Jordan Forms and Eigenproblems

  • Thread starter Thread starter shaon0
  • Start date Start date
  • Tags Tags
    Forms
Click For Summary

Homework Help Overview

The discussion revolves around Jordan forms and eigenproblems, specifically focusing on constructing Jordan normal forms and understanding generalized eigenvectors in the context of linear algebra.

Discussion Character

  • Exploratory, Conceptual clarification, Mathematical reasoning

Approaches and Questions Raised

  • Participants discuss the construction of chain diagrams and the process of finding generalized eigenvectors. Questions arise regarding the identification of eigenvalues and the relationship between eigenvectors and generalized eigenvectors.

Discussion Status

Participants are actively engaging with the problem, clarifying concepts related to Jordan normal forms and eigenvalues. Some guidance has been offered regarding the definitions and roles of generalized eigenvectors, though there is still uncertainty about specific steps and interpretations.

Contextual Notes

There is mention of a typo in the eigenvalue identification, and participants are exploring the implications of the trace of matrix B on their findings. The discussion also highlights the need for a deeper understanding of generalized eigenvectors as a prerequisite for solving part (a) of the problem.

shaon0
Messages
48
Reaction score
0

Homework Statement


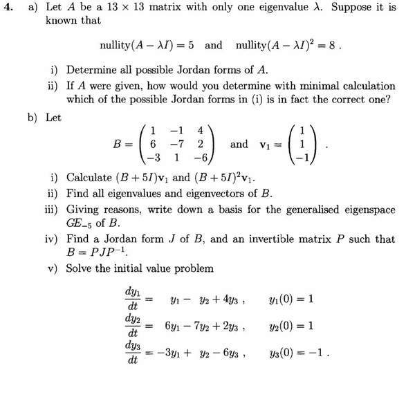
See attachment.

The Attempt at a Solution


In a) ii); The use of a chain diagram is required but I have no idea how to produce one. As for i); I have no idea how to do this.

In b); (B+5I)v=(1,2,-1) and (B+5I)^2v=0. The eigenvalues are 5 (with multiplicity 2) and 2 (w/ AM of 1). Eigenvectors are (-1,-2,-1) and (-2,-2,1). For iii); I row reduced (B+5I) to get basis of {(0,1,2);(3,-1,1)} but I'm not sure that this is the way to go. I'm completely lost with iv) as I can't get P or J. But i'd think P contains the eigenvectors on the columns and J can be deduced from here by solving. I think v) I can do.
 

Attachments

  • Eigenproblem.jpg
    Eigenproblem.jpg
    34.2 KB · Views: 511
Physics news on Phys.org
Hi shaon0!

Not really sure what a chain diagram is.
Sounds like a nifty way to construct the generalized eigenvectors.

As for (a), how much do you know about constructing Jordan normal forms, and about constructing generalized eigenvectors?

For (b) you need to consider that (B+5I)^2v=0, which makes v a generalized eigenvector, and it makes v1=(B+5I)v a regular eigenvector.

How did you find the eigenvalue 2?
Actually, it should be -2.
Did you deduce it based on the trace of matrix B?

The matrix J is the Jordan normal form related to your 2 eigenvalues, for which you get 2 blocks.
Do you know how to define the blocks?
The matrix P is the matrix of the 3 generalized eigenvectors.
 
I like Serena said:
Hi shaon0!

Not really sure what a chain diagram is.
Sounds like a nifty way to construct the generalized eigenvectors.

As for (a), how much do you know about constructing Jordan normal forms, and about constructing generalized eigenvectors?

For (b) you need to consider that (B+5I)^2v=0, which makes v a generalized eigenvector, and it makes v1=(B+5I)v a regular eigenvector.

How did you find the eigenvalue 2?
Actually, it should be -2.
Did you deduce it based on the trace of matrix B?

The matrix J is the Jordan normal form related to your 2 eigenvalues, for which you get 2 blocks.
Do you know how to define the blocks?
The matrix P is the matrix of the 3 generalized eigenvectors.

Yes, sorry -2 is the other eigenvalue. It was a typo and yes i used the trace. J2(5)oJ1(-2) is the jordan form. Which I realize now. I'm not sure how to find the generalised eigenvectors. Are the three eigenvectors I have found, the generalised ones? What makes an eigenvector generalised?
 
shaon0 said:
Yes, sorry -2 is the other eigenvalue. It was a typo and yes i used the trace. J2(5)oJ1(-2) is the jordan form. Which I realize now. I'm not sure how to find the generalised eigenvectors. Are the three eigenvectors I have found, the generalised ones? What makes an eigenvector generalised?

Good!
And yes, the three vectors you found are the generalized eigenvectors.
Note that one of them is not an eigenvector.

The generalized eigenvectors are also the vectors that are not eigenvectors themselves, but that are a sort of 2nd or higher order eigenvectors.
That is, you find them from (B-λI)r=0, where r is the order of 2 or higher.

The matrix P is the matrix with the generalized eigenvectors as columns.

Take a look at this wiki page:
http://en.wikipedia.org/wiki/Jordan_normal_form
It explains in more detail what generalized eigenvectors are and how you find them.
 
I like Serena said:
Good!
And yes, the three vectors you found are the generalized eigenvectors.
Note that one of them is not an eigenvector.

The generalized eigenvectors are also the vectors that are not eigenvectors themselves, but that are a sort of 2nd or higher order eigenvectors.
That is, you find them from (B-λI)r=0, where r is the order of 2 or higher.

The matrix P is the matrix with the generalized eigenvectors as columns.

Take a look at this wiki page:
http://en.wikipedia.org/wiki/Jordan_normal_form
It explains in more detail what generalized eigenvectors are and how you find them.

Oh ok, right I've got it. Your explanations are very clear. Hopefully now I'll pass my linear algebra exam. Thanks again.
 
shaon0 said:
Oh ok, right I've got it. Your explanations are very clear. Hopefully now I'll pass my linear algebra exam. Thanks again.

So can you solve (a) now?

(Since understanding about generalized eigenvectors is a prerequisite for it. :wink:)
 

Similar threads

  • · Replies 3 ·
Replies
3
Views
2K
Replies
5
Views
2K
  • · Replies 2 ·
Replies
2
Views
2K
  • · Replies 4 ·
Replies
4
Views
2K
  • · Replies 1 ·
Replies
1
Views
2K
  • · Replies 10 ·
Replies
10
Views
3K
  • · Replies 5 ·
Replies
5
Views
4K
  • · Replies 10 ·
Replies
10
Views
3K
  • · Replies 2 ·
Replies
2
Views
2K
  • · Replies 1 ·
Replies
1
Views
2K