Is this expression for Mass Flowing Out of a Bottle correct?

Click For Summary
SUMMARY

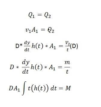
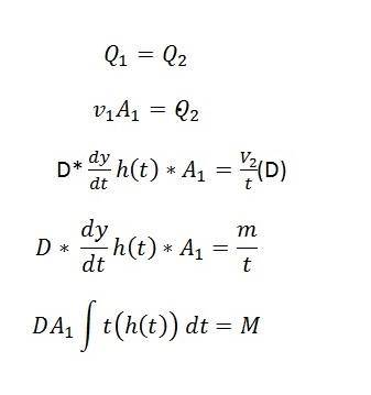
The discussion centers on the calculation of mass flow from an opened bottle using the expression for mass "M". The user proposes the formula M = D * A1 * (h(0) - h(t)), where A1 is the cross-sectional area of the bottle, D is the fluid density, and h(t) is the height of the fluid at time t. The formula is confirmed as correct for determining the mass of fluid that has exited the bottle based on the initial height h(0) and the current height h(t).

PREREQUISITES
  • Understanding of fluid dynamics principles
  • Knowledge of numerical methods for solving differential equations
  • Familiarity with basic calculus concepts
  • Experience with sensor data acquisition
NEXT STEPS
  • Research fluid dynamics equations related to mass flow rates
  • Explore numerical methods for solving differential equations in MATLAB or Python
  • Learn about sensor integration for real-time data collection
  • Study the effects of fluid density variations on mass flow calculations
USEFUL FOR

Engineers, physicists, and researchers involved in fluid mechanics, as well as developers implementing numerical simulations for fluid flow analysis.

JorgeM
Messages
30
Reaction score
6
Hello there, I am going to implement a numerical method to solve how much Mass of a fluid has gone out of an opened bottle. I am going to get h(t) with some sensors but I am not sure if this expression for Mass gone out "M" is correct.
The area of the bottle at the up part. A1
The density of the fluid is D
The position Y of the fluid at the top is given by h(t)
33035538_813439768846708_3214039197144842240_n.jpg

What do you think?
Thanks a lot
 

Attachments

  • 33035538_813439768846708_3214039197144842240_n.jpg
    33035538_813439768846708_3214039197144842240_n.jpg
    8.5 KB · Views: 943
Last edited by a moderator:
Physics news on Phys.org
JorgeM said:
Hello there, I am going to implement a numerical method to solve how much Mass of a fluid has gone out of an opened bottle. I am going to get h(t) with some sensors but I am not sure if this expression for Mass gone out "M" is correct.
The area of the bottle at the up part. A1
The density of the fluid is D
The position Y of the fluid at the top is given by h(t)
View attachment 226013
What do you think?
Thanks a lot
Should’t It just be ##DA_1(h(0)-h(t))##?
 
  • Like
Likes   Reactions: JorgeM

Similar threads

  • · Replies 6 ·
Replies
6
Views
2K
  • · Replies 14 ·
Replies
14
Views
2K
  • · Replies 3 ·
Replies
3
Views
1K
  • · Replies 10 ·
Replies
10
Views
4K
  • · Replies 13 ·
Replies
13
Views
2K
  • · Replies 131 ·
5
Replies
131
Views
9K
Replies
0
Views
3K
  • · Replies 11 ·
Replies
11
Views
4K
  • · Replies 3 ·
Replies
3
Views
3K
  • · Replies 5 ·
Replies
5
Views
3K