I can’t understand the derivation of the formula Cp=Cv+nR

  • Context: Undergrad 
  • Thread starter Thread starter Clara Chung
  • Start date Start date
  • Tags Tags
    Derivation Formula
Click For Summary

Discussion Overview

The discussion revolves around the derivation of the formula Cp = Cv + nR, focusing on the conditions under which the heat capacities Cv and Cp can be applied. Participants explore the implications of constant volume and constant pressure processes in the context of ideal gases.

Discussion Character

  • Technical explanation
  • Conceptual clarification
  • Debate/contested

Main Points Raised

  • Some participants assert that dU = Cv dT is valid only under constant volume conditions, while Cp = dQ/dT applies only under constant pressure.
  • Others argue that for an ideal gas, the internal energy U is a function of temperature only, suggesting that the relationship dU = nCv dT holds for any process, not just constant volume.
  • A later reply critiques the initial teaching of heat transfer in freshman physics, emphasizing that heat Q depends on the process path when work is done, and that heat capacities should be defined in terms of thermodynamic states.
  • Participants discuss the general definitions of heat capacities, noting that Cv and Cp can be expressed in terms of changes in internal energy and enthalpy, respectively, and that these definitions are consistent with previous understandings while being more general.
  • One participant highlights that for an ideal gas, the relationships involving pressure and volume terms become zero, reinforcing that Cv and Cp are functions of temperature alone.

Areas of Agreement / Disagreement

Participants express differing views on the applicability of the equations for Cv and Cp, with some maintaining that they are only valid under specific conditions, while others argue for their broader applicability in the context of ideal gases. The discussion remains unresolved regarding the implications of these differing interpretations.

Contextual Notes

There are limitations in the assumptions made about the ideal gas behavior and the definitions of heat capacities, which depend on the context of the processes being discussed. The discussion also reflects a transition from basic physics concepts to more complex thermodynamic principles.

Clara Chung
Messages
300
Reaction score
13
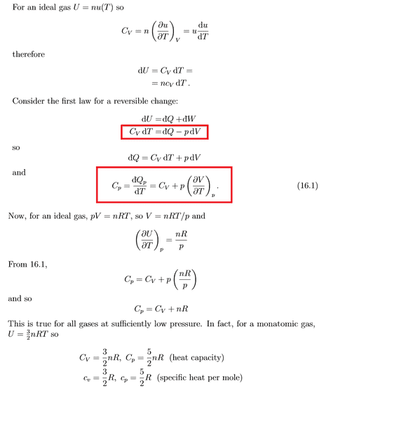
I think that dU = Cv dT can only be used when the volume of the gas is constant.
Similarly, Cp = dQ/dT can only be used when the pressure is constant.
Such as
We have Cv=dQ/dT
and ΔU=Q+W
dU=Q+pdV
Therefore,
dU/dT = dQ/dT only when dV is zero

Why am I wrong? Thank you so much for your help. The original proof is below.
qq.png
 

Attachments

  • qq.png
    qq.png
    15 KB · Views: 26,036
Science news on Phys.org
We took this in the university this term and it quite irritated me because no one told me the correct answer. However after a lot of thinking it was kind of simple.

dU = n Cv dt Works only for constant volume, yes. However we are talking here only about an Ideal gas. The definition of an ideal gas is a gas that basically doesn't have any inter-molecular forces which means it only has kinetic energy and Increasing the volume (space between molecules or equivalently pressure) doesn't affect the internal energy at all. ( Or at low pressure, real gasses approximate ideal ones.)

So when you say you have an process under constant volume.
dQ = dU and then you say n Cv dT = dU.
U here is a function of temperature only and it turns out that it depends on temperature linearly. Check hyperphysics on internal energy of an ideal gas

Which means it will work for any other process not only constant volume, Got it? This will make the topic much more interesting :).
 
  • Like
Likes   Reactions: Juanda and Clara Chung
Clara Chung said:
I think that dU = Cv dT can only be used when the volume of the gas is constant.
Similarly, Cp = dQ/dT can only be used when the pressure is constant.
Such as
We have Cv=dQ/dT
and ΔU=Q+W
dU=Q+pdV
Therefore,
dU/dT = dQ/dT only when dV is zero

Why am I wrong? Thank you so much for your help. The original proof is below.
View attachment 219513
The reason you are struggling so much with this is that it was taught to you incorrectly in the first place. In freshman physics, they only talked about solid systems or liquid systems (which are basically of constant volume), and they taught us that the amount of heat transferred to the material could be expressed in terms of the heat capacity of the system by ##Q = mC\Delta T##. But in all these constant volume systems, no work was being done.

Now, we are in thermodynamics, and we learn that, when work is being done, the heat Q depends on the path of the process while the heat capacity is supposed to be a physical property of the material that depends only the state of the system, and not on the path for the process. Not only that, but, when work is done, the heat is no longer given by ##Q=mC\Delta T##,, unless we change the definition of C, depending on whether the process is of constant volume, constant pressure, or something else. So, what now. How can we correct all this, and still preserve some semblance of the heat capacity understanding that we learned in freshman physics?

What follows is how we do it. We have learned in thermodynamics about the thermodynamic functions internal energy U and enthalpy H, and how these are used in conjunction with the first law of thermodynamics. These functions are physical properties of the material that depend only on its thermodynamic state. This is exactly the characteristic that we would like to preserve for the heat capacity. So, we now have developed the following new definitions of heat capacity (In our subsequent development, we will be referring the to properties per mole or per unit mass):

$$C_v=\left(\frac{\partial U}{\partial T}\right)_V$$
$$C_p=\left(\frac{\partial H}{\partial T}\right)_P$$
For a constant volume change or a constant pressure change, these definitions will give results that are consistent with the previous freshman physics results. However, they are much more general than that. Not only this, but the heat capacities are now clearly physical properties of the material that depend only on the thermodynamic state.

Later, you will learn more generally that the differential changes in internal energy and enthalpy of materials depend not only on temperature, but also on pressure and volume according to the relationships:
$$dU=C_vdT-\left[P-T\left(\frac{\partial P}{\partial T}\right)_V\right]dV$$
$$dH=C_vdT+\left[V-T\left(\frac{\partial V}{\partial T}\right)_P\right]dP$$
These relationships apply to real gases. Note that, for an ideal gas, PV=RT, and the second terms in each of these expressions is identically equal to zero. This means that, both Cv and Cp are functions only of temperature for an ideal gas.

We also know that, for an ideal gas,
$$dH=dU+d(PV)$$
So, using our new definitions, we find for an ideal gas that $$C_pdT=C_vdT+dPV)=C_vdT+RdT$$So it follows immediately that $$C_p=C_v+R$$
 
  • Like
Likes   Reactions: Andy Resnick, Clara Chung and Biker
Clara Chung said:
I think that dU = Cv dT can only be used when the volume of the gas is constant.
No, that's already the point. For an ideal gas, U(V,T) is a function of T, only. So this equation holds always, not only at constant volume.
 
  • Like
Likes   Reactions: Juanda and Clara Chung
Thank you so much for the answers :)
 

Similar threads

  • · Replies 2 ·
Replies
2
Views
2K
  • · Replies 3 ·
Replies
3
Views
2K
  • · Replies 1 ·
Replies
1
Views
4K
  • · Replies 6 ·
Replies
6
Views
2K
  • · Replies 3 ·
Replies
3
Views
2K
  • · Replies 10 ·
Replies
10
Views
2K
  • · Replies 13 ·
Replies
13
Views
4K
  • · Replies 16 ·
Replies
16
Views
3K
  • · Replies 20 ·
Replies
20
Views
4K
  • · Replies 1 ·
Replies
1
Views
2K