Is the Work Done by a Variable Force Non-Conservative?

Click For Summary

Homework Help Overview

The discussion revolves around the work done by a variable force, specifically in the context of a force defined in terms of position coordinates related to an elliptical path. Participants are exploring the relationships between force, position, and the parameters involved in the integration process.

Discussion Character

  • Exploratory, Conceptual clarification, Mathematical reasoning, Problem interpretation, Assumption checking

Approaches and Questions Raised

  • Participants are attempting to express the force in terms of the parameters of the path and are questioning the correct representation of variables such as time and angle. There is also discussion on the integration process and the use of dummy variables in integrals.

Discussion Status

There is ongoing exploration of the relationships between the variables involved, with some participants providing guidance on the integration process and the representation of the force. Multiple interpretations of the parameters are being discussed, particularly regarding the use of θ and its relation to the path equations.

Contextual Notes

Some participants note the importance of maintaining the original problem statement and the implications of changing variable representations. There are constraints regarding the clarity of the problem setup, particularly in relation to the elliptical path and the definitions of the variables involved.

  • #31
That's worrying. If you do try that be careful not to use θ for both purposes. Either take the polar coordinates to be (r,φ) or change the given parameter from θ to t, say. I say it is worrying because it makes me wonder whether your teacher has blundered.
MatinSAR said:
Thank you but what do you mean by this ?! I didn't understand.

View attachment 317261
This one should be Theta ...
No, neither of them matches the given theta. The one you circled would give ##x=r\cos(\theta), y=r\sin(\theta), y/x=\tan(\theta)##. But you are given ##y/x= \frac 12\cot(\theta)##.
If you draw a line from the origin to a point half way along the horizontal dashed blue line, the angle between that and the y-axis is the given theta.
 
  • Like
Likes   Reactions: MatinSAR
Physics news on Phys.org
  • #32
Chestermiller said:
If you are going from A to C, the limits of integration are from ##\theta=0## to ##\theta = \frac{\pi}{2}##. From the equations for F and dr that I gave in post #16, what is the equation for F dotted with dr?
Is it true ?!
Untitled.png

kuruman said:
Forget ##\theta## as a variable. Try this. You have $$x=2a\sin\theta~;~~2y=2a\cos\theta.$$It follows that $$x^2+4y^2=4a^2 \implies xdx+4ydy=0 \implies dx=-\frac{4y}{x}dy$$ Now $$\mathbf{F}\cdot d\mathbf{r}=(x^2y~\mathbf{\hat x}+xy^2~\mathbf{\hat y})\cdot(dx~\mathbf{\hat x}+dy~\mathbf{\hat y})
=x^2ydx+xy^2dy.$$ Substitute the expression for ##dx## and integrate over ##y##.
Can I send a picture of my work ?! The final answer is unusual ...
 
  • #33
haruspex said:
That's worrying. If you do try that be careful not to use θ for both purposes. Either take the polar coordinates to be (r,φ) or change the given parameter from θ to t, say. I say it is worrying because it makes me wonder whether your teacher has blundered.

No, neither of them matches the given theta. The one you circled would give ##x=r\cos(\theta), y=r\sin(\theta), y/x=\tan(\theta)##. But you are given ##y/x= \frac 12\cot(\theta)##.
If you draw a line from the origin to a point half way along the horizontal dashed blue line, the angle between that and the y-axis is the given theta.
Thanks ...
Is it true ?!
1212.png
 
  • #34
MatinSAR said:
Can I send a picture of my work ?! The final answer is unusual ...
LaTeX is preferable, but if your work is too involved, you can post a picture as long as it is clearly legible and right side up. Use the "Attach files" link, lower left.
 
  • Like
Likes   Reactions: MatinSAR
  • #35
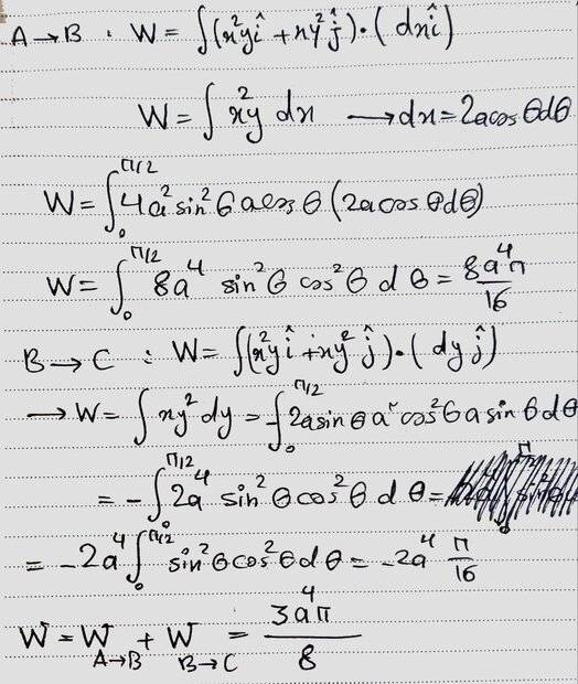
MatinSAR said:
Is it true ?!
View attachment 317282
I don't get the factor as 6. Did you handle the signs correctly? The rest looks fine.
 
  • Like
Likes   Reactions: MatinSAR
  • #36
kuruman said:
LaTeX is preferable, but if your work is too involved, you can post a picture as long as it is clearly legible and right side up. Use the "Attach files" link, lower left.
Thank you ... I have done it with a math editor.
 

Attachments

  • 1121212.png
    1121212.png
    8.8 KB · Views: 116
  • #37
haruspex said:
I don't get the factor as 6. Did you handle the signs correctly? The rest looks fine.
What about Theta ?! Did I specify theta correctly?
I get the factor 6 again ! Let me send a picture ...
 
  • #38
haruspex said:
I don't get the factor as 6. Did you handle the signs correctly? The rest looks fine.
 

Attachments

  • 1221.png
    1221.png
    10.9 KB · Views: 132
  • #39
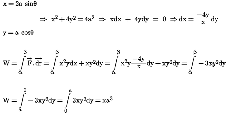
I'm getting what you are getting.

$$ \int 3 x y^2 dy = \int 3 \cdot y^2 \cdot 2 \sqrt{a^2 - y^2} dy $$

Let:

##\frac{y}{a} = \sin \beta##
## \frac{ \sqrt{a^2 - y^2} }{a} = \cos \beta##

It follows that

$$ y^2 = a^2 \sin^2 \beta$$
$$\sqrt{a^2 - y^2} = a \cos \beta$$
$$ dy = a \cos \beta d \beta$$

$$ \implies \int 3 x y^2 dy = 6 a^4 \int \sin^2 \beta \cos^2 \beta d \beta $$
 
Last edited:
  • Like
Likes   Reactions: MatinSAR
  • #40
haruspex said:
I don't get the factor as 6. Did you handle the signs correctly? The rest looks fine.
I also get a factor of 6, although I would never have done the math the way that he did it>
 
  • Like
Likes   Reactions: MatinSAR
  • #41
Chestermiller said:
I also get a factor of 6, although I would never have done the math the way that he did it>
Was it true ?!
What was wrong with the way I have done the math :rolleyes:
erobz said:
I'm getting what you are getting.

Can you please tell me what is your final answer ?!
 
  • #42
MatinSAR said:
Was it true ?!
What was wrong with the way I have done the math :rolleyes:

Can you please tell me what is your final answer ?!
I didn't do the integral!
 
  • Like
Likes   Reactions: MatinSAR
  • #43
Post your work, it will get checked by someone...
 
  • Like
Likes   Reactions: MatinSAR
  • #44
MatinSAR said:
What about Theta ?! Did I specify theta correctly?
I get the factor 6 again ! Let me send a picture ...
Yes, my mistake… I should have waited until I had the time to check properly.
 
  • Like
Likes   Reactions: MatinSAR
  • #45
erobz said:
Post your work, it will get checked by someone...
1668633876399.png
 
  • #46
MatinSAR said:
It is a line integral, not a double integral, so you must arrange that there is only one variable in the integrand. If you want to do it as an integral wrt y then you must first replace all the occurrences of x with what x is as a function of y.
But really, the parametric approach using theta is much easier.
 
  • Like
Likes   Reactions: MatinSAR and erobz
  • #47
  • Like
Likes   Reactions: MatinSAR
  • #48
haruspex said:
It is a line integral, not a double integral, so you must arrange that there is only one variable in the integrand. If you want to do it as an integral wrt y then you must first replace all the occurrences of x with what x is as a function of y.
But really, the parametric approach using theta is much easier.
So my answer is wrong , isn't it ?!
Thank you ... I will try to do it using parametric approach and I will send a picture of the work ...
erobz said:
Show the work. Explain how you get the last result?
Thank you ... I will try to do it using parametrich approach and I will send a picture of the work ...
 
  • Like
Likes   Reactions: erobz
  • #49
MatinSAR said:
I will try to do it using parametric approach
I'm confused. Isn’t that what you already did in post #32? Except that you did not perform the integral.
 
  • Like
Likes   Reactions: MatinSAR
  • #50
The integration is very simple. It just involves the use of trigonometric identities.$$(\sin{\theta}\cos{\theta})^2=\frac{\sin^2{2\theta}}{4}=\frac{1-\cos{4\theta}}{8}$$
 
Last edited:
  • Like
Likes   Reactions: MatinSAR
  • #51
MatinSAR said:
Hi @MatinSAR. Can I point out a fundamental mistake you are making? I don’t think anyone has mentioned it yet (apologies if they already have).

The final expression for W can not contain x or y (or θ). These are variables which change as you move along the path. They must disappear when the definite integral is evaluated.

You made the same mistake in your Post #1 solution, where your final expression for W contained x and y.

The expression for W can contains only given constants (here only the 'a') and pure numbers like 5, π and √2 (just picking random values as examples).

For example, if you determine the formula for the circumference of a circle, x²+y²=a², it wouldn’t make sense to have x and/or y in the final formula.
 
  • Like
Likes   Reactions: MatinSAR
  • #52
haruspex said:
I'm confused. Isn’t that what you already did in post #32? Except that you did not perform the integral.
Yes. It was unfinished.
Chestermiller said:
The integration is very simple. It just involves the use of trigonometric identities.$$(\sin{\theta}\cos{\theta})^2=\frac{\sin^2{2\theta}}{4}=\frac{1-\cos{4\theta}}{8}$$
Thank you.
Steve4Physics said:
Hi @MatinSAR. Can I point out a fundamental mistake you are making? I don’t think anyone has mentioned it yet (apologies if they already have).

The final expression for W can not contain x or y (or θ). These are variables which change as you move along the path. They must disappear when the definite integral is evaluated.

You made the same mistake in your Post #1 solution, where your final expression for W contained x and y.

The expression for W can contains only given constants (here only the 'a') and pure numbers like 5, π and √2 (just picking random values as examples).

For example, if you determine the formula for the circumference of a circle, x²+y²=a², it wouldn’t make sense to have x and/or y in the final formula.
Thank you ... I didn't know about this.
 
  • Like
Likes   Reactions: Steve4Physics
  • #53
I hope it's finally true ...
photo_2022-11-17_10-20-59.jpg
The force is conserative so If I choose another path the final answer shouldn't change, Is it true ?!
 
  • #54
MatinSAR said:
The force is conserative
Is it? What do you get if you integrate from 0 to 2π?

I agree with your answer.
 
  • Like
Likes   Reactions: MatinSAR
  • #55
haruspex said:
Is it?
It was mentioned in question.
haruspex said:
I agree with your answer.
Thank you.
 
  • #56
haruspex said:
.
Steve4Physics said:
.
Chestermiller said:
.
erobz said:
.
kuruman said:
.
Mister T said:
.
I hope I haven't forgotten anyone.

Thank you for your help and time.
🙏🙏🙏
 
  • Like
Likes   Reactions: erobz
  • #57
MatinSAR said:
It was mentioned in question.
Try the path along the axes. Isn't F always zero there?
 
  • Like
Likes   Reactions: MatinSAR
  • #58
haruspex said:
Try the path along the axes. Isn't F always zero there?
No it's not.
 

Attachments

  • 1212.jpg
    1212.jpg
    61.3 KB · Views: 120
  • #59
MatinSAR said:
No it's not.
Oh yes it is! (If you familiar with British pantomime.)

Can I expand on what @haruspex said in Post #57?

Referring to the Post #21 diagram, suppose you take the following route:
- from A(0,a), move along the y-axis to the origin (0,0);
- from the origin (0,0) move along the x-axis to C(2a,0).

##\vec F = x^2y~\hat i + xy^2 \hat~j##

While moving along the y-axis (x=0); both components of ##\vec F## are zero.
Similarly while moving along the x-axis.

The total work done along this path is therefore zero. This is different to your calculated value for the original route from A to C.

So you can see (without doing any maths) that the force is not conservative.
 
  • Like
Likes   Reactions: MatinSAR
  • #60
Steve4Physics said:
Referring to the Post #21 diagram, suppose you take the following route:
- from A(0,a), move along the y-axis to the origin (0,0);
- from the origin (0,0) move along the x-axis to C(2a,0).
Great !
So it's not conserative ...
Thank you.
 

Similar threads

  • · Replies 7 ·
Replies
7
Views
3K
  • · Replies 8 ·
Replies
8
Views
985
  • · Replies 4 ·
Replies
4
Views
2K
  • · Replies 8 ·
Replies
8
Views
4K
Replies
29
Views
3K
  • · Replies 2 ·
Replies
2
Views
868
  • · Replies 19 ·
Replies
19
Views
1K
Replies
9
Views
993
Replies
4
Views
3K
  • · Replies 11 ·
Replies
11
Views
2K