How to solve Rashba and Dresselhaus SOC Hamiltonian

Click For Summary
SUMMARY

The discussion focuses on solving the Rashba and Dresselhaus spin-orbit coupling (SOC) Hamiltonian, represented as H = p²/2m + α/ħ (σxpy - σypx) + γ/ħ (σxpx - σypy) + βxσx + βyσy. The Rashba coupling effect is specifically addressed with the equation HR = α(σykx - σxky). The initial approach involves using separation of variables to derive ordinary differential equations (ODEs) for the eigenfunctions, assuming a product form ψ(x,y) = α(x)β(y). However, complications arise when the coefficients σi are treated as matrices rather than scalars.

PREREQUISITES
  • Understanding of quantum mechanics and Hamiltonians
  • Familiarity with spin-orbit coupling concepts
  • Knowledge of eigenvalues and eigenfunctions in quantum systems
  • Proficiency in solving ordinary differential equations (ODEs)
NEXT STEPS
  • Study the mathematical framework of spin-orbit coupling in quantum mechanics
  • Learn about matrix representations of spin operators in quantum systems
  • Explore techniques for solving eigenvalue problems in quantum mechanics
  • Investigate the implications of Rashba and Dresselhaus effects in condensed matter physics
USEFUL FOR

Physicists, quantum mechanics students, and researchers working on spintronics or related fields will benefit from this discussion.

drFredkin
Messages
2
Reaction score
0

Homework Statement


How can I solve this hamiltonian equation?
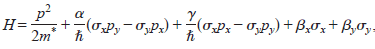
H= p2/2m +α/ħ (σxpy - σypx) + γ/ħ (σxpx - σypy) + βxσx + βyσy

Homework Equations


Rashba coupling effect equation: HR=α(σykx - σxky)

The Attempt at a Solution


H02k2/2m + HR+ HD
 

Attachments

  • ham.PNG
    ham.PNG
    2.1 KB · Views: 567
Physics news on Phys.org
I first thought about solving the eigenvalues and position representation eigenfunctions by assuming the eigenfunctions are of product form ##\psi(x,y) = \alpha(x)\beta(y)## and using separation of variables to get ODE:s for ##\alpha## and ##\beta##, but if the coefficients ##\sigma_{i}## are matrices instead of numbers, that probably makes the situation more complicated...
 

Similar threads

  • · Replies 1 ·
Replies
1
Views
3K
  • · Replies 4 ·
Replies
4
Views
7K
  • · Replies 3 ·
Replies
3
Views
2K
Replies
1
Views
2K
  • · Replies 6 ·
Replies
6
Views
2K
  • · Replies 1 ·
Replies
1
Views
3K
  • · Replies 21 ·
Replies
21
Views
3K
Replies
2
Views
2K
Replies
26
Views
6K
  • · Replies 10 ·
Replies
10
Views
2K