Proving trig identities -- Is the method related to the unit circle?

Click For Summary

Homework Help Overview

The discussion revolves around proving trigonometric identities, particularly the identity for ##\cos(3\theta)##. Participants explore the assumption that the modulus ##r## is equal to 1 in the context of the polar representation of complex numbers, specifically ##rcis\theta = r[\cos\theta + i\sin\theta]##, and its relation to the unit circle.

Discussion Character

  • Exploratory, Assumption checking, Conceptual clarification

Approaches and Questions Raised

  • Participants question the necessity of assuming ##r = 1## when proving trigonometric identities and discuss the implications of this assumption. Some express confusion about the relationship between the polar form of complex numbers and the unit circle, while others suggest that the modulus can vary without affecting the final identity.

Discussion Status

The discussion is ongoing, with various interpretations being explored regarding the role of the modulus in the proof of trigonometric identities. Some participants have provided insights into the nature of complex numbers and their polar forms, while others are seeking clarification on specific points.

Contextual Notes

Participants are navigating through the definitions and properties of complex numbers, particularly in relation to the unit circle and De Moivre's Theorem. There is a mix of understanding regarding the assumptions made in the proofs and the mathematical principles involved.

member 731016
Homework Statement
Pls see the statement below
Relevant Equations
Binomial theorem
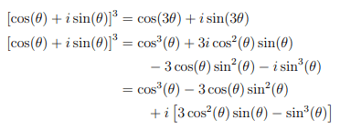
Why when proving trig identities,
1678912054265.png

Do we assume that r = 1 from ## rcis\theta = r[\cos\theta + i\sin\theta]##? This makes me think that this is somehow it is related the unit circle.

Note: I am trying to prove the ##cos3\theta## identity and am curious why we assume that the modulus is 1.

Many thanks!
 
Physics news on Phys.org
Eh?
 
  • Like
Likes   Reactions: member 731016
PeroK said:
Eh?
Thank you for your reply @PeroK!

Sorry what do you mean? I can explain.

Many thanks!
 
PeroK said:
Eh?
I have edited the post @PeroK . Dose that help?
 
Callumnc1 said:
Thank you for your reply @PeroK!

Sorry what do you mean? I can explain.

Many thanks!
What do you mean? What ##r##?
 
  • Like
Likes   Reactions: member 731016
Include ##r## if you want. It will make no difference to the final identity.
 
  • Like
Likes   Reactions: member 731016
Callumnc1 said:
Homework Statement:: Pls see the statement below
Relevant Equations:: Binomial theorem

Why when proving trig identities,
View attachment 323655
Do we assume that r = 1 from ## rcis\theta = r[\cos\theta + i\sin\theta]##? This makes me think that this is somehow it is related the unit circle.

Note: I am trying to prove the ##cos3\theta## identity and am curious why we assume that the modulus is 1.

Many thanks!
Here we go again.

No. We don't need to assume that the modulus of ##\displaystyle \cos(\theta)+i\sin(\theta)## is ##1## . You should be able to show it.

What is the modulus of ##\displaystyle x+iy ## ?
 
  • Like
Likes   Reactions: member 731016
PeroK said:
What do you mean? What ##r##?
Thank you for your reply @PeroK!

##r## is the modulus

Many thanks!
 
PeroK said:
Include ##r## if you want. It will make no difference to the final identity.
Thank you for your reply @PeroK!

Sorry I forgot to mention that ##r## is just some scalar (modulus)

Many thanks!
 
  • #10
##\cos(\theta) + i\sin(\theta)## is the polar form of a point P(x, y) on the unit circle. The ray from the origin to point P makes an angle of ##\theta## with the horizontal axis. This fact is something you would have learned in a precalc class...

Since P is a point on the unit circle, its modulus r = ... ?
 
  • Like
Likes   Reactions: chwala and member 731016
  • #11
SammyS said:
Here we go again.

No. We don't need to assume that the modulus of ##\displaystyle \cos(\theta)+i\sin(\theta)## is ##1## . You should be able to show it.

What is the modulus of ##\displaystyle x+iy ## ?
Thank you for your reply @SammyS!

Sorry what do you mean show it? Do you mean by by trying to do the proof when r = 2 say?

Many thanks!
 
  • #12
Mark44 said:
##\cos(\theta) + i\sin(\theta)## is the polar form of a point P(x, y) on the unit circle. The ray from the origin to point P makes an angle of ##\theta## with the horizontal axis. This fact is something you would have learned in a precalc class...

Since P is a point on the unit circle, its modulus r = ... ?
Thank you for your reply @Mark44!

I think I did learn. But I though the point on a unit circle was ##(\cos(\theta), \sin(\theta))## not with the imaginary component? Are you talking about a unit circle in the complex plane? I can see that would have a point ##(\cos(\theta), i\sin(\theta))##.

Many thanks!
 
  • #13
Mark44 said:
##\cos(\theta) + i\sin(\theta)## is the polar form of a point P(x, y) on the unit circle. The ray from the origin to point P makes an angle of ##\theta## with the horizontal axis. This fact is something you would have learned in a precalc class...

Since P is a point on the unit circle, its modulus r = ... ?
Thank you for your reply @Mark44!

r = 1

Many thanks!
 
  • #14
Callumnc1 said:
Do we assume that r = 1 from ## rcis\theta = r[\cos\theta + i\sin\theta]##?
No.

But the problem you posted doesn't include r. It is a proof of the identity ##(\cos(\theta) + i
\sin(\theta))^3 = \cos(3\theta) + i\sin(3\theta)##.
 
  • Like
Likes   Reactions: member 731016
  • #15
SammyS said:
Here we go again.

No. We don't need to assume that the modulus of ##\displaystyle \cos(\theta)+i\sin(\theta)## is ##1## . You should be able to show it.

What is the modulus of ##\displaystyle x+iy ## ?
Thank you for your reply @SammyS!

##r = \sqrt {x^2 + y^2}##

Many thanks!
 
  • #16
Mark44 said:
No.

But the problem you posted doesn't include r. It is a proof of the identity ##(\cos(\theta) + i
\sin(\theta))^3 = \cos(3\theta) + i\sin(3\theta)##.
Thank you for your reply @Mark44!

I am wondering whether the identity can be proved in general for any r. That is, if we let
##(r[\cos(\theta) + i\sin(\theta)])^3##.

EDIT: I believe it would work, but why?

Many thanks!
 
  • #18
Mark44 said:
Not for just any old r, but it can be proved for integer values of r. This is what De Moivre's Theorem is concerned with. See https://math.libretexts.org/Bookshelves/Precalculus/Book:_Trigonometry_(Sundstrom_and_Schlicker)/05:_Complex_Numbers_and_Polar_Coordinates/5.03:_DeMoivres_Theorem_and_Powers_of_Complex_Numbers.
Thank you for your reply @Mark44!

I will check that out. Sorry, I was meant to post that question I had (accidently in the intro physics forum) about complex identity in this forum.

Many thanks!
 
  • #19
You basically need to understand where those identities come from ##z^n + \dfrac{1}{z^n} = 2 \cos (n\theta)## in your (now) closed thread https://www.physicsforums.com/threads/another-way-to-find-trig-identities.1050812/

Here is a guide you can follow to prove the identity above.
1) any complex number ##z## where ##|z| = 1## can by definition be written as ##\cos \theta + \mathrm{i} \sin \theta##.
2) ##z^n = \cos (n\theta) + \mathrm{i} \sin (n\theta)## where ##n## is a positive integer. This one is pretty simple to prove, you have probably done so in class. Otherwise, it is pretty simple to show using a proof by induction, e.g. show that if ##z^p = \cos (p\theta) + \mathrm{i} \sin (p\theta)## where ##p## is a positive integer, then show the following also holds: ##z^{p+1} = \cos ((p+1)\theta) + \mathrm{i} \sin ((p+1)\theta)##
3) Next things to understand, is that ##\dfrac{1}{z^n} = \cos (-n\theta) + \mathrm{i} \sin (-n\theta)## for ##n## any integer, positive or negative (and 0 of course). This is also pretty simple to show. Use that cos is even function and that sin is odd function. Then show that this indeed is equal to ##\dfrac{1}{z^n}##.
4) Now you are almost there. Should be straightforward to show that ##z^n + \dfrac{1}{z^n} = 2 \cos (n\theta)## at this point.
 
Last edited:
  • Like
  • Informative
Likes   Reactions: chwala, scottdave and member 731016
  • #20
Callumnc1 said:
Thank you for your reply @SammyS!

##r = \sqrt {x^2 + y^2}##

Many thanks!
What do you mean by "Thanks"?

I intended that you apply that to ##\displaystyle \cos(\theta)+i\sin(\theta)## and show that its Modulus is indeed ##1## .

Math is a not a spectator sport. You must practice and do, not just watch and cheer.
 
  • Like
  • Haha
Likes   Reactions: chwala, PeroK and member 731016
  • #21
malawi_glenn said:
You basically need to understand where those identities come from ##z^n + \dfrac{1}{z^n} = 2 \cos (n\theta)## in your (now) closed thread https://www.physicsforums.com/threads/another-way-to-find-trig-identities.1050812/

Here is a guide you can follow to prove the identity above.
1) any complex number ##z## can by definition be written as ##\cos \theta + \mathrm{i} \sin \theta##.
No, this is only true if ##|z| = 1##. In general,
##z = |z|e^{i \arg(z)} = |z|(\cos(\arg(z))+i\sin(\arg(z))) = |z|(\cos(\theta)+i\sin(\theta))##, where ##\theta = \arg(z)##.
 
  • Like
Likes   Reactions: malawi_glenn and member 731016
  • #22
malawi_glenn said:
You basically need to understand where those identities come from ##z^n + \dfrac{1}{z^n} = 2 \cos (n\theta)## in your (now) closed thread https://www.physicsforums.com/threads/another-way-to-find-trig-identities.1050812/

Here is a guide you can follow to prove the identity above.
1) any complex number ##z## can by definition be written as ##\cos \theta + \mathrm{i} \sin \theta##.
2) ##z^n = \cos (n\theta) + \mathrm{i} \sin (n\theta)## where ##n## is a positive integer. This one is pretty simple to prove, you have probably done so in class. Otherwise, it is pretty simple to show using a proof by induction, e.g. show that if ##z^p = \cos (p\theta) + \mathrm{i} \sin (p\theta)## where ##p## is a positive integer, then show the following also holds: ##z^{p+1} = \cos ((p+1)\theta) + \mathrm{i} \sin ((p+1)\theta)##
3) Next things to understand, is that ##\dfrac{1}{z^n} = \cos (-n\theta) + \mathrm{i} \sin (-n\theta)## for ##n## any integer, positive or negative (and 0 of course). This is also pretty simple to show. Use that cos is even function and that sin is odd function. Then show that this indeed is equal to ##\dfrac{1}{z^n}##.
4) Now you are almost there. Should be straightforward to show that ##z^n + \dfrac{1}{z^n} = 2 \cos (n\theta)## at this point.
Thank you for your reply @malawi_glenn!

That is very helpful!

I will try to prove it.

Many thanks!
 
  • #23
SammyS said:
What do you mean by "Thanks"?

I intended that you apply that to ##\displaystyle \cos(\theta)+i\sin(\theta)## and show that its Modulus is indeed ##1## .

Math is a not a spectator sport. You must practice and do, not just watch and cheer.
Thank you for your reply @SammyS!

Oh, so ## r = \sqrt {\cos^2\theta + (i^2\sin\theta)} = \sqrt { \cos^2\theta + \sin^2\theta} = 1##
Many thanks!
 
  • #24
Callumnc1 said:
Homework Statement:: Pls see the statement below
Relevant Equations:: Binomial theorem

Why when proving trig identities,
View attachment 323655
Do we assume that r = 1 from ## rcis\theta = r[\cos\theta + i\sin\theta]##? This makes me think that this is somehow it is related the unit circle.
Yes, it is. ##[\cos(\theta) + i \sin(\theta)]^3 = [e^{i \theta}]^3##. Now use the properties of exponents and put it back into the cos(), i sin() form.
 
  • Informative
  • Like
Likes   Reactions: scottdave and member 731016
  • #25
FactChecker said:
No, this is only true if ##|z| = 1##. In general,
##z = |z|e^{i \arg(z)} = |z|(\cos(\arg(z))+i\sin(\arg(z))) = |z|(\cos(\theta)+i\sin(\theta))##, where ##\theta = \arg(z)##.
Thank you for your reply @FactChecker !

True it is ##z = |z|e^{i\theta}##

Many thanks!
 
  • #26
FactChecker said:
Yes, it is. ##[\cos(\theta) + i \sin(\theta)]^3 = [e^{i \theta}]^3##. Now use the properties of exponents and put it back into the cos(), i sin() form.
Thank you for your reply @FactChecker!

Sorry what do you mean?

Many thanks!
 
  • #27
FactChecker said:
Yes, it is. ##[\cos(\theta) + i \sin(\theta)]^3 = [e^{i \theta}]^3##. Now use the properties of exponents and put it back into the cos(), i sin() form.
Thank you for your reply @FactChecker!

Sorry never mind. I think I understand now.

##[e^{i\theta}]^3 = e^{3\theta i}## which from the definition of Euler's formula gives
##\cos3\theta + i\sin3\theta## interesting that we don't have to use de moiré's theorem.Many thanks!
 
  • Like
Likes   Reactions: FactChecker
  • #28
Callumnc1 said:
Thank you for your reply @SammyS!

Oh, so ## r = \sqrt {\cos^2\theta + (i^2\sin\theta)} = \sqrt { \cos^2\theta + \sin^2\theta} = 1##
Many thanks!
Not quite right.

Details:

##\displaystyle \sqrt {\cos^2\theta + (i^2\sin\theta)}##

is wrong in a couple of ways,
 
  • Like
Likes   Reactions: member 731016
  • #29
SammyS said:
Not quite right.

Details:

##\displaystyle \sqrt {\cos^2\theta + (i^2\sin\theta)}##

is wrong in a couple of ways,
Thank you for your reply @SammyS!

Sorry how?

Many thanks!
 
  • #30
Callumnc1 said:
Thank you for your reply @SammyS!

Sorry how?

Many thanks!
You tell me.
 
  • Like
Likes   Reactions: member 731016

Similar threads

  • · Replies 14 ·
Replies
14
Views
3K
Replies
7
Views
2K
  • · Replies 29 ·
Replies
29
Views
5K
Replies
4
Views
2K
  • · Replies 7 ·
Replies
7
Views
11K
  • · Replies 10 ·
Replies
10
Views
2K
  • · Replies 1 ·
Replies
1
Views
2K
  • · Replies 69 ·
3
Replies
69
Views
11K
  • · Replies 5 ·
Replies
5
Views
2K
  • · Replies 8 ·
Replies
8
Views
9K