(Kleppner/Kolenkow) Missing Diagram?

  • Thread starter Thread starter Cosmophile
  • Start date Start date
  • Tags Tags
    Diagram
Click For Summary

Discussion Overview

The discussion revolves around a potential missing diagram in the first edition of Kleppner and Kolenkow's physics textbook. Participants explore the implications of this missing diagram on understanding a specific equation related to angular displacement and vector changes.

Discussion Character

  • Exploratory
  • Technical explanation
  • Debate/contested
  • Mathematical reasoning

Main Points Raised

  • One participant notes a reference to a diagram on page 26 that seems to be missing, which is crucial for understanding the equation involving the angle Δθ.
  • Another participant expresses uncertainty about their geometry skills and suggests they could derive a diagram with more experience.
  • A later reply indicates that the original poster has figured out what the diagram should look like, suggesting a resolution to their initial confusion.
  • Another participant shares a similar issue, questioning the origins of the factors in the equation and proposing a different approach using a triangle formed by vectors.
  • One participant provides a diagram and equations, clarifying that ΔA represents the length of an arc, although they acknowledge a mistake in their initial understanding.
  • Another participant reflects on the validity of their own diagram, which dealt only with the angle θ, suggesting that multiple approaches may be acceptable.
  • A further contribution discusses how the length of an arc relates to the angle and reinforces the necessity of the sine function in the context of small angles.

Areas of Agreement / Disagreement

Participants express varying levels of understanding regarding the missing diagram and the associated equations. While some have resolved their confusion, others continue to seek clarification, indicating that multiple competing views and approaches remain in the discussion.

Contextual Notes

There are unresolved questions about the specific geometric interpretations and the derivation of the factors in the equations presented. The discussion reflects a reliance on visual representations that are not universally agreed upon.

Cosmophile
Messages
111
Reaction score
2
Hello! I'm working my way through K&K (First Edition) and have encountered a slight dilemma. On page 26, I believe there may be a missing diagram. There is a reference made to a diagram which reads:

Using the angle Δθ defined in the sketch,

[tex]\left |\Delta A \right |=2A sin \frac{\Delta \theta}{2}[/tex]

Unfortunately, I do not see the sketch they are referring to, and there is quite a large blank space on the page between the first diagram and the other two. I'd really hate to miss out on anything in this first chapter, as it seems to really be establishing the fundamental understandings I'll need going forward. Any help here is greatly appreciated.
 
Physics news on Phys.org
Mind you all, my geometry isn't too great; I imagine I could probably derive an appropriate diagram myself if I had more experience with Geometry.
 
Update: I sat back down and almost immediately realized what the diagram should look like. Hooray!
 
I am having precisely the same issue, though I am not seeing exactly what the diagram should look like. I am having trouble seeing where the ## 2A ## and the ## \frac{\Delta \theta}{2} ## specifically are coming from. I seemed to easily be able to do the same problem by using a diagram representing a triangle formed by the vectors ## \Delta \boldsymbol A = \boldsymbol A(t + \Delta t) - \boldsymbol A(t) ##, with ## \Delta \theta ## as the angle between ## \boldsymbol A(t) ## and ## \boldsymbol A(t + \Delta t) ##. Would you be able to explain where the factors of 2 are coming into play?
 
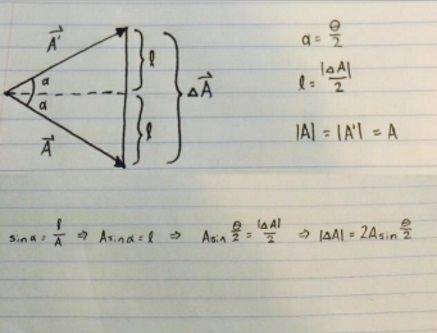
I had to dig around for it, but here is what I came up with (I edited the picture to include the diagram and the equations):
be044a2cf6.jpg


In case you can't read the text at the bottom:

[tex]\sin \alpha = \frac {l}{A} \Longrightarrow A \sin \alpha = l[/tex]

[tex]\Longrightarrow A \sin \frac {\theta}{2} = \frac {|\Delta A|}{2} \to |\Delta A| = 2A \sin \frac {\theta}{2}[/tex]

However, it is important to note that ##\Delta A## is actually the length of the arc (not shown in my diagram) and not the length shown here. That was a mistake on my part.
 
Alrighty, so it seems that it is largely in just the way that the diagram is made. The diagram that I constructed was pretty much the same, save the fact that I only dealt with the angle ## \theta ##. It seems to be valid either way. Thank you so much for your help! I was worried that there was something I was completely missing.
 
Sure thing. I'm glad I could help. In case you, or anyone else who stumbles upon this, I think this may be a better way of depicting the situation:

If my diagram was drawn in such a way that ##\Delta A## was the length of the arc, and recalling that the length of an arc ##S = r \theta## we would have
[tex]S = r \theta \Longrightarrow = 2|A| \frac {\Delta \theta}{2} \Longrightarrow \Delta A = |A| \Delta \theta[/tex]

The ##2A \sin \frac {\Delta \theta}{2}## is necessary, as they reference the fact that for ##\Delta \theta \ll 1, \sin \frac {\Delta \theta}{2} \simeq \frac {\Delta \theta}{2}##.
 

Similar threads

Replies
4
Views
3K
  • · Replies 8 ·
Replies
8
Views
6K
Replies
2
Views
1K
  • · Replies 4 ·
Replies
4
Views
2K
  • · Replies 12 ·
Replies
12
Views
2K
  • · Replies 3 ·
Replies
3
Views
979
Replies
24
Views
8K
Replies
12
Views
6K
  • · Replies 32 ·
2
Replies
32
Views
7K
  • · Replies 1 ·
Replies
1
Views
3K