Integration by Parts and Substitution: Solving Complex Integrals

Click For Summary
SUMMARY

The discussion centers on the integration techniques of integration by parts and substitution, specifically in solving complex integrals. The formula for integration by parts, represented as uv - integral of vdu, is emphasized as a critical tool. Participants express confusion regarding the application of these techniques, particularly the role of variable z and its relationship to u. The recommendation to explore tabular integration and consult additional examples in textbooks is highlighted as a necessary step for clarity.

PREREQUISITES
  • Understanding of integration by parts formula (uv - integral of vdu)
  • Familiarity with substitution methods in calculus
  • Basic knowledge of tabular integration techniques
  • Experience with solving complex integrals
NEXT STEPS
  • Research tabular integration methods for efficient problem-solving
  • Study substitution techniques in calculus for complex integrals
  • Review worked examples of integration by parts in calculus textbooks
  • Practice solving integrals that require both substitution and integration by parts
USEFUL FOR

Students studying calculus, educators teaching integration techniques, and anyone seeking to improve their skills in solving complex integrals using integration by parts and substitution methods.

robertjford80
Messages
388
Reaction score
0

Homework Statement



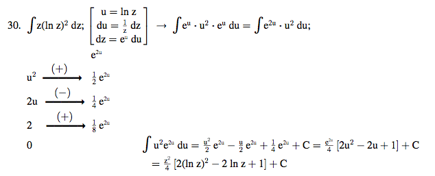
Screenshot2012-05-19at80808PM.png



Homework Equations



uv - integral of vdu

The Attempt at a Solution



They don't seem to be using the integration by parts formula here. I don't understand why why they don't have a value for what z equals. dz = eu. well, what does z equal. I would think it would be the same thing. Next I don't anywhere where they're using the uv - integral of vdu formula. very bizarre.
 
Physics news on Phys.org
You're quite right for what z is. As for integration by parts, they are using it - I recommend looking up tabular integration.
 
actually, i relooked at the question and they said they want me to use substitution in combination with integration by parts, so I'm going to have to look at some of the other examples in the book and see if they have a worked example for this type of problem.
 

Similar threads

  • · Replies 5 ·
Replies
5
Views
2K
  • · Replies 3 ·
Replies
3
Views
2K
  • · Replies 3 ·
Replies
3
Views
2K
  • · Replies 13 ·
Replies
13
Views
3K
  • · Replies 3 ·
Replies
3
Views
5K
  • · Replies 2 ·
Replies
2
Views
2K
  • · Replies 3 ·
Replies
3
Views
6K
Replies
1
Views
2K
  • · Replies 15 ·
Replies
15
Views
2K
  • · Replies 4 ·
Replies
4
Views
2K