[Intro QM] Verification requested on possible solution for a question

Click For Summary

Homework Help Overview

The discussion revolves around a quantum mechanics problem involving the evaluation of a wave function, specifically the Fourier transform and its implications for calculating values at specific points. The original poster seeks verification of their approach and results for two parts of the question.

Discussion Character

  • Exploratory, Assumption checking, Conceptual clarification

Approaches and Questions Raised

  • The original poster presents their evaluation of the wave function and expresses uncertainty regarding the presence of a factor of √2π. They also inquire about the calculation of ψ(0) and the handling of an ambiguous limit. Participants discuss different conventions for the Fourier transform and the use of limits in evaluating the wave function at zero.

Discussion Status

Some participants have provided feedback on the original poster's evaluation, noting that their approach appears correct and suggesting methods for resolving the limit. There is an ongoing exploration of the reasoning behind specific limit evaluations, with participants questioning assumptions and clarifying concepts without reaching a definitive consensus.

Contextual Notes

Participants reference different conventions in Fourier transforms and the ambiguity encountered when directly substituting values into the wave function. The original poster's use of trigonometric limits and the Sandwich Theorem is also discussed, indicating a focus on foundational concepts in calculus as they relate to quantum mechanics.

warhammer
Messages
164
Reaction score
33
Homework Statement
Q1 (i) Given φ(k) = \frac{A/Δk} where (k0 − 0.5Δk)< k < (k0 +0.5Δk) & φ(k) is 0 elsewhere. A, k0 and Δk are constants.
Show that ψ(x) = A * \frac{sinb/b} *exp(ik0x) where b =0.5Δkx. Also find ψ(0).

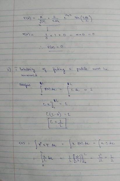
(ii) A particle freely moves in an one dimensional box of length L. The probability of finding the particle between x and x + dx inside the box is P(x)dx = Cdx, 0 ≤ x ≤ L where C is a constant. It is 0 elsewhere. Find C, < x > and < x^n >
Relevant Equations
ψ(x)= \frac{1/√(2pi)} \int_-∞^∞ φ(k) exp(ikx) dx\

<expectation value of an observable>= \int ψ(x)*(observable)ψ(x)
Below I have attached an image of my possible solution. I have replaced all the relevant limits. For some reason, I am getting the final value for (i) part as ψ(x)= with an additional √2pi in the denominator. Have I made any errors or is it fine if I take it within the constant A..

IMG_20220428_024753_884.jpg


In addition I have also posted images of the solution for the (ii) part where I am obtaining ψ(0)=0 and the expectation values. I shall be extremely indebted if someone can have a look at my solutions and verify if they are fine, or otherwise, graciously provide guidance so that I may be able to correct them.

IMG_20220428_024819_487.jpg

IMG_20220428_024907_630.jpg
 
Physics news on Phys.org
Your evaluation of ##\psi(x)## looks correct. There are several different conventions for the Fourier transform that differ in factors of ##2 \pi## or ##\sqrt{2 \pi}##. For example, see section A.1 here.

Calculating ##\psi(0)## by letting ##x = 0## leads to ##\frac{0}{0}## which is ambiguous. Instead, take the limit of ##\psi(x)## as ##x## approaches zero.

Your work for part 2 looks good.
 
  • Informative
Likes   Reactions: warhammer
TSny said:
Your evaluation of ##\psi(x)## looks correct. There are several different conventions for the Fourier transform that differ in factors of ##2 \pi## or ##\sqrt{2 \pi}##. For example, see section A.1 here.

Calculating ##\psi(0)## by letting ##x = 0## leads to ##\frac{0}{0}## which is ambiguous. Instead, take the limit of ##\psi(x)## as ##x## approaches zero.

Your work for part 2 looks good.
Thank you for your guidance sir.

Sir upon using the limit here, since x --> 0, and b is related to x directly, so it should also tend to zero; therefore we simply get ##\frac{A}{√2π}## as the answer for ##\psi(0)## . I hope this is now correct
 
warhammer said:
Sir upon using the limit here, since x --> 0, and b is related to x directly, so it should also tend to zero; therefore we simply get ##\frac{A}{√2π}## as the answer for ##\psi(0)## .
It's not clear how you deduced that ##\frac {\sin b}{b}## → 1 as ##x## → 0. Did you use l'Hôpital's Rule?
 
TSny said:
It's not clear how you deduced that ##\frac {\sin b}{b}## → 1 as ##x## → 0. Did you use l'Hôpital's Rule?
No sir. Instead I used the Trig identity for Limits: ## Lt b->0 \frac{sinb}{b} = 1## using the assumption that since ##b =0.5Δkx## ; b-->0 for x-->0 (the proof for the same coming from Sandwich Theorem if I recall correctly)..
 
Yes, there are different ways to get the limit. Good.

I think your result that ##\psi(0) = \frac{A}{\sqrt {2\pi}}## is correct.
 
  • Like
Likes   Reactions: Lnewqban and warhammer
TSny said:
Yes, there are different ways to get the limit. Good.

I think your result that ##\psi(0) = \frac{A}{\sqrt {2\pi}}## is correct.
Thank you so much sir for your prompt responses. I'm highly obliged, you took out so much time to carefully evaluate my solution..🙏🏻🧡
 
Last edited:
  • Like
Likes   Reactions: Lnewqban
You're very welcome. I'm glad I could help.
 
  • Love
Likes   Reactions: warhammer

Similar threads

  • · Replies 1 ·
Replies
1
Views
1K
  • · Replies 2 ·
Replies
2
Views
2K
Replies
8
Views
4K
  • · Replies 6 ·
Replies
6
Views
2K
  • · Replies 11 ·
Replies
11
Views
2K
Replies
1
Views
3K
  • · Replies 7 ·
Replies
7
Views
2K
  • · Replies 2 ·
Replies
2
Views
2K
  • · Replies 4 ·
Replies
4
Views
1K
Replies
7
Views
1K