Is My Solution for Centripetal Force in a Spiral Orbit Correct?

Click For Summary

Homework Help Overview

The discussion revolves around determining the centripetal force required for a particle to maintain a logarithmic spiral orbit defined in polar coordinates. The original poster presents a mathematical expression related to the force as a function of the radial coordinate.

Discussion Character

  • Exploratory, Conceptual clarification, Mathematical reasoning

Approaches and Questions Raised

  • Participants explore the relationship between the force and the speed of the particle, questioning how the given formula relates to the motion in a circular path. There is a focus on understanding the implications of the provided equations and their correctness.

Discussion Status

Some participants express uncertainty about the correctness of the original poster's solution and seek verification. There is acknowledgment of a correction made to the formula, and while one participant suggests the solution appears correct, no consensus has been reached regarding its validity.

Contextual Notes

Participants are working within the constraints of the homework statement and the provided equations, which may influence their interpretations and discussions about the force in the context of the spiral orbit.

cemtu
Messages
99
Reaction score
7
Homework Statement
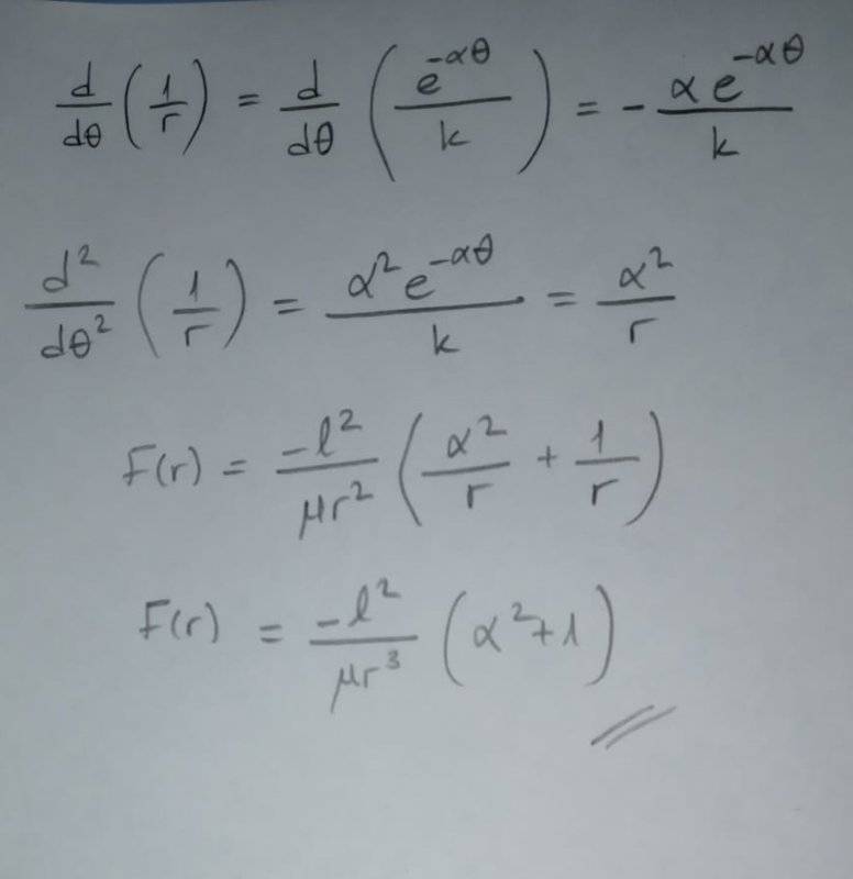
In polar coordinates find the force as a function of radial coordinate F(r) that allows a particle to move in logarithmic spiral orbit r=k*e^(α*θ) , where k and a are constants.
Relevant Equations
## \frac{d^2}{dθ^2}(1/r)+1/r=(-μr^2)⋅F(r)/l^2 ##
I believe I solved this. Is this solution true? Can please anyone just check?
 

Attachments

  • WhatsApp Image 2020-01-01 at 17.43.12.jpeg
    WhatsApp Image 2020-01-01 at 17.43.12.jpeg
    23.4 KB · Views: 250
Physics news on Phys.org
cemtu said:
Homework Statement:: In polar coordinates find the force as a function of radial coordinate F(r) that allows a particle to move in logarithmic spiral orbit r=k*e^(α*θ) , where k and a are constants.
Homework Equations:: ## \frac{d^2f}{dx^2}(1/r)+1/r=(-μr^2)⋅F(r)/l^2 ##

I believe I solved this. Is this solution true? Can please anyone just check?
The force must depend on the speed the particle is moving.
 
  • Like
Likes   Reactions: cemtu
PeroK said:
The force must depend on the speed the particle is moving.
what do you mean, sir? The formula(homework equation) is given like as I wrote up there.
 
cemtu said:
what do you mean, sir? The formula(homework equation) is given like as I wrote up there.

What is the force on an object moving in a circle? It depends on ##\dot \theta##.
 
  • Like
Likes   Reactions: cemtu
PeroK said:
What is the force on an object moving in a circle? It depends on ##\dot \theta##.
The formula has been corrected in the original post. Thank you!
 
cemtu said:
The formula has been corrected in the original post. Thank you!
It looks correct to me.
 

Similar threads

Replies
16
Views
953
  • · Replies 13 ·
Replies
13
Views
1K
  • · Replies 4 ·
Replies
4
Views
1K
  • · Replies 32 ·
2
Replies
32
Views
7K
Replies
2
Views
1K
Replies
3
Views
3K
Replies
55
Views
3K
  • · Replies 10 ·
Replies
10
Views
4K
  • · Replies 9 ·
Replies
9
Views
2K
Replies
12
Views
2K