Is Author Wrong? Solving a Homework Equation

  • Thread starter Thread starter foo9008
  • Start date Start date
  • Tags Tags
    Homework
Click For Summary

Homework Help Overview

The discussion revolves around a potential inconsistency in the formulation of a Fourier series, specifically regarding the variable L in the equation for f(x). Participants are examining whether the author correctly applies L in different examples and how it affects the overall equation.

Discussion Character

  • Conceptual clarification, Assumption checking

Approaches and Questions Raised

  • Participants are questioning the author's treatment of L in the Fourier series equation, comparing different examples and definitions. Some are attempting to reconcile the author's use of L across various contexts, while others are unsure about the implications of these differences.

Discussion Status

The discussion is ongoing, with participants exploring various interpretations of the author's equations. Some have provided references to external definitions of Fourier series, while others are seeking clarification on the consistency of L's value in the examples cited.

Contextual Notes

There is mention of specific examples (154002 and 1550002) where L is assigned different values, which raises questions about the author's consistency. Participants are also referencing external sources to validate their understanding of the definitions involved.

foo9008
Messages
676
Reaction score
4

Homework Statement


is the author wrong ? i was told that the f(x) = 0.5(a_0) +Σ(a_n)cos (nπx / L ) ... but , in the example(photo2) , the author ignore the L , which the author gave f(x) = 0.5(a_0) +Σ(a_n)cos (nπx ) +...

Homework Equations

The Attempt at a Solution


P/ s : i have tried to make some correction beside the working , is it correct ?[/B]
 

Attachments

  • 150.jpg
    150.jpg
    53.8 KB · Views: 437
  • 153.jpg
    153.jpg
    18.8 KB · Views: 443
  • 1540002.jpg
    1540002.jpg
    33.8 KB · Views: 405
  • 1550002.jpg
    1550002.jpg
    17.9 KB · Views: 392
Last edited:
Physics news on Phys.org
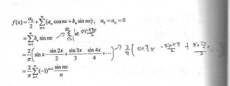
Don't know what photo 2 is, but in 154002 the author carefully uses L = 2.
And in 1550002 L is ##\pi##
 
BvU said:
Don't know what photo 2 is, but in 154002 the author carefully uses L = 2.
And in 1550002 L is ##\pi##
So, the author is wrong, right? In155002, the L should be 2, right??
 
If 150 says ##n\pi\x\over L## and 154 says ##n\pi\over 2##, doesn't that mean the author did take L = 2 ?

As for 155, I'm not so sure: does the definition in your book agree with

The http://www.math24.net/definition-of-fourier-series.html of the function f(x) is given by
$$f(x)={a_0\over 2}+\sum_{n=1}^\infty \{a_n\cos nx+b_n\sin nx\}$$
where the Fourier coefficients ##a_0##, ##a_n##, and ##b_n## are defined by the integrals$$
a_0={1\over \pi} \int _{−\pi}^\pi f(x)\, dx,\quad a_n={1\over \pi} \int _{−\pi}^\pi f(x)\cos nx\,dx,\quad b_n{1\over \pi} \int _{−\pi}^\pi f(x)\sin nx\,dx$$
 
BvU said:
If 150 says ##n\pi\x\over L## and 154 says ##n\pi\over 2##, doesn't that mean the author did take L = 2 ?

As for 155, I'm not so sure: does the definition in your book agree with

The http://www.math24.net/definition-of-fourier-series.html of the function f(x) is given by
$$f(x)={a_0\over 2}+\sum_{n=1}^\infty \{a_n\cos nx+b_n\sin nx\}$$
where the Fourier coefficients ##a_0##, ##a_n##, and ##b_n## are defined by the integrals$$
a_0={1\over \pi} \int _{−\pi}^\pi f(x)\, dx,\quad a_n={1\over \pi} \int _{−\pi}^\pi f(x)\cos nx\,dx,\quad b_n{1\over \pi} \int _{−\pi}^\pi f(x)\sin nx\,dx$$
no , as you can see it 150 , the author gave $$f(x)={a_0\over 2}+\sum_{n=1}^\infty \{a_n\cos nπx / L+b_n\sin nπx\/L}$$
 

Attachments

  • 150.jpg
    150.jpg
    56.1 KB · Views: 415

Similar threads

  • · Replies 6 ·
Replies
6
Views
2K
  • · Replies 20 ·
Replies
20
Views
3K
  • · Replies 2 ·
Replies
2
Views
1K
  • · Replies 2 ·
Replies
2
Views
2K
Replies
1
Views
2K
  • · Replies 104 ·
4
Replies
104
Views
8K
  • · Replies 1 ·
Replies
1
Views
2K
  • · Replies 4 ·
Replies
4
Views
5K
  • · Replies 1 ·
Replies
1
Views
3K
  • · Replies 8 ·
Replies
8
Views
2K