Is an electron's spin always in some definite direction?

  • Context: Undergrad 
  • Thread starter Thread starter Happiness
  • Start date Start date
  • Tags Tags
    Direction Spin
Click For Summary

Discussion Overview

The discussion revolves around the nature of an electron's spin and whether it can be said to have a definite direction in physical space that would yield a consistent measurement outcome. Participants explore this concept in the context of entanglement, mixed states, and the implications of quantum mechanics on spin measurements.

Discussion Character

  • Debate/contested
  • Conceptual clarification
  • Technical explanation

Main Points Raised

  • Some participants assert that for a single free electron not entangled with anything else, there exists a direction in which a measurement of its spin will always yield spin up.
  • Others argue that this assertion fails when the electron is entangled with another particle, as entanglement generally results in a lack of a definite spin state.
  • It is noted that while spin-1/2 particles can have a definitive spin direction, this is not the case for spin-1 particles, which may not be aligned in any direction.
  • Questions are raised about the implications of mixed states on the definiteness of spin alignment.
  • Participants discuss how changing the measurement basis affects the description of the spin state without altering the actual state of the electron.
  • Some contributions emphasize that an electron does not have a definite axis of rotation, contrasting it with classical objects that do.
  • There are inquiries into how entanglement affects the measurement outcomes of spins in a system of multiple electrons.

Areas of Agreement / Disagreement

Participants do not reach a consensus on whether an electron's spin can be said to have a definite direction, particularly in the context of entanglement and mixed states. Multiple competing views remain regarding the implications of these concepts.

Contextual Notes

Limitations include the dependence on the definitions of spin states and the unresolved nature of how measurement affects entangled systems. The discussion also highlights the complexity of describing quantum states in different measurement bases.

Happiness
Messages
686
Reaction score
30
In other words, does there exist, for an electron, a definite direction in physical space such that a measurement of its spin along that direction always give spin up, 100% of the time?
 
Physics news on Phys.org
Happiness said:
does there exist, for an electron, a definite direction in physical space such that a measurement of its spin along that direction always give spin up, 100% of the time?

For a single free electron that is not entangled with anything else, yes, your statement is correct.

But that is pretty much the only case where it is. If the electron is entangled with anything else, in general it won't have a definite spin state, so your statement will not be true. And actual electrons are almost always entangled with something else. For example, an electron in a hydrogen atom is entangled with the proton.
 
  • Like
Likes   Reactions: bhobba and dextercioby
Happiness said:
In other words, does there exist, for an electron, a definite direction in physical space such that a measurement of its spin along that direction always give spin up, 100% of the time?
I would say that if you have an electron and measure its spin then "100% of the time" makes no sense.
 
Happiness said:
In other words, does there exist, for an electron, a definite direction in physical space such that a measurement of its spin along that direction always give spin up, 100% of the time?
There's always a direction along which the spin is definitively up or down for a spin-1/2 particle. As @PeterDonis said this fails once the particle is entangled.

It's also special to spin-1/2. For spin-1 particles there are states where the particle is not definitively aligned in any direction.
 
  • Like
Likes   Reactions: dextercioby
DarMM said:
There's always a direction along which the spin is definitively up or down for a spin-1/2 particle. As @PeterDonis said this fails once the particle is entangled.

It's also special to spin-1/2. For spin-1 particles there are states where the particle is not definitively aligned in any direction.
What about an electron in a mixed state?
 
PeroK said:
What about an electron in a mixed state?
Also doesn't have a definite alignment in any direction.
 
Happiness said:
In other words, does there exist, for an electron, a definite direction in physical space such that a measurement of its spin along that direction always give spin up, 100% of the time?
Spin 1/2 is described by an irreducible non-trivial representation of su(2). The Lie algebra su(2) has only one Casimir operator, ##\hat{\vec{s}}^2## with eigenvalues ##s(s+1)## (##s \in \{0,1/2,\ldots \}##). Thus each representation of su(2) is characterized by the eigenvalues of this Casimir operator.

Now the angular-momentum operators are a basis of su(2), fulfilling the commutation relations
$$[\hat{s}_i,\hat{s}_j]=\mathrm{i} \epsilon_{ijk} \hat{s}_k.$$
Thus no pair of these commutes, and thus in general only one component can have a common eigenvalue with ##\hat{\vec{s}}^2##.

The only exception is the trivial representation ##s=0##. Then all ##\hat{s}_j^2## must have expectation value 0 for any eigenstate of ##\hat{\vec{s}}^2##. This implies that the usual common basis ##|s,\sigma_3 \rangle## for ##s=0## has only one eigenvector with ##\sigma_3=0##. Now, this must also be an eigenvector of both ladder operators ##\hat{s}_{\pm}=\hat{s}_1 \pm \mathrm{i} \hat{s}_2## of eigenvalue 0 because otherwise there'd be an eigenvector with eigenvalues of ##\hat{s}_3## with eigenvalue ##\sigma_3=\pm 1##, but this is impossible since ##s=0##. Thus the ##s=0## state is the only state, where all 3 spin-components have a determined value of 0.

Since for the electron ##s=1/2##, there's no such state.
 
  • Like
Likes   Reactions: bhobba and weirdoguy
PeterDonis said:
For a single free electron that is not entangled with anything else, yes, your statement is correct.

But that is pretty much the only case where it is. If the electron is entangled with anything else, in general it won't have a definite spin state, so your statement will not be true. And actual electrons are almost always entangled with something else. For example, an electron in a hydrogen atom is entangled with the proton.
How does entanglement cause a loss of the definite direction? Suppose two free electrons are both spin up vertically. They come together and become entangled. Why aren’t they still remain as both spin up?

5EF88BFC-B1B1-465F-AC48-BE3686204490.jpeg


Consider a system of two electrons in the state |11> (4.177). Both are spin up. But if I turn my measurement device upside down, then would both electrons be measured spin down? But that state is a different state, |1-1>, implying that I could just change the state by turning my measurement device, an absurd conclusion. But if we take the view that turning the measurement device does not change the measured spin to down, but still spin up, then that spin up is “up” with respect to what, if we can’t take reference to the measurement device?

And for the state |10>, how can the total spin be 1, when it is guaranteed that the electrons always have opposite spins? Is it that before measurement, both electrons’ spin are in the same direction, hence the total spin adds up to 1, but during measurement, the measurement process flips one of the electron spin? But how do you decide which electron to flip? But flipping anyone electron will still seem to make the total spin after measurement become 0 instead. So it’s puzzling how the total spin could be 1.
 
Last edited:
Happiness said:
How does entanglement cause a loss of the definite direction? Suppose two free electrons are both spin up vertically. They come together and become entangled. Why aren’t they still remain as both spin up?

View attachment 248035

Consider a system of two electrons in the state |11> (4.177). Both are spin up. But if I turn my measurement device upside down, then would both electrons be measured spin down? But that state is a different state, |1-1>, implying that I could just change the state by turning my measurement device, an absurd conclusion. But if we take the view that turning the measurement device does not change the measured spin to down, but still spin up, then that spin up is up with respect to what, if we can’t take reference to the measurement device?

And for the state |10>, how can the total spin be 1, when it is guaranteed that the electrons always have opposite spins? Is it that before measurement, both electrons’ spin are in the same direction, hence the total spin adds up to one, but during measurement, the measurement process flips one of the electron spin? But how do you decide which electron to flip?
You are getting confused between a state and the description of that state in a given basis.

The state of spin-up in the z direction does not mean that everyone will get spin up regardless of how they choose their z axis.

Likewise, if you change your z axis, the electron remains in the same state. But your description of that state has changed.

As an analogy : If an object is moving along the positive x-axis and you change your axes, then you have not changed the motion of that object, only your description of its motion.
 
  • Like
Likes   Reactions: Happiness
  • #10
@Happiness I think have several other misconceptions about spin. For example, if an electron is spin up in the z direction, that does not mean that it only has spin about the z axis.

In this respect an electron is fundamentally different from a classical object. A classical object has a definite axis of rotation. An electron never has a definite axis of rotation.

It may be worth understanding the spin on a single electron before studying the spin of a system of two electrons and entanglement.
 
  • #11
Happiness said:
How does entanglement cause a loss of the definite direction? Suppose two free electrons are both spin up vertically. They come together and become entangled. Why aren’t they still remain as both spin up?

View attachment 248035

Consider a system of two electrons in the state |11> (4.177). Both are spin up. But if I turn my measurement device upside down, then would both electrons be measured spin down? But that state is a different state, |1-1>, implying that I could just change the state by turning my measurement device, an absurd conclusion. But if we take the view that turning the measurement device does not change the measured spin to down, but still spin up, then that spin up is “up” with respect to what, if we can’t take reference to the measurement device?

And for the state |10>, how can the total spin be 1, when it is guaranteed that the electrons always have opposite spins? Is it that before measurement, both electrons’ spin are in the same direction, hence the total spin adds up to 1, but during measurement, the measurement process flips one of the electron spin? But how do you decide which electron to flip? But flipping anyone electron will still seem to make the total spin after measurement become 0 instead. So it’s puzzling how the total spin could be 1.
In an entangled two-electron state, the single electron also has a definite state, which is given by the partial trace of the stat. op. over the other electron. This reduced state for a subsystem is in the case that the complete system is in a spin-entangled pure state, a mixed state. That's one of the special properties of entanglement!

The state ##|\Psi \rangle=|\uparrow,\uparrow \rangle## is not a spin-entangled state since it's a product state. The pure state of the two-spin systems is ##\hat{\rho}=|\Psi \rangle \langle \Psi|##. In this case the partial trace is of course a pure state,
$$\hat{\rho}_2=\mathrm{Tr}_1 \hat{\rho} =\sum_{i,j,k \in \{\uparrow,\downarrow \}} |j \rangle \langle ij|\hat{\rho}|ik \rangle \langle k|=|\uparrow \rangle \langle \uparrow |.$$
 
  • #12
vanhees71 said:
In an entangled two-electron state, the single electron also has a definite state, which is given by the partial trace of the stat. op. over the other electron. This reduced state for a subsystem is in the case that the complete system is in a spin-entangled pure state, a mixed state. That's one of the special properties of entanglement!

The state ##|\Psi \rangle=|\uparrow,\uparrow \rangle## is not a spin-entangled state since it's a product state. The pure state of the two-spin systems is ##\hat{\rho}=|\Psi \rangle \langle \Psi|##. In this case the partial trace is of course a pure state,
$$\hat{\rho}_2=\mathrm{Tr}_1 \hat{\rho} =\sum_{i,j,k \in \{\uparrow,\downarrow \}} |j \rangle \langle ij|\hat{\rho}|ik \rangle \langle k|=|\uparrow \rangle \langle \uparrow |.$$
I don’t really understand this. But are you trying to say that each electron in a two-electron system still has a definite state?
 
  • #13
Yes, given the state ##\hat{\rho}## of the two-electron system the state of electron 2 is given by the partial trace
$$\hat{\rho}_2=\mathrm{Tr}_1 \hat{\rho}.$$
It has of course not a definite spin, if ##\hat{\rho}## is a spin-entangled state. As you can easily verify, in a maximally entangled state (i.e., one of the Bell states) ##\hat{\rho}_2=\hat{1}/2##, i.e., the 2nd electron is completely unpolarized.
 
  • #14
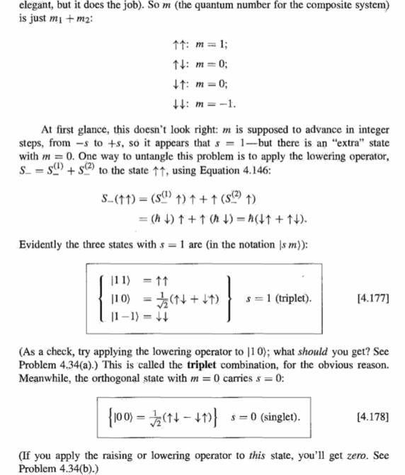
I’m trying to figure out when two electrons come together and get entangled, which state, |11>, |10>, |1-1> or |00>, the resultant system would be in.

I suspect when two up electrons come together, the system will be in |11>. And two down electrons (down-down overlap) produce |1-1>. Next for the case of opposite spins, there are three ways of approach. Firstly, the two electrons could approach sideways, producing |00> since the head of the spin arrow of one electron overlaps with the tail of the spin arrow of the other electron and cancels each other out. Secondly, the two electrons could approach head on, with heads pointing towards each other (head-head overlap). Lastly, they could approach head on but with tails pointing towards each other instead (tail-tail overlap). These last two ways should produce the same state, the last one left, |10>. They should produce the same state because there should be no difference between heads approaching vs tails approaching, since heads and tails are just labels that could have been swapped.

Next, we could also form superpositions of the system states |11>, |10>, |1-1> and |00>. Consider two electrons with their spin arrow slanted at ##45^\circ##; the left (west) electron pointing southeast, the right (east) electron, southwest. They approach each other, forming a V shape. Since this V is halfway between a down-down overlap and a head-head overlap, the resultant system state is a superposition of their respective mapped states, ##\frac{1}{\sqrt{2}}##(|1-1>+|10>).

Screenshot 2019-08-13 at 12.05.16 AM.png
 
Last edited:
  • #15
PeterDonis said:
For a single free electron that is not entangled with anything else, yes, your statement is correct.

But that is pretty much the only case where it is. If the electron is entangled with anything else, in general it won't have a definite spin state, so your statement will not be true. And actual electrons are almost always entangled with something else. For example, an electron in a hydrogen atom is entangled with the proton.
For the electron in a ground-state hydrogen atom, since there is no definite direction for its spin, does it mean that the probability of measuring spin up and down are both half, regardless of the direction of measurement?

But if there is no definite direction, does this violate the conservation of information? Consider two identical protons A and B. A is approached by a "spin up" electron from the bottom, while B is approached by a "spin down" electron from the right. Clearly, these two hydrogen atoms are formed from different initial states. If they end up having the same final state, both with no definite spin direction, then where does the information about the initial spin go?
 
Last edited:
  • #16
Happiness said:
I’m trying to figure out when two electrons come together and get entangled, which state, |11>, |10>, |1-1> or |00>, the resultant system would be in.

The usual representation for a spin entangled pair of electrons is:

##\frac{1}{\sqrt{2}}(|10>-|01>)##

or

##\frac{1}{\sqrt{2}}(|\uparrow\downarrow>-|\downarrow\uparrow>)##

This is also called a singlet state.
 
Last edited:
  • #17
No, this is one of the triplet states. The singlet-state ket is
$$\frac{1}{\sqrt{2}} (|10 \rangle-|01 \rangle).$$
 
  • Like
Likes   Reactions: DrChinese
  • #18
Happiness said:
I’m trying to figure out when two electrons come together and get entangled, which state, |11>, |10>, |1-1> or |00>, the resultant system would be in.

It depends on how they are entangled. There are four basis states for the Hilbert space of a two-electron system if we are only looking at the spin part of the state, three called "triplet" and one called "singlet". None of the ones you wrote down are among them; you forgot that electrons are indistinguishable so the spin part of the two-electron wave function has to be either symmetric (if the position/momentum part is antisymmetric) or antisymmetric (if the position/momentum part is symmetric).
 
  • Like
Likes   Reactions: vanhees71
  • #19
Happiness said:
For the electron in a ground-state hydrogen atom, since there is no definite direction for its spin, does it mean that the probability of measuring spin up and down are both half, regardless of the direction of measurement?

Theoretically, yes. Practically speaking, we have no way of making such a measurement.

Happiness said:
if there is no definite direction, does this violate the conservation of information?

No. Measurement involves interaction with an external apparatus, so if you measure a system you can't just think of the system by itself, with regard to conservation laws or anything else; you have to think of the system plus apparatus.

Also, "conservation of information" in quantum mechanics means "unitary evolution", and on some interpretations of QM unitary evolution is violated in a measurement.

Happiness said:
Consider two identical protons A and B. A is approached by a "spin up" electron from the bottom, while B is approached by a "spin down" electron from the right. Clearly, these two hydrogen atoms are formed from different initial states. If they end up having the same final state, both with no definite spin direction, then where does the information about the initial spin go?

Making a hydrogen atom doesn't just mean "bring an electron and a proton together" with nothing else being involved. The electron-proton system has to give up energy to become bound. The process of giving up energy involves emitting something, most likely photons, and the emitted photons carry away whatever angular momentum they need to to put the hydrogen atom in its final state, as well as whatever energy they need to to do that.
 
  • #20
I'm going to circle back at the original question (Is an electron's spin always in some definite direction?) and give a different answer: "no". Note that the questions "is an electron's spin always in some definite direction?" and "[is it possible to create a state such that] a measurement of its spin along that direction always give spin up, 100% of the time?" are very different.

A spin 1/2 particle has total angular momentum √3/2. At most 1/2 points in any given direction, so its spin is most assuredly not in some definite direction.
 
  • Like
Likes   Reactions: DrChinese, vanhees71 and Happiness
  • #21
Vanadium 50 said:
A spin 1/2 particle has total angular momentum √3/2. At most 1/2 points in any given direction, so its spin is most assuredly not in some definite direction.

Another way to put this would be that even if you have an electron whose spin in the ##z## direction, say, you have just measured to be "up", that does not mean it's the same as a little spinning ball with angular momentum ##\hbar / 2## about the ##z## axis, as would be the case for a classical object that had just given that measurement result.
 
  • #22
Happiness said:
I suspect when two up electrons come together, the system will be in...
If you haven't already done so, you might want to google for "Clebsch-Gordan coefficients" - spin doesn't combine the way you'd intuitively expect.
 
  • #23
PeterDonis said:
It depends on how they are entangled. There are four basis states for the Hilbert space of a two-electron system if we are only looking at the spin part of the state, three called "triplet" and one called "singlet". None of the ones you wrote down are among them; you forgot that electrons are indistinguishable so the spin part of the two-electron wave function has to be either symmetric (if the position/momentum part is antisymmetric) or antisymmetric (if the position/momentum part is symmetric).
I'm using the same notation as 4.177 and 4.178. So according to them, |11>, |10> and |1-1> are the triplet, |00> is the singlet state, and the symmetric or antisymmetric requirement is already taken care of, right?

Screenshot 2019-08-13 at 12.05.16 AM.png
 
  • #24
Happiness said:
I'm using the same notation as 4.177 and 4.178. So according to them, |11>, |10> and |1-1> are the triplet, |00> is the singlet state, and the symmetric or antisymmetric requirement is already taken care of, right?

Ah, ok. Yes, with that notation, all of those states are either symmetric or antisymmetric.

Note, though, that, as I said in my previous post, you still need to take into account the position/momentum part of the wave function (whether it is symmetric or antisymmetric) to know which of the spin states are allowed.
 
  • #25
vanhees71 said:
No, this is one of the triplet states. The singlet-state ket is
$$\frac{1}{\sqrt{2}} (|10 \rangle-|01 \rangle).$$

My bad, corrected. Thanks.
 
  • Like
Likes   Reactions: vanhees71
  • #26
Vanadium 50 said:
A spin 1/2 particle has total angular momentum √3/2. At most 1/2 points in any given direction, so its spin is most assuredly not in some definite direction.
Indeed, the socalled "spin-direction" is actually the axis of precession of the total spin, where the total spin is given by ##s=s^x+s^y+s^z## as shown in the figure below for a single spinor ##\xi##

Spinor 2019-08-17 204153.png


The three spin vectors ##s^x##, ##s^y## and ##s^z## can be calculated with:

$$ \begin{matrix}
s^z~~=&\{&\xi^\dagger\sigma^x\xi~&\xi^\dagger\sigma^y\xi~&\xi^\dagger\sigma^z\xi&\} \\
s^x~~=&\{&\xi^\dagger \sigma^2\sigma^x\xi^*&\xi^\dagger \sigma^2\sigma^y\xi^*&\xi^\dagger \sigma^2\sigma^z\xi^*&\}\\
s^y~~=&\{&\xi^\dagger i\sigma^2\sigma^x\xi^*&\xi^\dagger i\sigma^2\sigma^y\xi^*&\xi^\dagger i\sigma^2\sigma^z\xi^*&\}
\end{matrix}$$

The three spin vectors ##s^x##, ##s^y## and ##s^z## can also be considered as defining the local reference frame of the spinor which can be oriented in any arbitrary direction. The expressions above are quite horrible and nontransparent. They can be written in a very elegant way using the Euler Parameter representation:

$$ \begin{matrix}
s^x~~=&\{&\xi^\intercal\sigma^x_x\,\xi~&\xi^\intercal\sigma^y_x\,\xi~&\xi^\intercal\sigma^z_x\,\xi&\} \\
s^y~~=&\{&\xi^\intercal\sigma^x_y\,\xi~&\xi^\intercal\sigma^y_y\,\xi~&\xi^\intercal\sigma^z_y\,\xi&\} \\
s^z~~=&\{&\xi^\intercal\sigma^x_z\,\xi~&\xi^\intercal\sigma^y_z\,\xi~&\xi^\intercal\sigma^z_z\,\xi&\}
\end{matrix}$$

Spinors are much better and much easier understood in the older, real valued Euler Parameter representation. Many essential spinor properties are hopelessly lost and obscured in the complex Cayley-Klein representation that Pauli adopted and which is generally the only representation that physicist are familiar with. As a result (quantum) physicist have an incomplete understanding of spinors.

The (real) Euler parameter representation of a SPINOR is obtained as below in such a way that 3 of the 4 elements can be directly associated with ##x##, ##y## and ##z##. This already makes interpretation much simpler.

$$\left(\begin{array}{r} a +ib \\ c+id \end{array}\right) ~\longrightarrow~ \left(\begin{array}{r} a \\ b \\ c \\ d \end{array}\right) ~\longrightarrow~ \left(\begin{array}{r} u \\ x \\ y \\ z \end{array}\right) $$

The Euler parameter representation of a PAULI MATRIX and any other 2x2 complex matrix is obtained by replacing each complex element by a real valued 2x2 matrix.

$$a+ib ~\longrightarrow~ \left(\begin{array}{rr} a & -b \\ b & a \end{array}\right) ~~~~~~~~~~ * ~\longrightarrow~ \left(\begin{array}{rr} 1 & 0 \\ 0 & -1 \end{array}\right)$$

Note that the complex conjugate operator becomes simply another real valued matrix further simplifying interpretations. Group theoretically: SU(2) combined with ##*## gives us SO(4):

SU(4)_3.PNG


The three ##\mathsf{j}## and the three ##\mathsf{i}## form the matrix representation of the left-acting quaternions and the right-acting quaternions respectively.

Note that the colored rectangles correspond with the three SO(3) generators for x, y and z. Simplifying things again because the ##\mathsf{j_x,j_y,j_z}## are in fact just the three spinor rotation generators!

The standard Pauli matrices are ##\sigma^1##, ##\sigma^2## and ##\sigma^3##. The indices x, y and z in the ##(\mathsf{j_x,j_y,j_z})##, the ##(\mathsf{i_x,i_y,i_z})## and ##(\sigma^x,\sigma^y,\sigma^z)## are chosen so that they correspond with the SO(3) rotation matrices.

With this we now get a very elegant definition of the spinor vectors combining the above matrices into 9 different Pauli matrices using ##\sigma^a_b=\mathsf{i_b\,j^a}## where ##\xi^\intercal## is a row-vector, the transpose of ##\xi##.

$$ \begin{matrix}
s^x~~=&\{&\xi^\intercal\sigma^x_x\,\xi~&\xi^\intercal\sigma^y_x\,\xi~&\xi^\intercal\sigma^z_x\,\xi&\} \\
s^y~~=&\{&\xi^\intercal\sigma^x_y\,\xi~&\xi^\intercal\sigma^y_y\,\xi~&\xi^\intercal\sigma^z_y\,\xi&\} \\
s^z~~=&\{&\xi^\intercal\sigma^x_z\,\xi~&\xi^\intercal\sigma^y_z\,\xi~&\xi^\intercal\sigma^z_z\,\xi&\}
\end{matrix}$$
But it gets even better. All nine expressions above can be calculated with a single(!) matrix multiplication. The following very important formula to calculate the spinor's local coordinate system is completely absent from the (quantum) physics textbooks.

For an arbitrary spinor (u,x,y,z) we can calculate its local coordinate system with the following matrix multiplication:

$$\check{\xi}\,\hat{\xi} ~=~ (\xi\cdot\mathsf{i})(\mathsf{j}\cdot\xi)~=~\big|\xi \big|^2\!\!\left(\begin{smallmatrix}1~&0~&0~&0~\\0~&\mathsf{X}^{^x}&\mathsf{X}^{^y}&\mathsf{X}^{^z} \\0~&\mathsf{Y}^{^x}&\mathsf{Y}^{^y}&\mathsf{Y}^{^z} \\0~&\mathsf{Z}^{^x}&\mathsf{Z}^{^y}&\mathsf{Z}^{^z}\end{smallmatrix}\right)$$

Here ##\mathsf{X,Y,Z}## are the normalized versions of the three spin-vectors ##s^x,s^y,s^z##. Together they also form a rotation matrix that defines the orientation of the spinor. The spinor operator matrices ##\hat{\xi}## and ##\check{\xi}## are written out as:

$$\begin{array}{c}\hat{\xi} ~~=~~ (\xi\cdot\mathsf{j})~~=~~(u\mathsf{j}_o+x\mathsf{j}_x+y\mathsf{j}_y+z\mathsf{j}_z) ~~=~~\left(\begin{smallmatrix} ~u & ~x & ~y & ~z \\\!\!-x & ~u &\!\!-z & ~y \\\!\!-y & ~z & ~u &\!\!-x \\\!\!-z &\!\!-y & ~x & ~u\end{smallmatrix}\right)\\ \\\check{\xi} ~~=~~(\xi\cdot\mathsf{i})~~=~~(u\mathsf{i}_o+x\mathsf{i}_x+y\mathsf{i}_y+z\mathsf{i}_z) ~~=~~\left(\begin{smallmatrix} ~u &\!\!-x &\!\!-y &\!\!-z \\ ~x & ~u &\!\!-z & ~y \\ ~y & ~z & ~u &\!\!-x \\ ~z &\!\!-y & ~x & ~u\end{smallmatrix}\right)\end{array}$$

Although the matrix multiplication is mine, the result is exactly identical to the Euler-Rodrigues formulaNow ##(\xi^\intercal\sigma^y_x\,\xi)## is the y-component of ##s^x##. There is a very simple geometric explanation for this: The Pauli matrix ##\sigma^y_x## acting on ##\xi## performs a 180##^o## rotation of the spinor around the y-axis and a -180##^o## rotation of the spinor around its own ##\mathsf{X}##-axis. We will explain this further on.

- If the ##\mathsf{X}##-axis of the spinor is parallel to the y-axis then ##~~~~~~~\xi^\intercal\sigma^y_x\,\xi~=~~~\xi^\intercal\xi~=~~~|\xi|^2##
- If the ##\mathsf{X}##-axis of the spinor is anti-parallel to the y-axis then ##\xi^\intercal\sigma^y_x\,\xi~=-\xi^\intercal\xi~=-|\xi|^2##
- If the ##\mathsf{X}##-axis of the spinor is orthogonal to the y-axis then ##~\xi^\intercal\sigma^y_x\,\xi~=~~0##

Now we come to the remarkable fact that the ##(\mathsf{j_x,j_y,j_z})## rotate the spinor around the coordinate axis while the ##(\mathsf{i_x,i_y,i_z})## rotate the spinor in its own local reference frame. There is a relation with the fact that one is left-acting and the other is right-acting. Consider the matrix shown below which corresponds with the (transposed) rotation matrix.

$$\left(\begin{matrix}1~&0~&0~&0~\\0~&\mathsf{X}^{^x}&\mathsf{X}^{^y}&\mathsf{X}^{^z} \\0~&\mathsf{Y}^{^x}&\mathsf{Y}^{^y}&\mathsf{Y}^{^z} \\0~&\mathsf{Z}^{^x}&\mathsf{Z}^{^y}&\mathsf{Z}^{^z}\end{matrix}\right)$$

Acting from one way rotates the columns of the matrix which corresponds with a rotation in the (world-) coordinate system ##x,y,z## while operating from the other direction rotates the rows which corresponds with a rotation in the spinors own reference frame based on the unit-vectors ##\mathsf{X,Y,Z}##.See the sections 1.2, 1.3 and 1.4 of chapter 1 and the whole of chapter 2 here:

To see how QED (1 boson field, 1 fermion generation) can be perfectly extended to the full Electroweak Theory (extra boson triplet and 3 fermion generations) using the Euler parameter representation see here: https://thephysicsquest.blogspot.com/
 
Last edited:
  • #27
Well, SO(4) is not SO(3) nor SU(2). The fundamental representation of SU(2) or its extensions via complexification to ##\mathrm{SL}(2,\mathbb{C})## are still the fundamental building blocks of the representations of the proper orthochronous Lorentz group, i.e., one of the fundamental corner stones of the Standard Model of HEP physics.
 
  • #28
vanhees71 said:
Well, SO(4) is not SO(3) nor SU(2). The fundamental representation of SU(2) or its extensions via complexification to ##\mathrm{SL}(2,\mathbb{C})## are still the fundamental building blocks of the representations of the proper orthochronous Lorentz group, i.e., one of the fundamental corner stones of the Standard Model of HEP physics.
The representations of the proper orthochronous Lorentz group of course stay the same in the sense that they are replaced by equivalent real matrices.

Note that one can represent all generators of ##\mathrm{SU}(N)## or ##\mathrm{SL}(2,\mathbb{C})## by real matrix generators using the standard replacement of each complex matrix element by a real 2x2 matrix:

$$a+ib ~\longrightarrow~ \left(\begin{array}{rr} a & -b \\ b & a \end{array}\right) $$

So ##\mathrm{SL}(2,\mathbb{C})## is represented by the real matrices ##\mathsf{j_x,j_y,j_z}## and ##\mathsf{i_x}## as defined in my post. These matrices are all square roots of ##-I##. The Pauli matrices are represented by ##\sigma^a\rightarrow\mathsf{i_x\,j_a}## while ##i\rightarrow\mathsf{i_x}## wherever you would typically write ##i## as a simplified notation of ##i\sigma^o##.

But now it comes: The remaining matrices ##\mathsf{i_y}## and ##\mathsf{i_z}## are also used in standard QFT but not recognized as such. They arise when you start using the complex conjugate operator ##*##. For instance in the single spinor Majorana equation which becomes:

$$\Big(~\mathsf{i_x}\partial_t + \mathsf{i_y}m~\Big) \xi~~=~~\Big(~\mathsf{j_x}\partial_x + \mathsf{j_y}\partial_y+\mathsf{j_z}\partial_z~\Big)\xi$$

Without calculation you can now directly see that taking the squares of both sides gives you the Klein Gordon equation:

$$\Big(~\partial^2_t - \partial^2_x -\partial^2_y - \partial^2_z+ m^2~\Big) \xi~~=~~ 0$$

because the ##\mathsf{i_x,i_y,i_z}## also form an anti commuting triplet. Much simpler isn't it?
 
  • #29
This is of course well known in the standard representation of ##\mathrm{sl}(2,\mathbb{C})## or ##\mathrm{SL}(2,\mathbb{C})##: The conjugate complex of one of the two-dimensional representations is not equivalent to it. Thus you have two inequivalent irreducible two-dimensional representations, usually labelled as (1/2,0) and (0,1/2). They are known as Weyl spinors. Majorana fermions are represented by quantized Weyl-spinor fields.

The Dirac representation is ##(1/2,0) \oplus (0,1/2)##, i.e., reducible as a representation of the proper orthochronous Lorentz group but irrducible for the orthochronous Lorentz group, including space reflections. In QED and QCD you need Dirac fermions since both the electromagnetic and the strong interaction are P conserving and thus you need to represent space reflections.
 

Similar threads

  • · Replies 19 ·
Replies
19
Views
2K
  • · Replies 12 ·
Replies
12
Views
3K
  • · Replies 4 ·
Replies
4
Views
2K
  • · Replies 45 ·
2
Replies
45
Views
4K
  • · Replies 3 ·
Replies
3
Views
1K
  • · Replies 3 ·
Replies
3
Views
1K
  • · Replies 6 ·
Replies
6
Views
3K
  • · Replies 12 ·
Replies
12
Views
2K
  • · Replies 124 ·
5
Replies
124
Views
9K
  • · Replies 10 ·
Replies
10
Views
3K