Lagrange Multipliers in Classical Mechanics - exercise 1

Click For Summary

Homework Help Overview

The problem involves a skier skiing down a mountain without friction, with the skier's altitude described as a function of horizontal distance. The task includes calculating constraint forces and proving a condition related to the concavity of the altitude function at a specific point using Lagrange multipliers.

Discussion Character

  • Exploratory, Conceptual clarification, Mathematical reasoning

Approaches and Questions Raised

  • Participants discuss the setup of the constraint equation and the application of Lagrange multipliers. There are questions about the correctness of specific equations and the relationship between the skier's motion and energy considerations.

Discussion Status

Some participants have provided feedback on the original poster's attempts, suggesting that the constraint equation is correctly set up. There is ongoing clarification about the implications of the skier detaching from the slope and the conditions that must be met regarding the second derivative of the altitude function.

Contextual Notes

The original poster expresses feelings of being lost due to gaps in knowledge compared to peers, which may influence their approach to the problem. There is a mention of homework standards regarding the submission format, emphasizing the need for typed work over images.

mcaay
Messages
7
Reaction score
0

Homework Statement


The skier is skiing without friction down the mountain, being all the time in a specified plane. The skier's altitude y(x) is described as a certain defined function of parameter x, which stands for the horizontal distance of the skier from the initial position. The skier is subjected to gravity g = -g ey.

a) Calculate forces of constraint in relation to x.
b) Prove that if the skier can detach from the mountain at a point with horizontal value xod, then y''(xod) < 0, i.e. function y(x) is concave in this point.

Use first kind Lagrange equations (Lagrange multipliers).

Homework Equations



The Attempt at a Solution


20171117_234623.jpg


To be honest I am completely lost. This is so abstract with not even a function given that I don't know how to specify the initial constraint equation. Normally there would be y and x in it, so I wrote f(x,y) = y - y(x) = 0, which feels weird ...

I wrote the Lagrange equations based on that weird constraint, but even if that would be good I have no idea how to get Lambda from that :(

I started doing masters in physics after finishing bachelor in mechatronics, and compared to physics students I have huge gaps in knowledge (even though classical mechanics is a 2nd year subject here).
 

Attachments

  • 20171117_234623.jpg
    20171117_234623.jpg
    34.5 KB · Views: 910
Physics news on Phys.org
Hello.

It is preferable to type in your work rather than post pictures of your work. That way, it is much easier for helpers to quote specific parts of your work. (Posting pictures of diagrams is fine.)

I think you are on the right track, overall. The way you set up the constraint equation as ##f(x, y) = y - y(x) = 0## looks correct.

However, the equation circled below is not correct

upload_2017-11-18_15-53-49.png
 

Attachments

  • upload_2017-11-18_15-53-49.png
    upload_2017-11-18_15-53-49.png
    8.2 KB · Views: 656
  • Like
Likes   Reactions: mcaay
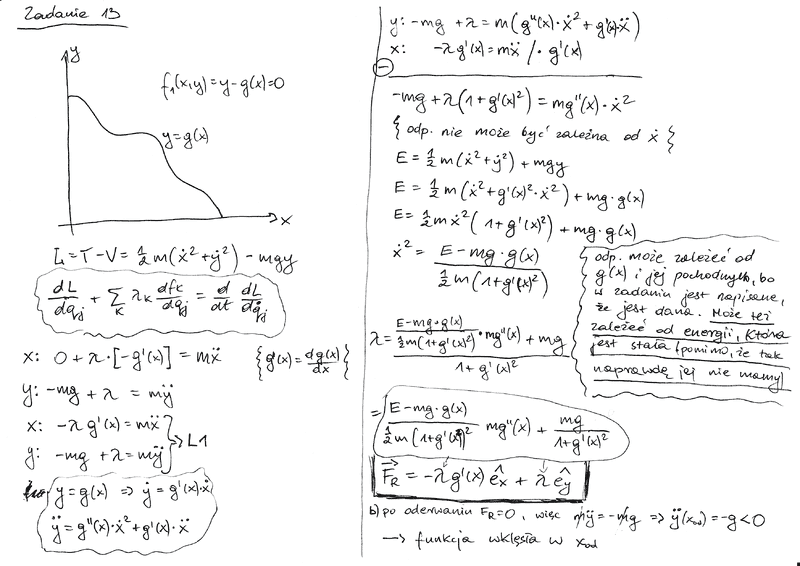
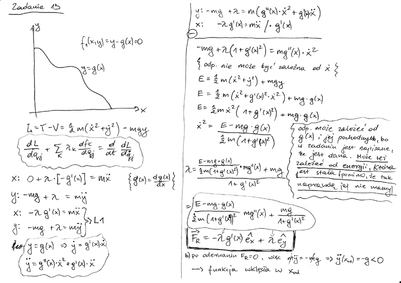
Hey, sorry for not responding immediately. Thanks for the tips, I think now I got it right, so I'll upload it for people who might lurk in this thread.

Sorry for the Polish comments, I wrote that the answer can not depend on dx/dt, but it can depend on Energy which is constant and on derivatives of g(x).
And in b) that when the skier detaches from the slope - there are no reaction forces, so my'' = -mg

Zad 13.png
 

Attachments

  • Zad 13.png
    Zad 13.png
    44.8 KB · Views: 1,320
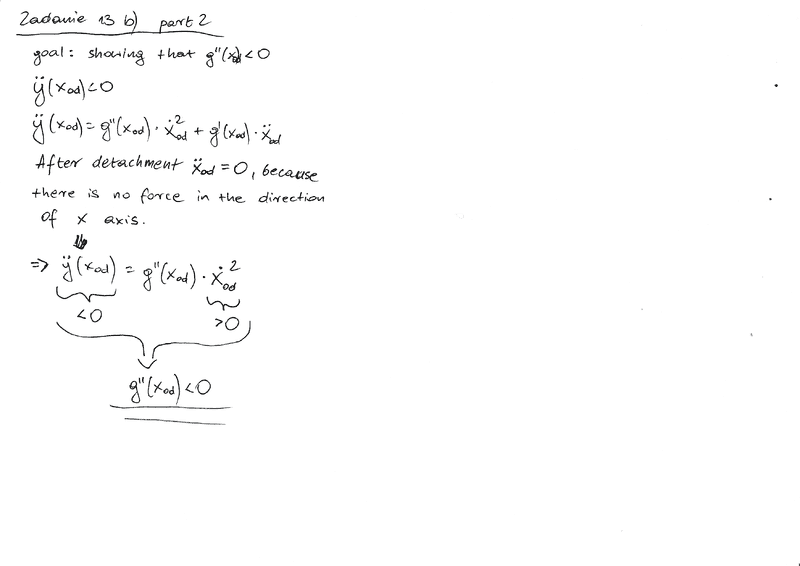
OK. Part (a) looks good to me. For (b) you showed that ##\ddot y(x_{od}) < 0##. Did you show that ##y''(x_{od}) < 0## ?
 
  • Like
Likes   Reactions: mcaay
Oh damn! Thanks for lettng me realize it's not the same :p
 
This should do I think

Zad 13_2.png
 

Attachments

  • Zad 13_2.png
    Zad 13_2.png
    11.8 KB · Views: 636
Yes. Or you could let ##\lambda = 0## in
upload_2017-11-26_11-39-54.png
 

Attachments

  • upload_2017-11-26_11-39-54.png
    upload_2017-11-26_11-39-54.png
    1.8 KB · Views: 558
  • Like
Likes   Reactions: mcaay
mcaay said:
Hey, sorry for not responding immediately. Thanks for the tips, I think now I got it right, so I'll upload it for people who might lurk in this thread.

Sorry for the Polish comments, I wrote that the answer can not depend on dx/dt, but it can depend on Energy which is constant and on derivatives of g(x).
And in b) that when the skier detaches from the slope - there are no reaction forces, so my'' = -mg

View attachment 215647
STOP posting images---it is against PF standards. Do what others have done: take the time and effort to type it out.
 
  • Like
Likes   Reactions: Orodruin

Similar threads

  • · Replies 6 ·
Replies
6
Views
4K
  • · Replies 8 ·
Replies
8
Views
2K
  • · Replies 16 ·
Replies
16
Views
3K
Replies
1
Views
2K
  • · Replies 1 ·
Replies
1
Views
2K
Replies
3
Views
2K
  • · Replies 16 ·
Replies
16
Views
3K
  • · Replies 19 ·
Replies
19
Views
3K
  • · Replies 7 ·
Replies
7
Views
2K
  • · Replies 9 ·
Replies
9
Views
2K