Laplace transform of the given circuit

Click For Summary

Discussion Overview

The discussion revolves around finding the Laplace transform of a given circuit and subsequently inverting it back to the time domain. Participants are seeking assistance with the analysis of the circuit using Laplace transforms, which is a topic related to homework and circuit analysis techniques.

Discussion Character

  • Homework-related
  • Technical explanation
  • Mathematical reasoning

Main Points Raised

  • One participant requests help in understanding how to analyze the circuit using Laplace transforms.
  • Another participant emphasizes the importance of showing their work to receive effective assistance.
  • A participant expresses uncertainty about how to start the problem and asks for hints to guide their approach.
  • Guidelines are referenced, suggesting that participants should develop their problem-solving skills independently before seeking help.
  • There are suggestions for improving clarity in communication, such as typing work directly into the forum and using LaTeX for equations.
  • A proposed solution approach involves converting circuit components into their Laplace domain equivalents and applying a circuit analysis method like mesh analysis or node voltage method.
  • A participant shares their mesh analysis equations, seeking validation of their approach and calculations.

Areas of Agreement / Disagreement

Participants generally agree on the need for clarity in presenting work and the importance of independent problem-solving. However, there is no consensus on the correctness of the proposed equations or the specific steps to take in the analysis, as some participants are still uncertain about their understanding of the material.

Contextual Notes

Some participants express confusion regarding the application of Laplace transforms and circuit analysis techniques, indicating a potential gap in their understanding of the course material. There are unresolved mathematical steps in the equations presented, and the discussion reflects varying levels of familiarity with the topic.

Lucky Pradana
Messages
6
Reaction score
1
Homework Statement
Find i2(t) from given circuit
Relevant Equations
Laplace transform of R-L circuit
Hello i have an assignment. From given circuit i need to find s domain and inverse them back to t domain.
can you help me by explain this circuit?
 

Attachments

  • Form UTS_Matematika Teknik.jpg
    Form UTS_Matematika Teknik.jpg
    11.4 KB · Views: 317
Physics news on Phys.org
Show us your work. We are here to help with hints or to correct if you did it wrong. We can't do that unless we see your attempt at the solution first.
 
im sorry,but i really have no idea. i really don't know what to do.
please show me some hints first and i will try it and post it here
 
Our guidelines say this.
vela said:
Finally, we want you to develop the learning skills you need to succeed in all of your classes. You have to be able to get past the "I have no clue" phase on your own.

So if you were assigned this as homework, then the instructor thinks that you should be ready to solve it. What have you studied in this course about Laplace transforms? Did the lectures show how to analyze a circuit using Laplace properties?
 
  • Like
Likes   Reactions: JD_PM and berkeman
okay,understandable.
what do you think? where i miss?
 

Attachments

  • 16-04-2020-20.14.48(1).jpg
    16-04-2020-20.14.48(1).jpg
    20.8 KB · Views: 255
  • 16-04-2020-20.14.48.jpg
    16-04-2020-20.14.48.jpg
    31 KB · Views: 266
Lucky Pradana said:
what do you think? where i miss?
Please learn to type your work into the forum window. That makes it *much* easier to read and for us to quote it. There is a tutorial at the top of the page under INFO, Help.

You can also see how LaTeX cleans up the posting of math equations in this similar thread:

https://www.physicsforums.com/threads/rc-time-constants-in-filters.987377/post-6327362
 
It is hard to follow your writing.
As Berkeman suggested, try to type your work here.
If you insist on using pen and paper, re-draw the circuit, label the components and write the equations clearly, step by step.

Solution approach:
First, convert all the circuit components into their respective Laplace domain equivalents. Then you can go ahead with a circuit analysis method that you find convenient (node voltage method, mesh analysis, Thevenin/Norton etc).
 
  • Like
Likes   Reactions: berkeman
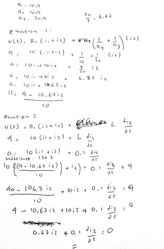
from mesh analysis,is this formula corect?

Equation 1:
I1 RE + (I1-I2) R2 - Vs = 0
I1 (R1+R2) - I2 R2 = Vs
4 = I1 (R1+R2) - I2 R2
4 = I1 (10+R2) - I2 R2
I1 = (4 + 10 I2)/40

Equation 2:
-I1 R2 + I2 (R2+R3) + Ldi2/dt = 0

put equation 1 to 2
-10 I1 + I2 (10+20) + 0,1 di2/dt=0
-((4 + 10 I2)/40) + 30 I2 + 0,1 Si2(s) - S i (0)=0
-4 - 10 I2/40 + 30 I2 + 0,1 S i2(s) = 0
-0,1 - 0,25 I2 + 30 I2 + 0,1 I2(s) = 0
-0,1 + 29,75 I2 + 0,1 I2 (s) = 0
- 0,1 + I2 (29,75 + 0,1 (s)) = 0
I2 = 0,1 / 29,75 + 0,1 (s)
I2 = 0,1/s / 29,75/s + 0,1 (s)
 

Similar threads

  • · Replies 4 ·
Replies
4
Views
2K
  • · Replies 4 ·
Replies
4
Views
2K
  • · Replies 3 ·
Replies
3
Views
3K
  • · Replies 2 ·
Replies
2
Views
2K
  • · Replies 5 ·
Replies
5
Views
2K
  • · Replies 3 ·
Replies
3
Views
3K
  • · Replies 2 ·
Replies
2
Views
2K
  • · Replies 6 ·
Replies
6
Views
2K
  • · Replies 5 ·
Replies
5
Views
4K
  • · Replies 1 ·
Replies
1
Views
2K