Is Entropy decreased for Free expansion of a Waals gas?

Click For Summary

Homework Help Overview

The discussion revolves around the entropy change during the free expansion of a van der Waals gas. Participants explore the implications of their calculations regarding temperature changes and entropy, questioning whether entropy can decrease in this process.

Discussion Character

  • Exploratory, Assumption checking, Conceptual clarification

Approaches and Questions Raised

  • Participants discuss different methods for calculating changes in temperature and entropy, with some expressing confusion about the possibility of negative entropy changes. Others analyze equations related to specific volume and entropy, questioning their assumptions and interpretations.

Discussion Status

There is an ongoing exploration of the relationships between pressure, temperature, and volume in the context of entropy changes. Some participants have provided insights that suggest the overall entropy change must be positive, despite individual terms in their calculations appearing negative. The conversation indicates a productive exchange of ideas, with participants considering graphical analysis and the relevance of Maxwell relations.

Contextual Notes

Participants note the importance of understanding the behavior of van der Waals gases and the implications of their equations. There is mention of prior problems that may influence their current calculations, as well as the acknowledgment of not having fully learned certain concepts, such as Maxwell relations.

Astrocyte
Messages
15
Reaction score
4
Homework Statement
What is the change in entropy of van der Waals gas in free expansion?
Free expansion from V to 2V
Relevant Equations
(p+aN^2/V^2)(V-Nb)=NkT
Previous of this problem, there was another problem. that is "What is the change in Temperature of van der Waals gas in free expansion?".
I got them.
It was
C_V dT= -aN^2/V^2 dV
Then, I got
T=T0-aN^2/2VC_V
So i knew that the Temperature is decreased by free expansion in adiabatic process.
Then I calculated some about the change of entropy.
캡처.PNG

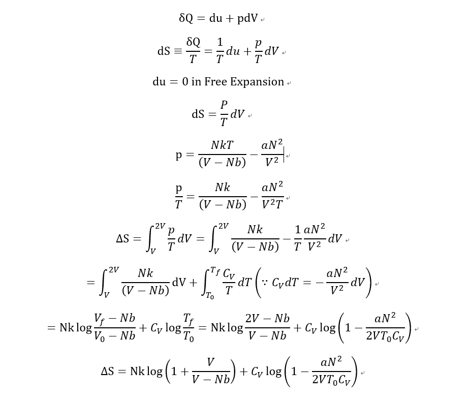
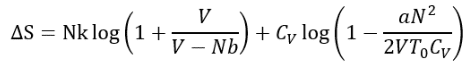
And I notice that this result says "entropy can be decreased for Free expansion of Waals gas.
What did i do wrong for this calculation?
 
Last edited:
Physics news on Phys.org
I get something similar, solving it a very different way, and working in terms of specific volume v and specific entropy s: $$\Delta s=C_v\ln{\left(1-\frac{a}{2vT_0C_v}\right)}+R\ln{\left(\frac{2v-b}{v-b}\right)}$$where Cv is independent of v and T, and thus equal to the heat capacity in the ideal gas limit.
 
  • Informative
  • Like
Likes   Reactions: Astrocyte and etotheipi
1587865248090.png


And I notice that this result says "entropy can be decreased for Free expansion of Waals gas.
What did i do wrong for this calculation?
I don't think you did anything wrong. From ##\Delta S = \int_V^{2V}\frac{P}{T}dV##, you can see that ##\Delta S## must be positive since ##P##, ##T##, and ##V## are positive. The fact that ##P## is positive, means that in the equation ##P = \frac{NkT}{V-Nb} - \frac{aN^2}{V^2}##, the first term on the right "outweighs" the second term on the right. These two terms lead to the two terms in your final result $$\Delta S = Nk \log \left (1+ \frac{V}{V-Nb} \right)+C_V\log \left (1- \frac{aN^2}{2VT_0C_V} \right)$$

So, although the second term in the result is negative, the overall expression must be positive.
 
  • Informative
  • Like
Likes   Reactions: Astrocyte and etotheipi
My analysis was based on the following equations for an arbitrary fluid:
$$ds=\left(\frac{\partial s}{\partial T}\right)_vdT+\left(\frac{\partial s}{\partial v}\right)_Tdv$$with $$\left(\frac{\partial s}{\partial T}\right)_v=\frac{C_v}{T}$$and$$\left(\frac{\partial s}{\partial v}\right)_T=\left(\frac{\partial P}{\partial T}\right)_v$$For a van der Waals gas, the latter equation reduces to:$$\left(\frac{\partial s}{\partial v}\right)_T=\frac{R}{(v-b)}$$These equations imply that Cv depends only on T.
 
  • Like
Likes   Reactions: Astrocyte
TSny said:
So, although the second term in the result is negative, the overall expression must be positive.
I understood it. Thank you.
Temperature T is always positive and P is also positive. So, the integration must be positive.
In my result, the second term will be negative. But, the size of negative term is not big enough to exceed the first term.
I should check with graph.
 
Chestermiller said:
My analysis was based on the following equations for an arbitrary fluid:
$$ds=\left(\frac{\partial s}{\partial T}\right)_vdT+\left(\frac{\partial s}{\partial v}\right)_Tdv$$with $$\left(\frac{\partial s}{\partial T}\right)_v=\frac{C_v}{T}$$and$$\left(\frac{\partial s}{\partial v}\right)_T=\left(\frac{\partial P}{\partial T}\right)_v$$For a van der Waals gas, the latter equation reduces to:$$\left(\frac{\partial s}{\partial v}\right)_T=\frac{R}{(v-b)}$$These equations imply that Cv depends only on T.
Did you use The Maxwell relation? I know about the name. but I'm not learn about that yet.
But, I think the relation makes other problem very easy.
 
Astrocyte said:
Did you use The Maxwell relation?
Yes
 
  • Like
Likes   Reactions: Astrocyte

Similar threads

  • · Replies 5 ·
Replies
5
Views
1K
  • · Replies 10 ·
Replies
10
Views
23K
  • · Replies 67 ·
3
Replies
67
Views
4K
  • · Replies 2 ·
Replies
2
Views
2K
Replies
14
Views
1K
  • · Replies 3 ·
Replies
3
Views
4K
  • · Replies 8 ·
Replies
8
Views
2K
Replies
4
Views
2K
  • · Replies 8 ·
Replies
8
Views
2K
  • · Replies 6 ·
Replies
6
Views
3K