I'm having difficulty expressing a binomial expansion as a sum

Click For Summary

Homework Help Overview

The discussion revolves around expressing a binomial expansion as a sum, specifically focusing on the expansion of the function (8 - 3x^2)^{-1/3}. Participants are exploring the challenges associated with simplifying the series and identifying patterns in the coefficients.

Discussion Character

  • Exploratory, Assumption checking, Mathematical reasoning

Approaches and Questions Raised

  • Participants discuss the initial terms of the series and express difficulty in simplifying the last term's coefficient. Some suggest rewriting the function to facilitate the use of known binomial formulas. Others explore the general binomial coefficient and its implications for the expansion.

Discussion Status

There is an ongoing exploration of different approaches to express the binomial expansion. Some participants have provided tips and rephrased the function, while others are questioning the patterns in the coefficients. No consensus has been reached, and multiple interpretations are being considered.

Contextual Notes

Participants note the complexity introduced by specific coefficients, particularly the '7' in the numerator of the last term, which is a point of contention in finding a closed form solution. There is also mention of constraints related to homework rules and the need for clarity in expressing mathematical notation.

Robin64
Messages
34
Reaction score
3
Homework Statement
Given a function, f(x)=(8-3x^2)^-(⅓), find the 4 terms of that function's binomial expansion and then represent that expansion as a sum
Relevant Equations
f(x)=(8-3x^2)^-(⅓), (1+x)^n=1+nx+n(n-1)(x^2)/2!+n(n-1)(n-2)(x^3)/3!
I found the first 4 terms of the series: ½-(1/16)x^2+(1/64)x^4-(7/1536)x^6.

I cannot however simplify this to a sum. the 7 in the numerator of the last term of the above expansion is the sticking point.
 
Physics news on Phys.org
Robin64 said:
I found the first 4 terms of the series: ½-(1/16)x^2+(1/64)x^4-(7/1536)x^6.

I cannot however simplify this to a sum. the 7 in the numerator of the last term of the above expansion is the sticking point.
You have a formula for ##(1 + x)^n##. Make life easier on yourself by writing ##(8 - 3x^2)^{-1/3}## as ##8^{-1/3}(1 - \frac 3 8 x^2)^{-1/3}## and then replacing ##-\frac 3 8 x^2## with, say u.

Then you're working with ##(1 + u)^{-1/3}##, for which you know a formula, and presumably can come up with the general term.

As a tip, leave the numbers unmultiplied in those fractions. It's much harder to determine a pattern with 1/64 and 7/1536 and so on.
 
Ray Vickson said:
The general binomial coefficient of ##x^k## in the expansion ##(1+x)^{\lambda}## is
$${\lambda \choose k} \equiv \frac{\lambda (\lambda -1) \cdots (\lambda-k+1)}{k!}, \: k = 0,1, 2, 3, \ldots $$

Newton proved this as an application of his calculus of fluxions.

So
$$(1-u)^{-1/3} = 1 +(-u) {-1/3 \choose 1}+(-u)^2 {-1/3 \choose 2} + \cdots $$

Note that
$${-1/3 \choose 1} = -1/3$$
$${ -1/3 \choose 2} = \frac{(-1/3)(-1/3-1)}{2!} = (-1)^2 \frac{(1/3)(4/3)}{2} = \frac{4}{18}$$ etc.
 
Last edited:
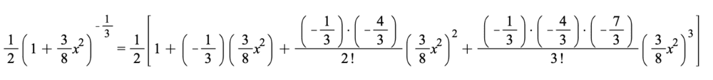
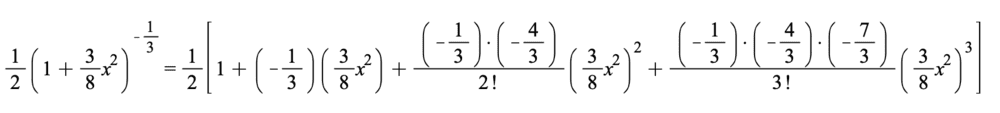
In my work, I did re-write the function as (½)(1-3x^2)^-⅓. The problem is the pesky 7. I don't see a pattern that gives me a closed form solution. Here's where I'm at:
241661
 
Robin64 said:
In my work, I did re-write the function as (½)(1-3x^2)^-⅓. The problem is the pesky 7. I don't see a pattern that gives me a closed form solution. Here's where I'm at:View attachment 241661

The binomial coefficient can be written as
$${-1/3 \choose k} =(-1)^k\, \frac{\prod_{j=0}^{k-1} (1+3 j)}{3^k k!}.$$
I don't think it can be expressed much more compactly than that.
 
Last edited:
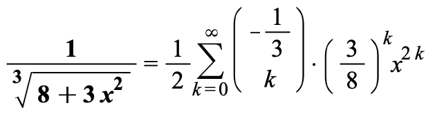
Thanks. I ended up expressing the sum as follows (I don't know the right code to display this properly, so I just took a screenshot of my solution as represented in Maple Document):
 

Attachments

  • Screen Shot 2019-04-10 at 22.40.54.png
    Screen Shot 2019-04-10 at 22.40.54.png
    3.9 KB · Views: 358
Robin64 said:
Thanks. I ended up expressing the sum as follows (I don't know the right code to display this properly, so I just took a screenshot of my solution as represented in Maple Document):

Right. But the binomial coefficient can be re -written in more explicit form; see $5 above.
 
Notice that the numerator of those fractions are -1, then -1 - 4, then -1 - 4 - 7, ... Do you see a pattern? What will the next numerator be?
 
  • Like
Likes   Reactions: jim mcnamara and SammyS

Similar threads

  • · Replies 5 ·
Replies
5
Views
2K
  • · Replies 12 ·
Replies
12
Views
3K
  • · Replies 3 ·
Replies
3
Views
2K
  • · Replies 5 ·
Replies
5
Views
3K
  • · Replies 6 ·
Replies
6
Views
2K
  • · Replies 5 ·
Replies
5
Views
2K
  • · Replies 1 ·
Replies
1
Views
2K
  • · Replies 1 ·
Replies
1
Views
2K
  • · Replies 7 ·
Replies
7
Views
2K
  • · Replies 36 ·
2
Replies
36
Views
4K