Hubble's law and conservation of energy

Click For Summary

Discussion Overview

The discussion revolves around the implications of Hubble's law on energy conservation, particularly in the context of gravitational interactions between bodies and the stability of atomic structures. Participants explore theoretical scenarios involving energy changes, the effects of cosmic expansion, and the potential for perpetual motion machines.

Discussion Character

  • Exploratory
  • Debate/contested
  • Technical explanation
  • Conceptual clarification

Main Points Raised

  • One participant questions the correctness of the energy increase rate associated with two bodies distancing due to Hubble's law and asks about the source of this energy and conservation implications.
  • Some participants note that energy conservation in General Relativity (GR) applies locally rather than globally, suggesting that the concept of energy is not well-defined in cosmological contexts.
  • There is a discussion about whether Hubble's law could theoretically allow for a perpetual motion machine, with differing opinions on the feasibility of such a concept.
  • One participant argues that the effects of cosmic expansion on atomic structures, such as hydrogen atoms, are negligible due to the strong forces binding the atoms together.
  • Another participant emphasizes that the emitted radiation from atoms would be redshifted due to the expansion of space, but this does not affect the atoms themselves.
  • A participant presents a detailed analysis involving two bodies in circular orbits and the balance of forces, questioning the effects of cosmic expansion on their dynamics.
  • Concerns are raised about the interpretation of forces in an expanding universe, with clarifications that expansion does not imply a mysterious force acting on objects but rather a change in the geometry of spacetime.

Areas of Agreement / Disagreement

Participants express differing views on the implications of Hubble's law for energy conservation and the stability of atomic structures. There is no consensus on the feasibility of perpetual motion machines or the effects of cosmic expansion on bound systems.

Contextual Notes

Some assumptions regarding the conditions under which energy conservation applies in GR are not fully explored. The discussion includes references to specific theoretical frameworks and scenarios that may not be universally accepted.

  • #31
@Bandersnatch ,were these measurement results different if we just were in special locations from which other objects are moving away?
 
Space news on Phys.org
  • #32
I don't understand the question.
 
  • #33
Bandersnatch said:
If you picked a galaxy that is receding solely due to expansion of space, and attached a rope to a point at your location that is fixed and comoving, then that galaxy would be stopped by the tension in rope. It would be accelerated out of its local comoving coordinates until it stops receding w/r to the fixed point, and the tension in the rope disappears.
Hi Bandersnatch:

The quote above seems to disagree with my analysis in post #9.
Buzz Bloom said:
Now let us consider the effect of the expanding universe. If the two objects are far enough apart, and the gravitational effects between them becomes insignificant compared to the effect of the expanding universe, then (approximately)
dD/dt = h0D .​
The acceleration between the two bodies is
AH = d2D/dt2 = h0 dD/dt = h02 D.​
If all three accelerations act on the pair of bodies, there will be a value of D for which the tangential circular velocity is zero, and the total of the three accelerations is zero.
-GM/D2 + 2 v2/D + h02D = 0​
v = 0 gives
-GM/D2 + h02D = 0​
implying
D3 = GM/h02 .​
This implies that two bodies, each of mass M and stationary at a distance between them of
D = (GM/h02)1/3
will remain stationary. This is because the gravitational attraction is exactly balanced by the expanding universe acceleration.
With respect to your discussion of the rope in your quote, a tension would remain since the distant end would experience a force F creating this tension
F = M h02 D ,​
where M is the mass of the distant galaxy and D is the distance from you.

If you do disagree with this, can you describe some evidence that my analysis is wrong or post a citation of a reference that has this evidence?

Regards,
Buzz
 
Last edited:
  • #34
Buzz Bloom said:
The quote above seems to disagree with my analysis in post #9.
I don't think it does. You assumed exponentially accelerated expansion (that's when h=const=h0), and that corresponds to the third case in my post.
 
  • #35
Bandersnatch said:
I don't think it does. You assumed exponentially accelerated expansion (that's when h=const=h0), and that corresponds to the third case in my post.
Hi Bandersnatch:

I do appreciate your response, but I am still somewhat confused.

Would you please post a quote with the text corresponding to your "third case".

My understanding of the the quote above, is that you agree with my analysis for a future time when Ωm<<1, but may have reservations about the expansion causing acceleration during the current era when Ωm~=0.31. Or do you agree that even for the present era, there would be expansion caused acceleration, although the formula for its relation to D would be more complicated.

Regards,
Buzz
 
  • #36
Hi @George Jones:

I appreciate your effort to help me resolve my confusion regarding putting the Einstein static universe equation into the Friedmann form. However, the items in your post are not what confuses me.

Einstein's model without a cosmological constant involved assumptions that the density of matter exceeded the critical density, and therefore
Ωr = ΩΛ = 0​
Ωm > 1, and​
Ωk = 1 - Ωm < 0.​
This produces an expanding universe that reaches a maximum radius of curvature, and then the universe contracts. That is, for this model, the stationary universe is not stable. What I am unable to see is how the addition of the cosmological constant creates stability. That is, given
Ωr = 0,​
Ωm > 1,​
Ωk< 0​
and
ΩΛ = 1 - Ωm - Ωk ≠ 0,​
I see no way for this form of the Friedman equation model to be static and stable. Therefore, I am unable to undestand why Einstein added a cosmological constant to his 1917 model.

Regards,
Buzz
 
Last edited:
  • #37
@Buzz Bloom In Einstein's static universe matter density and ##\Lambda## cancel each other (see the 2. Friedmann equation) and thus the second derivative of the scalefactor is zero (which means static).
 
  • Like
Likes   Reactions: Buzz Bloom and George Jones
  • #38
Buzz Bloom said:
ΩΛ = 1 - Ωm - Ωk ≠ 0,
I see no way for this form of the Friedman equation model to be static and stable.

This can't be seen directly from this equation; the time-derivative of this equation also needs to be considered. Einstein concocted a situation in which the time-derivative (rate of change) of each individual term is zero.

timmdeeg said:
@Buzz Bloom In Einstein's static universe matter density and ##\Lambda## cancel each other (see the 2. Friedmann equation) and thus the second derivative of the scalefactor is zero (which means static).

The second derivative equal to zero implies that the first derivative is constant. Then, a condition needs to be satisfied that forces this constant first derivative to be zero.

1) I don't know if this is legible.
2) if it is legible, I don't know if this is understandable.
3) ##\Lambda## has been treated as constant of integration.

Einstein Static Universe.jpg
 
  • #39
George Jones said:
The second derivative equal to zero implies that the first derivative is constant. Then, a condition needs to be satisfied that forces this constant first derivative to be zero.

1) I don't know if this is legible.
2) if it is legible, I don't know if this is understandable.
3) ##\Lambda## has been treated as constant of integration.
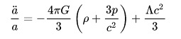
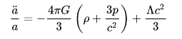
I'm not sure I understand what you mean.
##\ddot{a}=0## yields ##\Lambda_{stat}=4{\pi}G\rho##; [##c=1##]
I agree this "implies that the first derivative is constant." Would you let me know your concern?

EDIT ah I see, yes your script is legible.
 
  • #40
timmdeeg said:
In Einstein's static universe matter density and Λ cancel each other (see the 2. Friedmann equation) and thus the second derivative of the scalefactor is zero (which means static).
Hi timdeeg:

Thank you very much for clearing up much of my confusion.

I think by Friedmann #2 equation you are referring to
FriedmannEq2.png

What puzzled me is how to put this equation onto the Friedmann form
FriedmannEq.png


I also do not know how to put the pressure term into this form.

I see that in the first equation above that the curvature term is missing, and I had (mistakenly?) thought Einstein's solution with Λ also had assumed a finite hyperspherical universe. Is it not possible that Einstein intended somethink like the following put into a form involving the second derivative of a?
FriedmannR.png
.
I think if that I differentiate the second or third equation I might be able to put these results into a form like the first.

ADDED:
I did differentiate the second equation, and I got a cubic equation in R (the radius of curvature) which should result in a solution value for R corresponding to a finite stable stationary universe. I will post this result at a later time. (There should also be solutions for a flat infinite universe and for a non-flat infinite universe. I am not sure that the solutions for the infinite cases are meaningful.)

Thanks again for the help.

Regards,
Buzz
 
Last edited:
  • #41
George Jones said:
1) I don't know if this is legible.
2) if it is legible, I don't know if this is understandable.
Hi George:

Thanks for trying to help me, but I think it does appear to be unreadable. I am sympathetic to not liking the posting of a lot of equations. I have from time to time used LaTeX a bit, and I still find it very awkward to use.

I will try to copy what I think I am reading onto a paper I can more easily read. Then I can decide if I can understand it.

Regards,
Buzz
 
  • #42
Buzz Bloom said:
View attachment 245636
What puzzled me is how to put this equation onto the Friedmann form
View attachment 245635

This is because the two equations are independent.

Buzz Bloom said:
I see that in the first equation above that the curvature term is missing, and I had (mistakenly?) thought Einstein's solution with Λ also had assumed a finite hyperspherical universe.

Einstein's static universe does have non-zero positive spatial curvature.
 
  • #43
Question in post #29 was whether in frame of reference of any location there is some force that causes objects to move away. For example is there any force in rope between 2 very distant bodies, that have masses ##m_1## and ##m_2## and charges ##q_1=\sqrt{\frac{m_1*m_1*k_G}{k_E}}## ; ##q_2=\sqrt{\frac{m_1*m_1*k_G}{k_E}}##? speed between bodies at time 0 is 0 (##v(0)=0##). My intuition is that there would be force in case of accelerating expansion.
Bandersnatch said:
I don't understand the question.
As I understand the expansion means that in every location objects tend to move father away with speed on average ##d*H_0##. d is distance to object.
My question in post #31 was: If universe would not be expanding and Earth would be in a special location from which other objects tend to move away with speed ##d*H_0## - would the force measuremetns with ropes attached to distant objects give the same result?
 
Last edited:
  • #44
Buzz Bloom said:
Thank you very much for clearing up much of my confusion.
My pleasure, seldom enough that an amateur can contribute. :smile:

Buzz Bloom said:
I think by Friedmann #2 equation you are referring to
View attachment 245636
What puzzled me is how to put this equation onto the Friedmann form
View attachment 245635

I also do not know how to put the pressure term into this form.

I see that in the first equation above that the curvature term is missing, and I had (mistakenly?) thought Einstein's solution with Λ also had assumed a finite hyperspherical universe. Is it not possible that Einstein intended somethink like the following put into a form involving the second derivative of a?
View attachment 245637.
This equation with ##H=0## (universe static) and ##\Lambda_{stat}=4{\pi}G\rho## leads to ##k/a^2=4{\pi}G\rho##
 
Last edited:
  • #45
timmdeeg said:
This equation with H=0 (universe static) and
Λstat=4πGρ​
leads to
k/a2=4πGρ​
Hi timmdeeg:

I note that you use "a" where I used "R".
I get a different solution assuming H=0. I also use k=1.
If the static universe has radius of curvature R, and mass M corresponding to mass density ρ,
ρ = M /(2π2R3) .​
Therefore
(4/3)GM/πc2R3 - 1/R2 + Λc2/3 = 0 .​
Multiplying by 3R3 we get
4GM/πc2 - 3R + Λc2R3 = 0.​

However, this equation establishes only that the universe is stationary. For it to also have the acceleration zero (d2R/dt2=0), then differentiating the equation above gives an additional equation.

ADDED
3(dR/dt) = 3Λc2R2(dR/dt), yielding​
Λ = 1 / c2R2.​
Combining this with the undifferentiated equation yields
4GM/πc2 - 3R + R = 0.​
Simplifying
R = 2GM/πc2.​
Simplifying
Λ = (1/c2) (π2c4/4G2M2)​
= π2c2/4G2M2.​

Regards,
Buzz

I think I have now fixed all the errors, but experience has taught me to not have a high confidence I am correct.
ADDED June 26
I have now fixed 2 another errors.
The first correction is about the 3D volume as the containing boundary of a 4D hypersphere. It is
V = 2π2/R3.​
Reference:
The second fix is corecting that I misused the word "stable".
 
Last edited:
  • #46
Buzz Bloom said:
However, this equation establishes only that the universe is stationary. For it to also be stable

I have not tried to analyze what you have, but it has been known for almost a century (since at least 1930) that he Einstein static universe is unstable in the following sense.

Consider an Einstein static universe whose cosmological scale factor is ##a_s##. Hit the universe with a stick (nicking a phrase from Robert Geroch) such that its scale factor becomes slightly larger than ##a_s##. Then, the scale factor, over time, will grow in an unbounded way. Hit the universe with a stick such that its scale factor becomes slightly smaller than ##a_s##. Then, the scale factor, over time, will decrease to zero.
 
  • #47
Buzz Bloom said:
I get a different solution assuming H=0. I also use k=1.
If the static universe has radius of curvature R, and mass M corresponding to mass density ρ,
ρ = 2 M /(π2R3) .​
Therefore
(16/3)GM/πc2R3 - 1/R2 + Λc2/3 = 0 .​
Can you show how you derive the first equation? Why do you intend to express ##\rho## by ##M## and ##R##?​
I think the requirement that ##k## is positive and ##(\rho+3p)=0## is much simpler.​
 
Last edited:
  • #48
timmdeeg said:
Can you show how you derive the first equation? Why do you intend to express ρ by M and R? I think the requirement that k is positive and (ρ+3p)=0 is much easier.
Hi timmdeeg:

I am not sure what equation you are referring to by "the first equation", or what post it was in. Since you are asking about my deriving it, I am guessing it was
ρ = 2 M /(π2R3) .​
This is derived from
ρ = M/V, and​
V=2π2R3.​
I just noticed that I made an error in my post #45 which I have just corrected
The formula for volume V is from

I replace ρ with its formula using M and R because this makes the time derivative less complicated. Since R and Λ are the parameters for which the values are to be calculated that correspond to the first and second derivatives being zero, I felt it easier to have only R be a function of time.

I do not understand why you think (ρ+3p)=0 is related to the problem of finding a universe model which is not expanding nor contracting, and also has the acceleration (d2R/dR2)=0.

I did make k=+1, which made the middle term on the RHS: -1/R2. (ρ+3p)=0 has to be wrong since the Einstein universe model has mass, ρ>0, and Einstein also assumed matter was just dust so the pressure p=0. Someone educated me about this recently in another post, but I am not able to find it right now.

Regards,
Buzz
 
  • #49
Buzz Bloom said:
I replace ρ with its formula using M and R because this makes the time derivative less complicated. Since R and Λ are the parameters for which the values are to be calculated that correspond to the first and second derivatives being zero, I felt it easier to have only R be a function of time.
Why? In Einstein's static universe ##R## isn't a function of time.

Buzz Bloom said:
(ρ+3p)=0 has to be wrong since the Einstein universe model has mass, ρ>0, and Einstein also assumed matter was just dust so the pressure p=0.
Yes, the pressure of dust is negligible. What counts is the negative pressure of ##\Lambda##. Finally one obtains ##\rho_M-2\rho_{\Lambda}=0##.
 
  • #50
timmdeeg said:
Why? In Einstein's static universe R isn't a function of time.
Yes, the pressure of dust is negligible. What counts is the negative pressure of Λ. Finally one obtains ρM−2ρΛ=0.
Hi timmdeeg:

I used "R" instead of "a" because R varies the same way that a varies, except while a=1 corresponds to now, we would need to use R=R0 since the value of R now is not 1. We could also define R=R0 to be the sought after value of R that satisfies the two equation I have at the end of the next paragraph.

Einstein's static universe is a special case of a finite universe with two parameters: a constant mass M (non-varying with respect to R and therefore also t) and a constant Λ. If ρ remains in the equation to be differentiated, then it also varies with R and t creating some extra complexity. The special case is one in which
dR/dt=0, and​
d2R/dt2=0.​

I do not understand what form of the Einstein/Friedmann equation you started with, and how you get from that to
ρM−2ρΛ=0.​
Th Einstein static model also includes a radius of curvature term, which is -1/R2 in the equation. This is for an unbounded finite universe with with the geometry of a 3D boundary to a 4D hypersphere. Without both the -1/R2 term and the Λ term, there is no solution satisfying both
dR/dt=0, and​
d2R/dt2=0.​
It is also possible to have a model with an M term (or a ρ term) and a -1/R2 term without a Λ term. This model's equation can also be solved for a value of R such that
dR/dt=0,​
but it cannot also satisfy
d2R/dt2=0.​

Regards,
Buzz
 
Last edited:
  • #51
Hi @George Jones:

In your post #38 I think I now understand everything you are doing except for two topics.
(1) The tensor equation. Although in my youth I could understand a bit about tensor calculus, I have forgotten all of what I once knew about it.
(2) I do not understand what the ε symbol represents and how the ε relates to the Friedmann equation you included, nor the equation with ε_dot (marked "unchanged"), nor other equations involving ε.

ADDED
I now understand that you use ε rather than ρ for the mass density.

Regards,
Buzz
 
Last edited:
  • #52
Buzz Bloom said:
I do not understand what form of the Einstein/Friedmann equation you started with, and how you get from that to
ρM−2ρΛ=0.​
From the acceleration equation. With ##p_M=0## then ##\rho+3p## can be rewritten as ##\rho_M+\rho_\Lambda+3p_\Lambda=\rho_M-2\rho_\Lambda## thereby considering the negative pressure of state ##p_V=-\rho_V##. Note ##c=1##.
 
Last edited:
  • #53
timmdeeg said:
From the acceleration equation
Hi timmdeeg:

Is the following what you mean by the acceleration equation?
3(dR/dt) = 3Λc2R2(dR/dt)

ADDED
I now am guessing you mean the equation you labeled "acceleration" in your handwritten text. Below I use the prime ' instead of the dot.
ε' = (-4πG/2c2)(ε+3P) + Λ/3​
Is this what you have in mind?

Also, where did you get the Friedmann equation you used? Can you cite a reference?

Also, your differentiating the Friedmann equation doesn't look right to me.

You also seem to be assuming that P and Λ are related. Einstein assumed P=0, and Λ is an independent constant.

Regards,
Buzz
 
Last edited:
  • #54
Buzz Bloom said:
Is the following what you mean by the acceleration equation?
No the 2. Friedmann equation which is named acceleration equation sometimes. I guess this clarifies your other questions.
 
  • #55
Buzz Bloom said:
I now understand that you use ε rather than ρ for the mass density.

I have not set ##c = 1##. ##\varepsilon## is energy density, which is related to mass density ##\rho## by ##\varepsilon = \rho c^2##.
 
  • #56
George Jones said:
I have not tried to analyze what you have, but it has been known for almost a century (since at least 1930) that he Einstein static universe is unstable in the following sense.
Hi George:

My mistake was using the word "stable" in my earlier posts when I should have used "metastable".

Metastable
Describes a system which appears to be stable, but which can undergo a rapid change if disturbed.​
Quoted by
from
Dictionary of Unfamiliar Words by Diagram Group Copyright © 2008 by Diagram Visual Information Limited.​

Regards,
Buzz
 
  • #57
Buzz Bloom said:
Hi George:

My mistake was using the word "stable" in my earlier posts when I should have used "metastable".
Metastable requires the system be able to remain in that configuration for an extended period of time. I don't think that universe model qualifies, as any inhomogeneities will grow pretty rapidly.
 
  • #58
Metastable requires the system be able to remain in that configuration for an extended period of time.
Perhaps @metastable would agree. I think "unstable equilibrium" fits better to Einstein's static universe.
 
  • #59
Hi kimbyd and timmdeeg:

I do not want to struggle about vocabulary. I chose "metastable" because I could not find any other word that seemed to be suitable.

To respond clearly I need some notation. I use the apostrophe, (whatever') to represetnt dwhatever/dt. (Using the dot is too awkward for me.) With respect to the equation
FriedmannR.png

let
R0 = R(t0)​
be the value of R for which
R'(t0)=R''(t0)=0.​
It will also be useful to let
r(t)=R(t)-R0.​

kimbyd said:
Metastable requires the system be able to remain in that configuration for an extended period of time. I don't think that universe model qualifies, as any inhomogeneities will grow pretty rapidly.
The assumptions of the model assumes it is homogeneous, that is, no inhomogeneities. The reason it does not qualify for "stable" is that the sign of R'(t0+ε) and R''(t0+ε) will be the same as the sign of (R0+ε). I believe this condition regarding R'(t0+ε) and R''(t0+ε) is true, but to satisfy my curiosity I am currently working on the math to prove it is true. So far I have made many errors, and found them, and I think properly corrected them.
ADDED July 1
And found more errors...
timmdeeg said:
Perhaps @metastable would agree. I think "unstable equilibrium" fits better to Einstein's static universe.
You seem to be correct about what "unstable equilibrium" means.
Comparing the two definitions, this seems to me to be a synonym of "metastable". There is a subtle difference. The assumptions of the model makes it difficult for something to cause a movement away from metastability.

Regards,
Buzz
 
Last edited:
  • #60
Buzz Bloom said:
The assumptions of the model assumes it is homogeneous, that is, no inhomogeneities. The reason it does not qualify for "stable" is that the sign of R'(t0+ε) and R''(t0+ε) will be the same as the sign of (R0+ε). I believe this condition regarding R'(t0+ε) and R''(t0+ε) is true, but to satisfy my curiosity I am currently working on the math to prove it is true. So far I have made many errors, and found them, and I think properly corrected them.
It doesn't really matter that the model is homogeneous, because our universe manifestly is not. It's very obvious that if this model were to describe anything real, it would need to allow for inhomogeneities. The reason I bring this up is because if you don't have any inhomogeneities, that model can be balanced on the head of a pin, so to speak, such that it remains in the unstable equilibrium for an excessively long period of time.

But if you do have inhomogeneities, then maintaining that balance becomes fundamentally impossible. All you need to break the system is for a baseball to move a little to the left (or whatever direction).
 

Similar threads

  • · Replies 20 ·
Replies
20
Views
6K
  • · Replies 18 ·
Replies
18
Views
3K
  • · Replies 5 ·
Replies
5
Views
2K
  • · Replies 7 ·
Replies
7
Views
3K
  • · Replies 25 ·
Replies
25
Views
4K
  • · Replies 10 ·
Replies
10
Views
3K
  • · Replies 4 ·
Replies
4
Views
2K
  • · Replies 28 ·
Replies
28
Views
3K
  • · Replies 21 ·
Replies
21
Views
3K
  • · Replies 4 ·
Replies
4
Views
3K