Invariants of the stress tensor (von Mises yield criterion)

Click For Summary
SUMMARY

The discussion centers on the von Mises yield criterion and the confusion surrounding the second stress invariant equations, specifically the differences in sign. The participants clarify that both equations can be correct depending on the sign convention used in the characteristic polynomial of the stress tensor. It is emphasized that the I invariants are constants that help determine principal stresses, and a distinction is made between J2 and I2 invariants. Understanding these concepts is crucial for accurate stress analysis in materials.

PREREQUISITES
  • Understanding of stress tensors in continuum mechanics
  • Familiarity with the von Mises yield criterion
  • Knowledge of invariants in the context of stress analysis
  • Basic grasp of characteristic polynomials
NEXT STEPS
  • Study the derivation of the von Mises yield criterion in detail
  • Explore the mathematical properties of stress invariants, particularly I2 and J2
  • Review sign conventions used in stress tensor equations
  • Investigate applications of the von Mises criterion in material failure analysis
USEFUL FOR

Mechanical engineers, materials scientists, and students studying continuum mechanics who seek to deepen their understanding of stress analysis and yield criteria.

balasekar1005
Messages
1
Reaction score
0
TL;DR
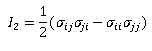
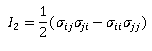
I see different versions of the second invariant of the cauchy stress tensor.
Hello all,

I am trying to understand the von Mises yield criterion and stumbled across two equations for the second stress invariant. Although the only difference is a difference in signs (negative and positive), it has been bothering me. Attached are the two versions. Which one is correct and if both are correct, why is there a change in sign?

Thank you,
Bala
 

Attachments

  • wiki.PNG
    wiki.PNG
    297 bytes · Views: 270
  • othersource.PNG
    othersource.PNG
    311 bytes · Views: 267
Engineering news on Phys.org
I have not done theoretical stuff in a long time, so take what I say with a grain of salt ...

The I invariants are the constants of the characteristic polynomial of the stress tensor used to determine the principal stresses so that you can define them to within a sign depending on how you choose to write the equation. What I cannot remember, is if there is a sign convention. Since you are finding both, my guess is that there is not one.

BTW, make sure that you do not confuse J2 with I2.
 
Here's what I've found in one of the books:
$$II_{\sigma}=\frac{1}{2} \left[ tr(\sigma^{2})-(tr \sigma)^2 \right]=- \sigma_{11} \sigma_{22}+ \sigma_{12} \sigma_{21} - \sigma_{11} \sigma_{33} + \sigma_{13} \sigma_{31} - \sigma_{22} \sigma_{33} + \sigma_{23} \sigma_{32}$$
 

Similar threads

  • · Replies 4 ·
Replies
4
Views
2K
  • · Replies 3 ·
Replies
3
Views
2K
  • · Replies 1 ·
Replies
1
Views
6K
  • · Replies 4 ·
Replies
4
Views
2K
  • · Replies 2 ·
Replies
2
Views
19K
  • · Replies 1 ·
Replies
1
Views
3K
Replies
3
Views
1K
  • · Replies 11 ·
Replies
11
Views
5K
  • · Replies 6 ·
Replies
6
Views
2K
  • · Replies 2 ·
Replies
2
Views
1K