to find the last two answers, why calculate it in the first place, what purpose does it serve? I could just find the column and row space basis vectors by other methods and construct those last two answers accordingly.

(iii) why are those answers given in the form that they are? wouldn't [itex]A^+A[/itex] be just as good given as

[tex]A^+A = \begin{bmatrix}1 & 2\\2 & 4\end{bmatrix}[/tex] ?
 
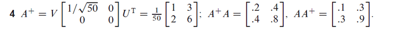
Matrix ##A^+## was computed using singular value decomposition.
You are asked how the fundamental subspaces of ##A## and of ##A^+## are related.
Concerning your questions:
(i) Check your calculations, the given matrices are exactly ##A^+A## and ##AA^+##;
(ii) This is a way to check your results. According to the theory ##A^+A## and ##AA^+## give you orthogonal projections onto row and column spaces of ##A## respectively (in fact, these conditions define ##A^+## uniquely), so computing these projections using other methods you can check your answer.
(iii) your formula for ##A^+A## is wrong, how did you get it?
 
Hawkeye18 said:
Matrix ##A^+## was computed using singular value decomposition.
You are asked how the fundamental subspaces of ##A## and of ##A^+## are related.
Concerning your questions:
(i) Check your calculations, the given matrices are exactly ##A^+A## and ##AA^+##;
(ii) This is a way to check your results. According to the theory ##A^+A## and ##AA^+## give you orthogonal projections onto row and column spaces of ##A## respectively (in fact, these conditions define ##A^+## uniquely), so computing these projections using other methods you can check your answer.
(iii) your formula for ##A^+A## is wrong, how did you get it?

I thought A dagger was just 1/50 of A, but it's not, it's 1/50 of A transpose. Even after doing the SVD calculations, somehow this misapprehension snuck in.

Just a bit of blindness Matlab confirms.
 

Similar threads

  • · Replies 2 ·
Replies
2
Views
2K
  • · Replies 9 ·
Replies
9
Views
2K
  • · Replies 7 ·
Replies
7
Views
2K
  • · Replies 26 ·
Replies
26
Views
8K
  • · Replies 6 ·
Replies
6
Views
2K
Replies
8
Views
7K
  • · Replies 4 ·
Replies
4
Views
6K
  • · Replies 2 ·
Replies
2
Views
2K
Replies
1
Views
1K
  • · Replies 5 ·
Replies
5
Views
14K