How Should the Partition Function of Bound O2 Be Calculated?

Click For Summary

Homework Help Overview

The discussion revolves around calculating the partition function for bound O2 molecules in the context of hemoglobin binding sites. Participants are exploring the implications of binding multiplicity and the correct interpretation of the problem statement.

Discussion Character

  • Conceptual clarification, Assumption checking, Problem interpretation

Approaches and Questions Raised

  • Participants discuss two different approaches to calculating the partition function, one considering all states of the system and the other focusing on individual O2 molecules. Questions arise about the neglect of multiplicity and how to account for the binding of multiple O2 molecules to hemoglobin.

Discussion Status

There is an ongoing exploration of how to accurately represent the binding scenarios, with some participants suggesting that the focus should be on the number of binding sites filled rather than the total number of O2 molecules. Guidance has been offered regarding the need to consider multiplicities and the possibility of having no sites filled.

Contextual Notes

Participants are working under the assumption that there is an excess of oxygen available, which affects the independence of binding events at different sites. There is also a discussion about the implications of identical and indistinguishable O2 molecules in the calculations.

Kelly Lin
Messages
29
Reaction score
0

Homework Statement


xDigy7K.png


Homework Equations


I have question for (a) section.

The Attempt at a Solution


I have two answer for the question but I can't figure out which one is right.
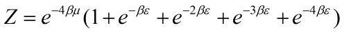
(1)Since the partition function is to sum up all the state in the system, I write down the answer
HBMXMzL.png

(2)In other point of view, we can first find out the partition function of one O2 molecule.
Duz8PMM.png

(either bound or unbound)

And then, since a hemoglobin can only bind four O2 molecules, I can write down
6L1DW4a.png

In my opinion, I think the first solution is more accurate since I include all the situation of that system. However, I cannot persuade myself that the second solution is wrong.(Or the reason is that Z=[Z1]N can only apply to large system?)

Please help me out~ Thanks!
 
Physics news on Phys.org
In (1), you have neglected the multiplicity. How many ways are there of binding 1 of 4 molecules? How many for 2? 3? 4?
 
mjc123 said:
In (1), you have neglected the multiplicity. How many ways are there of binding 1 of 4 molecules? How many for 2? 3? 4?
What do you mean?
My perspective is that a hemoglobin can bind at most 4 O2 molecules.Therefore, first possibility is that a hemoglobin binds one O2 molecules and second possibility is that a hemoglobin binds two O2 and so on... Moreover, since O2 molecules are identical and indistinguishable (am I right?), I write down the first solution.
 
OK, reading the question again, I don't think it's saying there are four O2 molecules (bound or free) in the system, rather that the hemoglobin molecule has four oxygen binding sites, and the question is how many are filled (i.e. we are looking for the partition function of the hemoglobin, not the oxygen). We must assume there is an excess of oxygen, so that whether an oxygen molecule binds to a site is independent of whether the other sites are already filled. We than ask: how many ways are there of filling exactly one site? or two...?
(If we look for the PF of 4 oxygen molecules, with the equations you have written, the probabilities in (b) and (c) would be independent of λ.)
 
mjc123 said:
OK, reading the question again, I don't think it's saying there are four O2 molecules (bound or free) in the system, rather that the hemoglobin molecule has four oxygen binding sites, and the question is how many are filled (i.e. we are looking for the partition function of the hemoglobin, not the oxygen). We must assume there is an excess of oxygen, so that whether an oxygen molecule binds to a site is independent of whether the other sites are already filled. We than ask: how many ways are there of filling exactly one site? or two...?
(If we look for the PF of 4 oxygen molecules, with the equations you have written, the probabilities in (b) and (c) would be independent of λ.)

Oh! I got your point!
So if we focus on how many sites are filled, then we can write down
ATH8CBT.png

Then my first and second solutions might be wrong? Am I correct?
 
You need an extra +1 (for no sites filled). And you still need to work out the multiplicities. E.g. you have four sites. One of them is filled. How many ways can you do that?
 
mjc123 said:
You need an extra +1 (for no sites filled). And you still need to work out the multiplicities. E.g. you have four sites. One of them is filled. How many ways can you do that?
Oh! You mean that we should consider the position choice. Is that correct?
 
Yes
 
mjc123 said:
Yes
Thanks for your help!
 

Similar threads

Replies
2
Views
3K
  • · Replies 1 ·
Replies
1
Views
991
  • · Replies 7 ·
Replies
7
Views
2K
  • · Replies 8 ·
Replies
8
Views
6K
  • · Replies 1 ·
Replies
1
Views
2K
  • · Replies 1 ·
Replies
1
Views
2K
  • · Replies 1 ·
Replies
1
Views
2K
  • · Replies 3 ·
Replies
3
Views
2K
  • · Replies 1 ·
Replies
1
Views
1K
  • · Replies 1 ·
Replies
1
Views
1K