Integration using exponentials

  • Thread starter Thread starter g.lemaitre
  • Start date Start date
  • Tags Tags
    Integration
Click For Summary

Homework Help Overview

The discussion revolves around the evaluation of an integral involving exponential functions and the error function (erf). Participants are attempting to understand the implications of the integral table and specific steps in the solution process.

Discussion Character

  • Conceptual clarification, Assumption checking

Approaches and Questions Raised

  • Participants express confusion regarding the meaning of the error function (erf) and its relevance to the integral. There are questions about specific steps in the solution, particularly regarding the absence of a factor of two in the denominator and the interpretation of the equation A√(λ/π) = A = √λ/π.

Discussion Status

Some participants have provided clarifications regarding the error function and the interpretation of the equation in question. However, there remains a lack of consensus on the understanding of the integral's setup and the specific steps involved.

Contextual Notes

Participants are referencing an integral table and a definition of the error function, indicating that there may be constraints related to the source material and the definitions provided therein.

g.lemaitre
Messages
267
Reaction score
2

Homework Statement



Screenshot2012-10-17at22915AM.png


the integral table says when you have the above form this will be the answer:

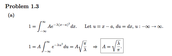
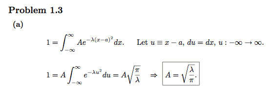
Screenshot2012-10-17at23832AM.png


Homework Equations





The Attempt at a Solution



I looked at the integral table here

http://integral-table.com/integral-table.html#SECTION00006000000000000000

and it says erf - I don't know what that means. In any case the erf x√a does not appear in the answer. I also don't understand the step

A√(λ/π) = A = √λ/π

I also don't see why there is no two in the denominator.
 
Physics news on Phys.org
g.lemaitre said:

Homework Statement



Screenshot2012-10-17at22915AM.png


the integral table says when you have the above form this will be the answer:

Screenshot2012-10-17at23832AM.png


Homework Equations





The Attempt at a Solution



I looked at the integral table here

http://integral-table.com/integral-table.html#SECTION00006000000000000000

and it says erf - I don't know what that means. In any case the erf x√a does not appear in the answer. I also don't understand the step

A√(λ/π) = A = √λ/π

I also don't see why there is no two in the denominator.

The definition of erf(x) IS include in the table.

RGV
 
Why is there no 2 in the denominator. I still don't know what erf means. I also don't understand the step

A√(λ/π) = A = √λ/π
 
g.lemaitre said:
Why is there no 2 in the denominator.
Because the integral is from -∞ to ∞, not from 0 to ∞.

g.lemaitre said:
I still don't know what erf means.
It means "error function". Don't worry about that.

g.lemaitre said:
I also don't understand the step

A√(λ/π) = A = √λ/π
You are not reading it correctly, that's why. What it reads is
A√(π/λ) = 1
therefore
A = √λ/π
 
ok, thanks for the help.
 

Similar threads

  • · Replies 28 ·
Replies
28
Views
6K
  • · Replies 2 ·
Replies
2
Views
2K
  • · Replies 9 ·
Replies
9
Views
2K
  • · Replies 17 ·
Replies
17
Views
3K
  • · Replies 11 ·
Replies
11
Views
3K
  • · Replies 2 ·
Replies
2
Views
2K
  • · Replies 26 ·
Replies
26
Views
5K
  • · Replies 3 ·
Replies
3
Views
3K
  • · Replies 10 ·
Replies
10
Views
2K
  • · Replies 10 ·
Replies
10
Views
2K