Hubble's law and conservation of energy

Click For Summary

Discussion Overview

The discussion revolves around the implications of Hubble's law on energy conservation, particularly in the context of gravitational interactions between bodies and the stability of atomic structures. Participants explore theoretical scenarios involving energy changes, the effects of cosmic expansion, and the potential for perpetual motion machines.

Discussion Character

  • Exploratory
  • Debate/contested
  • Technical explanation
  • Conceptual clarification

Main Points Raised

  • One participant questions the correctness of the energy increase rate associated with two bodies distancing due to Hubble's law and asks about the source of this energy and conservation implications.
  • Some participants note that energy conservation in General Relativity (GR) applies locally rather than globally, suggesting that the concept of energy is not well-defined in cosmological contexts.
  • There is a discussion about whether Hubble's law could theoretically allow for a perpetual motion machine, with differing opinions on the feasibility of such a concept.
  • One participant argues that the effects of cosmic expansion on atomic structures, such as hydrogen atoms, are negligible due to the strong forces binding the atoms together.
  • Another participant emphasizes that the emitted radiation from atoms would be redshifted due to the expansion of space, but this does not affect the atoms themselves.
  • A participant presents a detailed analysis involving two bodies in circular orbits and the balance of forces, questioning the effects of cosmic expansion on their dynamics.
  • Concerns are raised about the interpretation of forces in an expanding universe, with clarifications that expansion does not imply a mysterious force acting on objects but rather a change in the geometry of spacetime.

Areas of Agreement / Disagreement

Participants express differing views on the implications of Hubble's law for energy conservation and the stability of atomic structures. There is no consensus on the feasibility of perpetual motion machines or the effects of cosmic expansion on bound systems.

Contextual Notes

Some assumptions regarding the conditions under which energy conservation applies in GR are not fully explored. The discussion includes references to specific theoretical frameworks and scenarios that may not be universally accepted.

olgerm
Gold Member
Messages
543
Reaction score
40
2 bodies that have distance d between them are distancing from each other because Hubbles law. at time t=0 distance between them was d(0) and speed between them was 0.
If no force interacts with them then distance is increasing by rate ##\frac{\partial d}{\partial t}=H_0*d##
Is it correct?

Their potential energy is increasing by rate ##\frac{\partial E_{pot}}{\partial t}=\frac{(m_1*m_2*k_G-q_1*q_2*k_E)*H_0*e^{-t*H_0}}{d(0)}##Is that correct?
Where is that energy coming from? How is total energy conserved?

If a force interacts between the 2 bodies, that keeps distance same (##\frac{\partial d}{\partial t}=0##)
Is the energy in that scenario converting to some other form of energy?
I know that Hubbles law is very small in that scale, but if the 2 bodies are proton and electron in hydrogen atom, would hobbles law make this atom unstable?

##H_0## is Hubble parameter.
##k_G## is gravitational constant.
##k_E## is Coulomb's constant
 
Last edited:
  • Like
Likes   Reactions: javier cherin and tempus
Space news on Phys.org
  • Like
Likes   Reactions: javier cherin and tempus
  • Like
Likes   Reactions: javier cherin and tempus
Drakkith said:
energy conservation applies in GR at a local scale, not necessarily at a global (or universal?) scale.
So it is theoretically possible to make pepertual motion machine by exploiting Hubble's law?

I know that the effect is too small to measure it but what is theoretical prediction about how does expansion by Hubble's law affect hydrogen atom? If it emits electromagnetic radiation what frequency this radiation has?
 
olgerm said:
So it is theoretically possible to make pepertual motion machine by exploiting Hubble's law?

Not that I know of. I believe the distance scales would be so large your would run into the problem that different parts of your machine are receding from each other at absurd velocities. Perhaps FTL velocities.

olgerm said:
I know that the effect is too small to measure it but what is theoretical prediction about how does expansion by Hubble's law affect hydrogen atom? If it emits electromagnetic radiation what frequency this radiation has?

It doesn't affect a hydrogen atom. Atoms are bound together by strong electromagnetic and nuclear forces and are not subject to expansion's effects. Expansion only affects objects when the forces binding them together are very, very weak, which is why it still takes tens or hundreds of millions of light-years of separation for even gravity (the weakest force) to become too weak to hold objects together.

The emitted radiation, when viewed from a great distance, would be redshifted due to expansion, but that is not an effect on the atom itself, but a result of the light moving through expanding space.
 
olgerm said:
So it is theoretically possible to make pepertual motion machine by exploiting Hubble's law?

No. A perpetual motion machine would require violating local energy conservation.

In any case, "lack of global energy conservation" in GR is really not a good choice of terminology; a better way to describe it would be that "energy" is not a well-defined global concept in GR (except in a very special class of spacetimes, stationary spacetimes, which does not include FRW spacetimes, the ones in which Hubble's law appears).
 
  • Like
Likes   Reactions: olgerm and Drakkith
Drakkith said:
Expansion only affects objects when the forces binding them together are very, very weak, which is why it still takes tens or hundreds of millions of light-years of separation for even gravity (the weakest force) to become too weak to hold objects together.
Or the effect of expansion on bodies is just very small if force binding the bodies together is not very, very weak, so that altough the effect can not be measured, theoretical predictions about what would happen could still be made?

Drakkith said:
The emitted radiation, when viewed from a great distance, would be redshifted due to expansion, but that is not an effect on the atom itself, but a result of the light moving through expanding space.
I mean the effect on atom itself not on radiation that it has radiated.
 
Last edited:
Drakkith said:
Expansion only affects objects when the forces binding them together are very, very weak

This could be misinterpreted. If two objects are flying apart at some speed, and the strength of forces between them is weak enough, they will never stop flying apart and become bound. That has nothing to do with "expansion"; it would be true even in flat spacetime. "Expansion" means the global spacetime geometry is not flat, but has a certain curved shape that can be sliced into spacelike 3-surfaces in a certain way with certain properties. But it doesn't mean there is some mysterious "expansion" force on objects over and above the fact that they're flying apart.
 
  • Like
Likes   Reactions: Drakkith
PeterDonis said:
But it doesn't mean there is some mysterious "expansion" force on objects over and above the fact that they're flying apart.

Hi Peter:

I am probably misinterpreting what the quote above means. It seems to me to imply that the following analysis is incorrect.

Imagine two objects of the same mass M moving in circular orbits about their center of mass, assume separated by at a distance D>>rM, the radius of an event horizon, which implies that the Newtonian gravity effect on the two bodies is a very good approximation to GR (if we ignore the effect of gravitational waves causing orbital decay). Also assume that it is far in the future, and the density of matter has become negligible, so the Friedmann equation becomes (approximately):
h/h0 = 1,​
and h becomes a constant h0.

This implies:
a = eh0(t-t0),​
da/dt = h0 a,​
and the accelerations
d2a/dt = h02 a .​
If the effect of the expanding universe is ignored, then the radial acceleration AG acting on one body by the other is:
AG = -GM/D2 .​
This must equal the negative of the centrifugal acceleration
AC = 2 v2/D .​
where v is the tangential velocity of each body moving along its circular orbit. This implies
v2 = GM/2D .
Thus, no matter how far apart the two bodies are, there is a circular tangential velocity for a stable orbit.

Now let us consider the effect of the expanding universe. If the two objects are far enough apart, and the gravitational effects between them becomes insignificant compared to the effect of the expanding universe, then (approximately)
dD/dt = h0D .​
The acceleration between the two bodies is
AH = d2D/dt2 = h0 dD/dt = h02 D.​
If all three accelerations act on the pair of bodies, there will be a value of D for which the tangential circular velocity is zero, and the total of the three accelerations is zero.
-GM/D2 + 2 v2/D + h02D = 0​
v = 0 gives
-GM/D2 + h02D = 0​
implying
D3 = GM/h02 .​
This implies that two bodies, each of mass M and stationary at a distance between them of
D = (GM/h02)1/3
will remain stationary. This is because the gravitational attraction is exactly balanced by the expanding universe acceleration.

Now, if this above analysis is false, what does happen to these two objects with these initial conditions.
Do they begin to fly apart? If so, do they ever catch up with the “normal” speed of
v = H0D?​
If not, do they fall towards each other? In that case, is the dynamics of the fall independent of the expanding universe? If D was slightly larger than (GM/H0)1/3, what would happen then?

Regards,
Buzz
 
Last edited:
  • #10
Buzz Bloom said:
Also assume that it is far in the future, and the density of matter has become negligible, so the Friedmann equation becomes (approximately):
h/h0 = 1,and h becomes a constant h0.
This assumes dark energy, causing accelerated expansion. The bit you quoted from Peter talks about expansion only, sans dark energy, where (using Newtonian approximation) objects are just flying apart inertially. While it's possible to attribute force-like effects to dark energy, it's not correct to attribute them to expansion alone.
 
  • #11
Bandersnatch said:
The bit you quoted from Peter talks about expansion only, where (using Newtonian approximation) objects are just flying apart inertially. While it's possible to attribute force-like effects to dark energy, it's not correct to attribute them to expansion alone.
Hi Bandersnatch:

Thank you for your reposnse.

I said at the beginning of my post that I may have misunderstood Peter's quote. Your explanation still leaves me confused about several points.
1. Are you saying that Peter's quote does not imply the analysis I posted is wrong?
2. Are you saying that Peter's quote assumes no expansion, and that the motions of the objects he is referring to is only due to local gravitational effects?
3. I did not mention "dark energy". I simply assumed a cosmological constant without attributing to it any physical interpretation. With this context, I assume that the expansion (with the assumption that mass density has become very small) is due to the cosmological constant, not the other way around. Why is it incorrect to talk about the second derivative of the scale factor? If the geometry is expanding, and any two geometric points in space with a distance D apart having an acceleration
d2a/dt2 = h02D,​
why does this not affect objects occupying these two points?

Regards,
Buzz
 
  • #12
Buzz Bloom said:
Now let us consider the effect of the expanding universe.

You're not considering the effects of an expanding universe. You're considering the effects of a cosmological constant. That's something different.

The presence of a cosmological constant of the magnitude we think exists in our actual universe does, in principle, produce a force that pushes objects apart. But the magnitude of the force depends directly on the distance. At small distances, where "small" here means "the size of a galaxy cluster or smaller", the force is too small to significantly affect bound systems (like galaxy clusters or smaller ones).

In any case, the force due to a cosmological constant is not due to "expansion". It would be present regardless of whether the universe as a whole was expanding, static, or contracting.
 
  • #13
Buzz Bloom said:
I did not mention "dark energy". I simply assumed a cosmological constant

Don't quibble. Whether you call it "dark energy" or a "cosmological constant" does not matter to the dynamics. You wrote down the dynamics explicitly, and that's what the responses you got were based on, not what you called it. You did exactly right by writing down the explicit math; but you also need to realize that when you write down the explicit math, we will actually read it and will ignore the ordinary language you use, since the physics is in the math, not the ordinary language.
 
  • #14
Buzz Bloom said:
With this context, I assume that the expansion (with the assumption that mass density has become very small) is due to the cosmological constant

It isn't. The cosmological constant is only one factor involved, and up until a few billion years ago, it wasn't even the largest one--the universe was matter dominated before that, not cosmological constant dominated. So the cosmological constant by itself cannot explain the expansion. It can only explain why the expansion is currently accelerating.
 
  • #15
Buzz Bloom said:
why does this not affect objects occupying these two points?

Because the force due to the cosmological constant is too small to pull apart bound systems of the size of a galaxy cluster or smaller (because the force gets larger with distance, so it only gets large enough to matter once you reach a large enough distance). It will slightly change the orbital parameters of objects in bound systems (though even this effect is too small to matter for the bound systems we observe), but it won't keep them from being bound.
 
  • #16
PeterDonis said:
The cosmological constant is only one factor involved, and up until a few billion years ago, it wasn't even the largest one--the universe was matter dominated before that, not cosmological constant dominated. So the cosmological constant by itself cannot explain the expansion. It can only explain why the expansion is currently accelerating.
PeterDonis said:
It will slightly change the orbital parameters of objects in bound systems (though even this effect is too small to matter for the bound systems we observe), but it won't keep them from being bound.
Hi Peter:

Regarding the first quote, I accept as completely valid your criticism about how I phrased my interpretation of the math. I seem to have difficulty in expressing properly what the math means conceptually. The concept of the cause of expansion seems particularly difficult to pin down.

If the Friedmann equation correctly describes the dynamic behavior of the a universe model, I am tempted to attibute the cause to whatever it is in the physical reality that the four Ω parameters (which add up to 1) of a particular math model (based on the Friedmann equation) actually describes. The h0 parameter I do not consider as contributing a descriptive cause since it seems more like a result. (It is the value of (1/a)×da(t)/dt for the value of t corresponding to a = 1.) Each of the four Ω parameters is defined as a mass density (or mass equivalent density or something that behaves mathematically like a math density) divided by the critical mass density
ρc = 3h2/8πG .​
Would you accept the combination of the four density ratios as the combined cause of expansion (and possible contraction depending on the values) of such a universe model?

In the scenario of my analysis, I explicitly assumed that the three Ω parameters other than ΩΛ all very close to zero. In this particular scenario, whatever ΩΛ represents physically would be the only significant cause.

I confess I am not able to choose values for the four Ω parameters which would be equivalent to Einstein's first1917 GR cosmological model (prior to Hubble's contribution) in which the universe has neither expansion nor contraction. The following describes this model, a finite hyperspherical geometry.
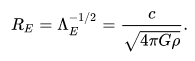
The article gives the following relationship among RE, the radius of curvature, ΛE, the cosmological constant, and ρ, the mass density.
EQ1917.png

Aside from
Ωr=0
I am not comfortable in trying to establish values for the other three Ω parameters. However, it would seem that in this scenario, the role of ΩΛ would be the "cause" of the stable non-expanding and non-collapsing universe.

Your second quote did not take into account the scenario in my post #9 (assuming three Ω parameters = 0, and ΩΛ=1 in which I presented a formula for a distance D in which two stationary bodies of mass M separated by a distance D remain stationary.
D = (GM/H0)1/3
At that distance D the repelling effect of ΩΛ would exactly balance the gravitational attraction between the two masses.

Regards,
Buzz
 
Last edited:
  • #17
Buzz Bloom said:
Hi Peter:

Regarding the first quote, I accept as completely valid your criticism about how I phrased my interpretation of the math. I seem to have difficulty in expressing properly what the math means conceptually. The concept of the cause of expansion seems particularly difficult to pin down.

If the Friedmann equation correctly describes the dynamic behavior of the a universe model, I am tempted to attibute the cause to whatever it is in the physical reality that the four Ω parameters (which add up to 1) of a particular math model (based on the Friedmann equation) actually describes. The h0 parameter I do not consider as contributing a descriptive cause since it seems more like a result. (It is the value of (1/a)×da(t)/dt for the value of t corresponding to a = 1.) Each of the four Ω parameters is defined as a mass density (or mass equivalent density or something that behaves mathematically like a math density) divided by the critical mass density
ρc = 3h2/8πG .​
Would you accept the combination of the four density ratios as the combined cause of expansion (and possible contraction depending on the values) of such a universe model?

In the scenario of my analysis, I explicitly assumed that
|1-ΩΛ|<<1.​
In this particular scenario, whatever ΩΛ represents physically would be the only significant cause.

I confess I am not able to choose values for the four Ω parameters which would be equivalent to Einstein's first1917 GR cosmological model (prior to Hubble's contribution) in which the universe has neither expansion nor contraction. The following describes this model, a finite hyperspherical geometry.
The article gives the following relationship among RE, the radius of curvature, ΛE, the cosmological constant, and ρ, the mass density.
View attachment 245496
Aside from
Ωr=0
I am not comfortable in trying to establish values for the other three Ω parameters. However, it would seem that in this scenario, the role of ΩΛ would be the "cause" of the stable non-expanding and non-collapsing universe.

Your second quote did not take into account the scenario in my post #9 (assuming three Ω parameters = 0, and ΩΛ=1 in which I presented a formula for a distance D in which two stationary bodies of mass M separated by a distance D remain stationary.
D = (GM/H0)1/3
At that distance D the repelling effect of ΩΛ would exactly balance the gravitational attraction
between the two masses.

Regards,
Buzz
What are you getting at? The static universe has been roundly disproven. It doesn't work theoretically because it's unstable (any inhomogeneity, like a bunch of galaxy clusters, will cause parts of the universe to contract and others to expand forever). It doesn't work observationally because of the observation of the Cosmic Microwave Background (which only works if our universe was much hotter and denser in the distant past).
 
  • #18
kimbyd said:
What are you getting at? The static universe has been roundly disproven.
Hi kimbyd:

My discussion of the 1917 Einstein model was to demonstrate (suggesting a mathematically possible model based on the Friedmann equation) that the cosmological constant could theorectically have a different role than the one Peter mentioned in the first quote. I did not intent that this model would match any currently observed cosmological observations.

Regards,
Buzz
 
Last edited:
  • #19
Buzz Bloom said:
The concept of the cause of expansion seems particularly difficult to pin down.

No, it isn't. It's simple: the cause of the expansion is the Big Bang. The universe is expanding because it started out expanding at the Big Bang.

More precisely, in an inflationary cosmology, at the end of inflation, the inflaton field was rapidly expanding (there are technicalities here about how a field in its vacuum state can be "expanding", but we would need an "A" level discussion to go into those; suffice it to say here that they don't change what I'm saying), and when all the huge energy density in the inflaton field was transferred to the Standard Model fields at the end of inflation (this "reheating" event is the Big Bang as that term is properly used), the Standard Model fields changed from their vacuum states to a state that can be described as a very hot, very dense, rapidly expanding plasma of quarks and leptons.

Then for about 10 billion years that expansion slowed down because the universe was radiation and then matter dominated; a few billion years ago it became dark energy dominated and the expansion started speeding up.
 
  • Like
Likes   Reactions: Buzz Bloom
  • #20
Buzz Bloom said:
Hi kimbyd:

My discussion of the 1917 Einstein model was to demonstrate (suggesting a mathematically possible model based on the Friedmann equation) that the cosmological constant could theorectically have a different role than the one Peter mentioned in the first quote. I did not intent that this model would matched any currently observed cosmological observations.

Regards,
Buzz
Except the cosmological constant in that model has the exact same role as it does in today's universe. The only difference is one of magnitude.
 
  • #21
PeterDonis said:
No, it isn't. It's simple: the cause of the expansion is the Big Bang. The universe is expanding because it started out expanding at the Big Bang.
More precisely, in an inflationary cosmology, at the end of inflation, the inflation field was rapidly expanding (there are technicalities here about how a field in its vacuum state can be "expanding", but we would need an "A" level discussion to go into those; suffice it to say here that they don't change what I'm saying), and when all the huge energy density in the inflation field was transferred to the Standard Model fields at the end of inflation (this "reheating" event is the Big Bang as that term is properly used), the Standard Model fields changed from their vacuum states to a state that can be described as a very hot, very dense, rapidly expanding plasma of quarks and leptons.
Hi Peter:

Thank you much for explaining the role of inflation in creating the "big bang"as inflation ended (or soon after). I would much appreciate your posting a reference with more details (even though I know I will have difficulty understanding it). I had previously thought (since inflation is not yet included in the Standard Model for the early stages of the universe) there was still some uncertainty among the cosmology community of it's actually having happened.

Does any augmented Standard Model including inflation discuss what was happening before inflation? Was the universe a vacuum then? If so, where did all the energy come from to create "the huge energy density in the inflation field"?

Regards,
Buzz
 
  • #22
kimbyd said:
Except the cosmological constant in that model has the exact same role as it does in today's universe. The only difference is one of magnitude.
Hi kimbyd:

I think you are saying that my quote below is a mistake.
Buzz Bloom said:
However, it would seem that in this scenario, the role of ΩΛ would be the "cause" of the stable non-expanding and non-collapsing universe.
If so, please explain in what way what I said in this quote is an error? Einstein reluctantly put the cosmological constant into his 1917 model because he had no reason to believe at that time that the universe was expanding. He included it specifically for the purpose of obtaining a non-expanding universe because his model without the cosmological constant did expand. Therefore, I think it is quite reasonable to say from Einstein's perspective that the role of the cosmological constant was specifically to avoid expanding rather than to make acceleration of expansion happen, as Peter described it.
PeterDonis said:
So the cosmological constant by itself cannot explain the expansion. It can only explain why the expansion is currently accelerating.
Thus whatever in the real world the cosmological constant represents, say X, with what was the state of knowledge at that time, X was the cause of what Einstein thought to be a stable non-expanding universe.

Regards,
Buzz
 
Last edited:
  • #23
Matter attracts itself, tending to slow if not reverse the expansion. A cosmological constant tends to push matter apart. That's the role the cosmological constant plays. Whether that results in a universe that collapses back on itself or expands forever still depends upon the precise densities of each as well as the rate of expansion.
 
  • Like
Likes   Reactions: Buzz Bloom
  • #24
kimbyd said:
A cosmological constant tends to push matter apart. That's the role the cosmological constant plays.
Hi kimbyd:

I agree that pushing apart is the role of the current cosmological constant, and it has been so since it was found to exist as something equivalent to a non-zero constant mass density independent of the scale factor. However, the Friedmann equation can also model theoretical universes in which ΩΛ is negative, and its role would be additional attraction of pairs of distant points which would have the effect of reducing expansion. Such models would include the Einstein 1917 model.

Regards,
Buzz
 
  • #25
Buzz Bloom said:
I would much appreciate your posting a reference with more details (even though I know I will have difficulty understanding it).

A good recent textbook on cosmology is Andrew Liddle, An Introduction to Modern Cosmology.

Buzz Bloom said:
I had previously thought (since inflation is not yet included in the Standard Model for the early stages of the universe) there was still some uncertainty among the cosmology community of it's actually having happened.

I think some form of inflation is the majority opinion at this point. But note that all I really described in my post was what happened at the end of inflation. In other words, the Big Bang event. We have good evidence of that--that is, of the hot, dense, rapidly expanding state that, in inflationary models, occurs just after "reheating". I just explained it in terms of the end of inflation because that's, as I said, the majority opinion (AFAIK) about what came before the Big Bang. But you don't actually need to answer that question in order to know that the Big Bang is the cause of the expansion since then.

Buzz Bloom said:
Does any augmented Standard Model including inflation discuss what was happening before inflation?

There are various alternatives. I'm not familiar enough with current work in this area to know which, if any, seems to be gaining ground.
 
  • Like
Likes   Reactions: Buzz Bloom
  • #26
Buzz Bloom said:
I agree that pushing apart is the role of the current cosmological constant

And the cosmological constant in the Einstein static universe. @kimbyd is correct that, as far as the cosmological constant is concerned, it works the same in that model as in our current model of our actual universe.

Buzz Bloom said:
the Friedmann equation can also model theoretical universes in which ΩΛ is negative

Yes, but...

Buzz Bloom said:
Such models would include the Einstein 1917 model.

...no. As above, the cosmological constant in the Einstein static universe is positive, not negative.
 
  • #27
PeterDonis said:
As above, the cosmological constant in the Einstein static universe is positive, not negative.
Hi Peter:

After some effort, I cannot figure out how a model based on the Friedman equation (with four Ωs whose sum is 1) can represent the 1917 Einstein static universe model. I need to give this a lot more more thought. Any suggestions would be appreciated.

Regards,
Buzz
 
  • #28
Buzz Bloom said:
After some effort, I cannot figure out how a model based on the Friedman equation (with four Ωs whose sum is 1) can represent the 1917 Einstein static universe model. I need to give this a lot more more thought. Any suggestions would be appreciated.

In FLRW universes, the four ##\Omega##s always sum to one, even in FLRW universes that are not (spatially) flat. You have even stated as much. :wink:

Buzz Bloom said:
I confess I was not previously familiar with this usage of Ω, but I now see at the bottom of the Wiki section:
Ω0,k - 1-Ω0.
So I yield, and I am now convinced I was previously mistaken.

This equation is true at all times, i.e., ##\Omega_k + \Omega = 1##, where
$$\Omega = \Omega_r + \Omega_m + \Omega_\Lambda.$$

Also, as you have stated, in the Einstein static is not spatially flat; it has positive spatial curvature.

Buzz Bloom said:
The following describes this model, a finite hyperspherical geometry.
https://en.wikipedia.org/wiki/Static_universe

Therefore, in an Einstein static universe,

$$1 < \Omega = \Omega_r + \Omega_m + \Omega_\Lambda,$$

and ##\Omega_k < 0##.

See equations (4.7) and (4.8) of

https://www.ast.cam.ac.uk/~pettini/Intro Cosmology/Lecture04.pdf
 
  • Like
Likes   Reactions: Buzz Bloom
  • #29
PeterDonis said:
it doesn't mean there is some mysterious "expansion" force on objects over and above the fact that they're flying apart.
Since here was a dispute about this claim, that I mostly did not understand, is this claim true or not?
I do not know a lot about GR, but since some interactions(gravitational interaction or all interactions?) are described with curvature of spacetime instead of forces in GR, is it meant about interpreting obsevations by classical physics?
If we attached ropes to distant objects and measured forces between this these objects and interpreted results by classical physics: would we not find there any additional "expansion" force?
for example measured force between 2 bodies that have masses ##m_1## and ##m_2## and charges ##q_1=\sqrt{\frac{m_1*m_1*k_G}{k_E}}## ; ##q_2=\sqrt{\frac{m_1*m_1*k_G}{k_E}}## ane therefore ##F_{gravitational}+F_{electric}=0##?
Is it also true if we take into account acceleration of expansion?
 
Last edited:
  • #30
olgerm said:
If we attached ropes to distant objects and measured forces between this these objects and interpreted results by classical physics: would we not find there any additional "expansion" force?
Is it also true if we take into account acceleration of expansion?
If you picked a galaxy that is receding solely due to expansion of space, and attached a rope to a point at your location that is fixed and comoving, then that galaxy would be stopped by the tension in rope. It would be accelerated out of its local comoving coordinates until it stops receding w/r to the fixed point, and the tension in the rope disappears. At which point it'd just stay there, at a constant distance from the observer at the fixed point. This is similar to what would happen if you attached a rope to some mundane object (a ball, say) moving in accordance with Newton's equation of motion, with some initial velocity but no acceleration.

If the expansion is decelerating, the rope first stops the object, which then begins to approach the fixed point. This is similar to what would happen if you attached the rope to a mundane object that was flying away with some initial velocity and acceleration acting in the opposite direction.

If the expansion is accelerating, the rope stops the object, but the acceleration keeps the tension in the rope. Again, as above with the mundane object, but now with acceleration acting in the direction of initial velocity.

This is the tethered galaxy problem, discussed e.g. here: https://arxiv.org/abs/astro-ph/0104349

The point about not associating expansion with a force, is the same point one would make about not associating initial velocity in Newtonian motion with a force.
 
  • Like
Likes   Reactions: olgerm

Similar threads

  • · Replies 20 ·
Replies
20
Views
6K
  • · Replies 18 ·
Replies
18
Views
3K
  • · Replies 5 ·
Replies
5
Views
2K
  • · Replies 7 ·
Replies
7
Views
3K
  • · Replies 25 ·
Replies
25
Views
4K
  • · Replies 10 ·
Replies
10
Views
3K
  • · Replies 4 ·
Replies
4
Views
2K
  • · Replies 28 ·
Replies
28
Views
3K
  • · Replies 21 ·
Replies
21
Views
3K
  • · Replies 4 ·
Replies
4
Views
3K