How to Use the First Identity to Prove the Last Step?

  • Thread starter Thread starter Manasan3010
  • Start date Start date
Click For Summary

Homework Help Overview

The discussion revolves around proving a step in a trigonometric identity involving tangent, specifically relating to angles such as ##\frac{\pi}{12}## and ##\frac{\pi}{6}##. Participants are exploring the use of the first identity in trigonometry to approach the problem.

Discussion Character

  • Exploratory, Conceptual clarification, Assumption checking

Approaches and Questions Raised

  • Participants express confusion about the substitution of angles and the relevance of known values for tangent. Questions arise regarding the derivation of tangent values and the application of half-angle formulas. Some participants attempt to connect the tangent of an angle to its half-angle.

Discussion Status

The discussion is active, with participants questioning assumptions and exploring different interpretations of the problem. Some guidance has been offered regarding the use of known values and identities, but no consensus has been reached on the best approach to take.

Contextual Notes

There is mention of a specific template being used for the exercise, which may impose certain constraints on how participants can express their solutions. Additionally, some participants indicate a lack of familiarity with certain identities that could aid in the proof.

Manasan3010
Messages
38
Reaction score
3
Homework Statement
Prove, ##tan(\frac{\pi}{12})=2-\sqrt{3}##
Relevant Equations
-
1565008085039.png

I am stuck at the last step.How to prove the last? Any Help?
 
Physics news on Phys.org
How to prove the last?
No idea.
Any Help?
Notice that ##2{\pi\over 12 } = {\pi\over6}## and for that one you know the value of the tangent
##1\over\sqrt 3## :smile:
 
Last edited:
BvU said:
No idea.
Notice that 2π12=π62π12=π6 and for that one you know the value of the tangent
1/2 :smile:
Where are you getting 2*pi/12 from? in which line are you putting it in?

Will my answer be wrong If I simply substitute and simplify the values in the first step itself(Using trigonometry Table). Will my warks get deduct?
 
? You have nothing to substitute
 
BvU said:
? You have nothing to substitute
Where are you getting 2*pi/12 from? in which line are you putting it in?
 
I'm not 'getting' it from anywhere. The exercise asks for a tangent of an angle that I don't know the value of the tangent for. But I realize I do know the tangent of twice that angle and I try to make a link between the two ...

Looking at the original post: what is the grey stuff ? Some template you are forced to use ?

Note: I had to edit the spoiler in post #2 ( o:) )
 
BvU said:
I try to make a link between the two ...
How/Where are you making the link?
BTW the template is Wolfram Mathematica Notebook Template
 
If you don't know how to make the link between the tangent of an angle and the tangent of the half angle, you cannot reasonably be presented with this exercise, so I suppose you do know...
 
You don't just start writing an equation arbitrarily. What reason did you have to immediately write "[itex]tan(\theta)= \frac{sin(\theta)}{cos(\theta)}[/itex]"? It's true, of course, but so are many other equations. Writing [itex]tan(\pi/12)= \frac{sin(\pi/12)}{cos(\pi/12)}[/itex] doesn't help because we don't, immediately, know [itex]sin(\pi/12)[/itex] or [itex]cos(\pi/12)[/itex]!

Instead, you should notice that [itex]\frac{\pi}{12}= \frac{1}{2}\frac{\pi}{ 6}[/itex]. We know that [itex]sin(\pi/6)= \frac{1}{2}[/itex] and [itex]cos(\pi/6)= \frac{\sqrt{3}}{2}[/itex] and we have half-angle formulas.

Think about those things before you start writing equations!
 
  • #10
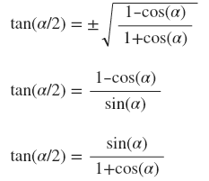
Thank I've finally found the identity and solved. They didn't teach me the second or third one. They only taught me the first one. Can i derive the answer using the first Identity?
1565017446763.png
 
  • #11
Manasan3010 said:
Thank I've finally found the identity and solved. They didn't teach me the second or third one. They only taught me the first one. Can i derive the answer using the first Identity?
View attachment 247659
Yes, you can use the first identity. This is probably what @BvU was thinking of when he suggested working with ##\frac \pi 6##.

Since both ##\frac \pi 6## and ##\frac \pi {12}## are in the first quadrant, their tangents are positive, so you should use the pos. square root in the formula.
 

Similar threads

Replies
54
Views
5K
  • · Replies 4 ·
Replies
4
Views
3K
  • · Replies 5 ·
Replies
5
Views
2K
  • · Replies 7 ·
Replies
7
Views
3K
  • · Replies 9 ·
Replies
9
Views
2K
  • · Replies 1 ·
Replies
1
Views
1K
  • · Replies 4 ·
Replies
4
Views
1K
  • · Replies 10 ·
Replies
10
Views
2K
Replies
5
Views
4K
  • · Replies 69 ·
3
Replies
69
Views
11K