How to calculate the minimum kinetic energy (special relativity)?

Click For Summary
SUMMARY

The discussion focuses on calculating the minimum kinetic energy in special relativity using conservation laws. Key equations highlighted include conservation of total energy (##E_0 + mc^2 = 4E_1##) and conservation of total momentum (##p_0 = 4p_1##). Participants emphasize the importance of working with energy and momentum rather than velocities to avoid complications. The energy-momentum-mass equation (##E^2 = p^2c^2 + m^2c^4##) is also crucial for solving the problem accurately.

PREREQUISITES
  • Understanding of special relativity concepts
  • Familiarity with conservation laws in physics
  • Knowledge of energy-momentum-mass equations
  • Basic algebra skills for manipulating equations
NEXT STEPS
  • Study the derivation of the energy-momentum-mass equation (##E^2 = p^2c^2 + m^2c^4##)
  • Learn about conservation of momentum in relativistic collisions
  • Explore examples of kinetic energy calculations in special relativity
  • Investigate the implications of imaginary velocities in relativistic physics
USEFUL FOR

Students and educators in physics, particularly those focusing on special relativity, as well as researchers and professionals dealing with relativistic particle collisions.

Efeguleroglu
Messages
24
Reaction score
2
Homework Statement
A moving electron collides to an stable electron and in conclusion additionaly 1 electron and 1 positron occur. At the end if all the 4 particles have the same velocity, we can say the kinetic energy required for this process is minimum. Show that KE(min)=6mc^2 (m is the rest mass of an electron)
Relevant Equations
KE=γmc^2-mc^2
Sadly, that's what all I could do.
20190617_011025.jpg
 
Last edited:
Physics news on Phys.org
I find it's better to work with energy and momentum, rather than writing things in terms of velocities.

You've used conservation of energy. What relationship do you get if you use conservation of momentum?
 
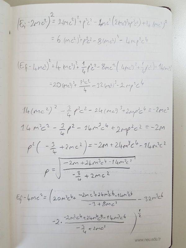
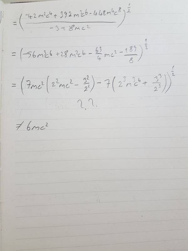
I still can't get the answer. I thought I didn't understand the question and calculated for both inital kinetic energy and final kinetic energy ( I know the change in kinetic energy is -mc^2 from the conservation of energy) but couldn't get the answer. There shouldn't be any calculation mistakes because I used a calculator.
20190617_172526.jpg

20190617_172532.jpg

20190617_172538.jpg

20190617_172550.jpg

20190617_172554.jpg
 
That's a lot of work!

1) What can you say about the total momentum after the collision?

2) What can you say about the momentum of each particle after the collision?
 
The momentum of the particles are equal. And that's the momentum which must be conserved.
20190617_172538M.jpg
 
Efeguleroglu said:
The momentum of the particles are equal. And that's the momentum which must be conserved.
View attachment 245271

You've gone wrong, I'm sorry to say. Best to start again. Here are some general hints:

a) Find the total energy of the moving electron. You can easily get the KE from this. Splitting the energy into ##T + mc^2## too soon just complicates the equations.

b) You have 3 key equations:

Conservation of total energy
Conservation of total momentum
The energy-momentum-mass equation for each particle (##E^2 = p^2c^2 + m^2c^4##).

Concentrate on those.
 
There must be a problem in this question. It's ridiculous but V(i) is less than it should be thus I found V(f) is imaginary. I didn't spot any mistake. Sorry for bothering you with this :(
20190617_192443.jpg

20190617_192447.jpg

20190617_192511.jpg
 
Again, it's difficult to see where you are going wrong. This should only be 3-4 lines of algebra using the energy and momentum equations. It's always messy when you try to solve for ##v##.

I would start as follows:

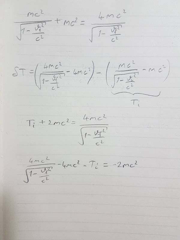
Let ##E_0, p_0## be the energy and momentum of the moving electron; and, ##E_1, p_1## be the energy and momentum of each of the particles after the collision.

Conservation of energy gives:

##E_0 + mc^2 = 4E_1 \ \ \ (1)##

Conservation of momentum gives:

##p_0 = 4p_1 \ \ \ (2)##

And, we have:

##E_0^2 = p_0^2c^2 + m^2c^4 \ \ \ (3a)##
##E_1^2 = p_1^2c^2 + m^2c^4 \ \ \ (3b)##

The next obvious step is to square equation (1), and then do some substitutions. It should come out in a couple of steps.
 
You made an error pretty much from the start. The fourth line is wrong because you did something akin to ##(a+b)^2 = a^2 + b^2##.

As I suggested yesterday and as @PeroK has again suggested, work in terms of energy and momentum.
 
  • Like
Likes   Reactions: PeroK
  • #10
vela said:
You made an error pretty much from the start. The fourth line is wrong because you did something akin to ##(a+b)^2 = a^2 + b^2##.

As I suggested yesterday and as @PeroK has again suggested, work in terms of energy and momentum.

Ahh yes, I saw it. I applied the momentum-energy equation from particles to the set of particles wrongly. Thanks, you helped me to spot that.
 
  • #11
PeroK said:
Again, it's difficult to see where you are going wrong. This should only be 3-4 lines of algebra using the energy and momentum equations. It's always messy when you try to solve for ##v##.

I would start as follows:

Let ##E_0, p_0## be the energy and momentum of the moving electron; and, ##E_1, p_1## be the energy and momentum of each of the particles after the collision.

Conservation of energy gives:

##E_0 + mc^2 = 4E_1 \ \ \ (1)##

Conservation of momentum gives:

##p_0 = 4p_1 \ \ \ (2)##

And, we have:

##E_0^2 = p_0^2c^2 + m^2c^4 \ \ \ (3a)##
##E_1^2 = p_1^2c^2 + m^2c^4 \ \ \ (3b)##

The next obvious step is to square equation (1), and then do some substitutions. It should come out in a couple of steps.

Thank you! It appeared quickly.
20190617_195745.jpg
 
  • Like
Likes   Reactions: BvU and PeroK
  • #12

Similar threads

Replies
8
Views
2K
Replies
2
Views
1K
  • · Replies 33 ·
2
Replies
33
Views
3K
  • · Replies 10 ·
Replies
10
Views
819
  • · Replies 21 ·
Replies
21
Views
5K
  • · Replies 3 ·
Replies
3
Views
1K
  • · Replies 9 ·
Replies
9
Views
2K
Replies
1
Views
1K
Replies
1
Views
1K