How to solve for the magnitude and angle in this situation?

Click For Summary

Homework Help Overview

The discussion revolves around resolving force vectors into their components and determining the resultant vector's magnitude and angle. The problem involves dimensions without explicit angles, leading to questions about how to approach the calculations.

Discussion Character

  • Exploratory, Assumption checking, Mathematical reasoning

Approaches and Questions Raised

  • Participants explore the use of arctangent to find angles between vectors and question the interpretation of these angles in relation to the coordinate axes. There is discussion about the dimensions of the vectors and how they relate to the calculation of components. Some participants suggest using the Pythagorean theorem and similar triangles to resolve vectors into their x and y components.

Discussion Status

Participants are actively engaging with the problem, clarifying dimensions and exploring the relationships between the vectors. Some guidance has been offered regarding the use of vector components and the addition of these components to find the resultant vector. There is no explicit consensus, but a productive direction is evident as participants refine their understanding of the problem.

Contextual Notes

There are indications of confusion regarding the dimensions of the vectors, and some participants have acknowledged errors in their initial drawings. The discussion also highlights the potential complexity of the problem due to the lack of given angles.

Vanessa Avila
Messages
94
Reaction score
1

Homework Statement



Each one of the force vectors are surrounded with dimensions. But you're not given any angles. How do you solve for the resultant vector like that?
gist.png

Homework Equations



Fr = F1 + F2 + F3

The Attempt at a Solution


I tried taking the arctan(200/210) on the 435 N vector to get the angle for that but I don't think that's right.
 
Physics news on Phys.org
What did you get for the arctan (200/210)? And what angle would that represent?
 
TomHart said:
What did you get for the arctan (200/210)? And what angle would that represent?

I got 43.6 degrees. Would that be the angle between 435 N and the positive x-axis?
 
TomHart said:
What did you get for the arctan (200/210)? And what angle would that represent?

Or would that be the entire angle between positive x and y axis?
 
If all of those numbers represent relative size of the vector, then yes, it looks like you got it right the first time - that 43.6 degrees is the angle between the 435 N vector and the positive x-axis. It's kind of a strange problem, but you are on the right track if you continue with what you are doing. It was a little confusing on the upward left pointing vector. Are the dimensions of that vector 70 and 210?
 
TomHart said:
If all of those numbers represent relative size of the vector, then yes, it looks like you got it right the first time - that 43.6 degrees is the angle between the 435 N vector and the positive x-axis. It's kind of a strange problem, but you are on the right track if you continue with what you are doing. It was a little confusing on the upward left pointing vector. Are the dimensions of that vector 70 and 210?

Oops i messed up on my drawing. The one on the left is 240 and the blue line on the top should be 70. Sorry about that!
 
TomHart said:
Are the dimensions of that vector 70 and 210?
No. From the Pythagorean Theorem it appears the magnitude of the vector, and the x and y dimensions are to a different scale or denominated in different units.

In any case the first step is to resolve each vector into its x and y components. You can calculate the hypotenuse of the right triangle formed by the x and y dimensions, and then use proportional parts of similar triangles to find the x and y components for each vector.
 
Vanessa Avila said:
Oops i messed up on my drawing. The one on the left is 240 and the blue line on the top should be 70. Sorry about that!

No, I just read it wrong. You were right. It was 70 and 240. It just looked a little confusing the way it was shown.
 
You have all the X and Y components of each vector. Are you sure you need the individual angles?
 
  • #10
Good point. It's usually easier in this situation to take advantage of the fact that corresponding sides of similar triangles are all in the same proportion.
 
  • #11
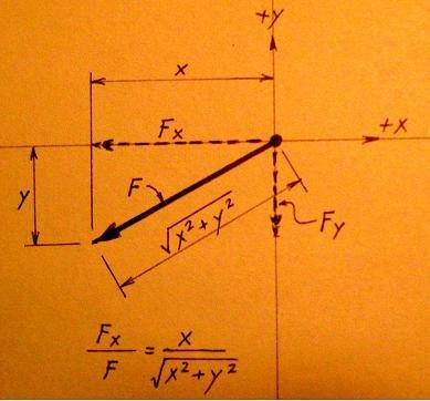
The vectors' lines of action are defined by Cartesian coordinates (you can think of the x and y dimensions as position vectors). So by similar triangles we know the magnitude of the x component of the vector divided by the magnitude of the vector equals the x dimension divided by the distance from the origin to the vector's head.
 

Attachments

  • a.jpg
    a.jpg
    18.9 KB · Views: 448
  • #12
David Lewis said:
The vectors' lines of action are defined by Cartesian coordinates (you can think of the x and y dimensions as position vectors). So by similar triangles we know the magnitude of the x component of the vector divided by the magnitude of the vector equals the x dimension divided by the distance from the origin to the vector's head.
so by doing that for each force vector, I'll be able to get the value for the resultant?
 
  • #13
Yes indeed. Just add the x force components together, and then the y force components together, as if they were scalars. Those algebraic sums will equal the x and y components of the resultant. Keep in mind the left and down directional senses are assigned a negative sign.
 
Last edited:
  • Like
Likes   Reactions: Vanessa Avila
  • #14
David Lewis said:
Yes indeed. Just add the x force components together, and then the y force components together, as if they were scalars. Those algebraic sums will equal the x and y components of the resultant. Keep in mind the left and down directional senses are assigned a negative sign.
Awesome. Thanks a lot!
 

Similar threads

Replies
17
Views
3K
  • · Replies 7 ·
Replies
7
Views
9K
  • · Replies 1 ·
Replies
1
Views
2K
  • · Replies 1 ·
Replies
1
Views
4K
  • · Replies 13 ·
Replies
13
Views
3K
  • · Replies 1 ·
Replies
1
Views
2K
Replies
3
Views
2K
  • · Replies 5 ·
Replies
5
Views
3K
  • · Replies 4 ·
Replies
4
Views
2K
  • · Replies 3 ·
Replies
3
Views
3K