Is reduction of order a simpler method for solving this integral?

  • Thread starter Thread starter VonWeber
  • Start date Start date
  • Tags Tags
    Integral
Click For Summary
SUMMARY

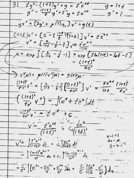
The discussion focuses on solving the differential equation ty'' - (1 + t)y' + y = (t^2)e^2t using two methods: reduction of order and variation of parameters. The solution derived from variation of parameters is y = 0.5te^2t - 0.5e^2t + ce^t + d(1 + t). However, the reduction of order method leads to complex integrals, specifically involving the expression (ue^u - e^u)/u^2, which complicates the solution process.

PREREQUISITES
  • Understanding of differential equations, specifically second-order linear equations.
  • Familiarity with the method of variation of parameters.
  • Knowledge of reduction of order technique for solving differential equations.
  • Proficiency in calculus, particularly integration techniques and the quotient rule.
NEXT STEPS
  • Study the method of variation of parameters in detail for solving linear differential equations.
  • Explore the reduction of order technique and its applications in solving differential equations.
  • Practice integration techniques, focusing on complex integrals involving exponential functions.
  • Review the quotient rule in calculus to enhance understanding of its application in differential equations.
USEFUL FOR

Mathematics students, educators, and professionals dealing with differential equations, particularly those interested in advanced solution techniques and integration methods.

VonWeber
Messages
52
Reaction score
0
The problem has ty'' - (1 + t)y' + y = (t^2)e^2t

y1 = 1 + t

Solve by reduction of order

When I solve by variation of parameters I get:

y = .5te^2t - .5e^2t + ce^t + d(1 + t)

But solving with reduction of order gives very difficult integrals
 

Attachments

  • HW31.jpg
    HW31.jpg
    58.5 KB · Views: 1,983
Physics news on Phys.org
Well I should have seen this one

(ue^u - e^u)/u^2 is a quotient rule.
 

Similar threads

  • · Replies 3 ·
Replies
3
Views
2K
  • · Replies 2 ·
Replies
2
Views
1K
  • · Replies 3 ·
Replies
3
Views
2K
  • · Replies 9 ·
Replies
9
Views
3K
  • · Replies 2 ·
Replies
2
Views
2K
  • · Replies 2 ·
Replies
2
Views
1K
Replies
2
Views
2K
  • · Replies 3 ·
Replies
3
Views
2K
  • · Replies 6 ·
Replies
6
Views
2K
  • · Replies 20 ·
Replies
20
Views
3K