Is this manipulation "evil" or simply not intuitive due to unfamiliarity?

Click For Summary

Homework Help Overview

The discussion revolves around the challenges of performing substitutions in integral calculus, particularly focusing on indefinite and definite integrals. Participants express their struggles with the logical reasoning behind certain manipulations and the familiarity required to apply them effectively.

Discussion Character

  • Exploratory, Conceptual clarification, Assumption checking

Approaches and Questions Raised

  • Participants discuss the difficulty of arriving at certain substitutions logically and question whether this stems from a lack of practice. There are inquiries about whether to list substitutions as they arise or to internalize them through practice. The role of limits in definite integrals is also explored, with suggestions to consider how transformations affect these limits.

Discussion Status

Some participants have offered insights into the nature of substitutions and the importance of practice. There is an ongoing exploration of how to approach integral problems, particularly regarding the transformation of limits and the types of substitutions that may be necessary. Multiple interpretations of the problem and approaches are being discussed without a clear consensus.

Contextual Notes

Participants note specific limits associated with the beta function and the integral in question, highlighting the need for appropriate substitutions to achieve desired transformations. There is mention of a reference to a source that discusses linear fractional transformations relevant to the problem context.

JC2000
Messages
186
Reaction score
16
Homework Statement
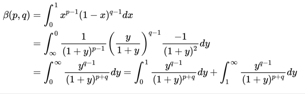
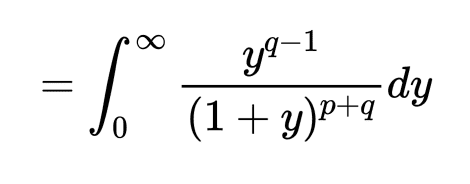
Show that :
$$
\beta(p, q)=\int_{0}^{\infty} \frac{y^{q-1}}{(1+y)^{p+q}} d y
$$
Relevant Equations
The Beta Function :

$$
\beta(m, n)=\int_{0}^{1} x^{m-1}(1-x)^{n-1} d x
$$
The solution is as follows :
Screenshot 2020-06-09 at 9.11.35 PM.png

Screenshot 2020-06-09 at 9.12.16 PM.png
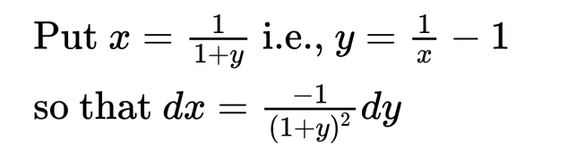
The substitution is what nags me , which is as follows :
Screenshot 2020-06-09 at 9.08.07 PM.png

This substitution "trick" to me seems impossibly difficult to arrive at "logically" without pretty much reverse engineering the problem.
So is this simply a lack of practice/ familiarisation showing ? I feel like I have always struggled with similar manipulations. In the past I think it was through repeatedly encountering a certain peculiar manipulation that it would become second nature for me. Is this how such problems are to be approached? Since it seems to almost be the same as memorising the solution!

Thank you for your insight!
 

Attachments

  • Screenshot 2020-06-09 at 9.07.24 PM.png
    Screenshot 2020-06-09 at 9.07.24 PM.png
    13.7 KB · Views: 202
  • Like
Likes   Reactions: etotheipi
Physics news on Phys.org
Substitutions for indefinite integrals can be tricky and you pretty much have to learn them, however for definite integrals the question gives you a big clue - look at the limits.
 
  • Like
Likes   Reactions: JC2000 and PeroK
pbuk said:
Substitutions for indefinite integrals can be tricky and you pretty much have to learn them, however for definite integrals the question gives you a big clue - look at the limits.

For indefinite integrals do you mean I should start listing the substitutions once they ambush me or is it fine to internalise them by practicing often?

So for this integral since the beta function has limits 0 and 1 while the question has limits 0 and infinity, I must search for a substitution whereby the desired transformation of limits is achieved (?)

Thanks for the input!
 
JC2000 said:
For indefinite integrals do you mean I should start listing the substitutions once they ambush me or is it fine to internalise them by practicing often?
Practice, practice, practice :smile:
JC2000 said:
So for this integral since the beta function has limits 0 and 1 while the question has limits 0 and infinity, I must search for a substitution whereby the desired transformation of limits is achieved (?)
Yes - if you see ## \infty ## on one side of the transformation you know you are looking for a substitution where one limit goes to 1/0, if you see ## \pi ## on one side only you are looking for a trigonometric substitution etc. Don't forget to consider (as in this case) that the transformation might 'swap' the upper and lower limit.
 
  • Like
Likes   Reactions: JC2000
This tip is on pg. 76 of Special Functions by Askey, Andrews, and Roy in the chapter on hypergeometric functions:

There are six linear fractional transformations that will map a set of three points to a permutation of the three points. For example, the set ##\left\{ 0,1,\infty\right\}## will be mapped to itself by the mappings

$$x\rightarrow \, x, \, 1-x, \, \tfrac{1}{x} , \, \tfrac{1}{1-x} , \, 1-\tfrac{1}{x} = \tfrac{x-1}{x} , \, \tfrac{1}{1-\tfrac{1}{x}} = \tfrac{x}{x-1}$$
 
Last edited:
  • Like
Likes   Reactions: etotheipi and JC2000

Similar threads

  • · Replies 7 ·
Replies
7
Views
2K
  • · Replies 179 ·
6
Replies
179
Views
29K
  • · Replies 4 ·
Replies
4
Views
2K
  • · Replies 5 ·
Replies
5
Views
3K
  • · Replies 3 ·
Replies
3
Views
4K
  • · Replies 32 ·
2
Replies
32
Views
7K
  • · Replies 10 ·
Replies
10
Views
6K
  • · Replies 1 ·
Replies
1
Views
3K
Replies
6
Views
5K
  • · Replies 1 ·
Replies
1
Views
3K