IVP problem using Laplace transform and partial fractions

Click For Summary
SUMMARY

The discussion focuses on the partial fraction decomposition of the expression ##\frac{2}{s^4(s^2 + 1)}##. The correct decomposition is identified as ##\frac{2}{s^4(s^2 + 1)} = \frac{A}{s} + \frac{B}{s^2} + \frac{C}{s^3} + \frac{D}{s^4} + \frac{Es + F}{s^2 + 1}##, correcting the initial misunderstanding regarding the numerators associated with the irreducible quadratic factors. The discussion emphasizes the importance of accurately applying the method for repeated linear factors and their powers in Laplace transforms.

PREREQUISITES
  • Understanding of Laplace transforms
  • Familiarity with partial fraction decomposition
  • Knowledge of algebraic manipulation techniques
  • Experience with polynomial factorization
NEXT STEPS
  • Study the method of partial fraction decomposition in detail
  • Learn about Laplace transform properties and applications
  • Practice solving differential equations using Laplace transforms
  • Explore examples of repeated linear factors in Laplace transforms
USEFUL FOR

Students studying differential equations, engineers applying Laplace transforms, and anyone seeking to enhance their understanding of partial fraction decomposition in mathematical analysis.

member 731016
Homework Statement
please see below
Relevant Equations
Please see below
For this problem,
1717973011624.png

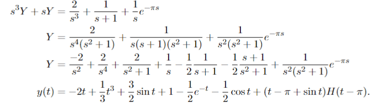
The solution is,
1717973072290.png

However, I'm confused by the partial fraction decomposition of ##\frac{2}{s^4(s^2 + 1)}##

I never done that sort of thing before. However, I think it would be done like this (Please correct me if I am wrong, the algebra is crazy here).

##\frac{2}{s^4(s^2 + 1)} = \frac{A}{s} + \frac{Bs + C}{s^2} + \frac{Ds^2 + Es + F}{s^3} + \frac{Gs^3 + Hs^2 + Js + K}{s^4} + \frac{Ls + M}{s^2 + 1}##

It seems rather tedious because of the ##\frac{1}{s^4}##, but is that correct (There may be a simpler method but I can't see it).

Thanks!
 
Physics news on Phys.org
ChiralSuperfields said:
Homework Statement: please see below
Relevant Equations: Please see below

For this problem,
View attachment 346713
The solution is,
View attachment 346714
However, I'm confused by the partial fraction decomposition of ##\frac{2}{s^4(s^2 + 1)}##

I never done that sort of thing before. However, I think it would be done like this (Please correct me if I am wrong, the algebra is crazy here).

##\frac{2}{s^4(s^2 + 1)} = \frac{A}{s} + \frac{Bs + C}{s^2} + \frac{Ds^2 + Es + F}{s^3} + \frac{Gs^3 + Hs^2 + Js + K}{s^4} + \frac{Ls + M}{s^2 + 1}##
No, that isn't right. For repeated linear factors and their powers (i.e., ##s, s^2, s^3, s^4##), the decomposition would look like this:
##\frac{2}{s^4(s^2 + 1)} = \frac{A}{s} + \frac{B}{s^2} + \frac{C}{s^3} + \frac{D}{s^4} + \frac{Es + F}{s^2 + 1}##.
The ##As + B## numerators would go with irreducible quadratic factors, such as the ##s^2 + 1## factor in the denominator.
ChiralSuperfields said:
It seems rather tedious because of the ##\frac{1}{s^4}##, but is that correct (There may be a simpler method but I can't see it).

Thanks!
 
  • Love
Likes   Reactions: member 731016

Similar threads

Replies
9
Views
3K
  • · Replies 6 ·
Replies
6
Views
1K
  • · Replies 8 ·
Replies
8
Views
1K
  • · Replies 1 ·
Replies
1
Views
1K
  • · Replies 7 ·
Replies
7
Views
2K
Replies
3
Views
2K
  • · Replies 4 ·
Replies
4
Views
2K
  • · Replies 2 ·
Replies
2
Views
2K
  • · Replies 1 ·
Replies
1
Views
1K
Replies
5
Views
2K