Level curves: true / false question

  • Context: MHB 
  • Thread starter Thread starter Yankel
  • Start date Start date
  • Tags Tags
    Curves
Click For Summary

Discussion Overview

The discussion revolves around the properties of level curves for the function f(x,y) = x² + √(x + 2y). Participants analyze specific statements regarding the relationships and intersections of level curves C1, C2, and C3, which pass through given points. The scope includes mathematical reasoning and conceptual clarification related to level curves.

Discussion Character

  • Mathematical reasoning
  • Conceptual clarification
  • Debate/contested

Main Points Raised

  • Post 1 presents a series of statements about the relationships between level curves C1, C2, and C3, with initial conclusions drawn about their intersections and equality.
  • Post 2 questions the validity of statement (c), suggesting that two different level curves cannot intersect.
  • Post 3 reflects on the implications of the responses, indicating a belief that C1 and C2 may represent the same level curve, leading to infinite shared points.
  • Post 4 critiques the mathematical technique used in the analysis, pointing out potential errors in the calculations and questioning the equivalence of the derived equations.

Areas of Agreement / Disagreement

Participants generally disagree on the validity of statement (c) regarding the intersection of level curves. There is also uncertainty about the implications of C1 and C2 being the same level curve, with some participants asserting this while others challenge the reasoning.

Contextual Notes

There are noted errors in the mathematical calculations presented, and the implications of squaring both sides of an equation are discussed, indicating that the derived equations may not be equivalent. The discussion also highlights the complexity of determining intersections and shared points among the level curves.

Yankel
Messages
390
Reaction score
0
Hello again,

I have another level curves related question, which I tried solving, but I have the feeling that I did something wrong, would appreciate it if you could have a look.

The question is:

The function f is given by:

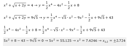
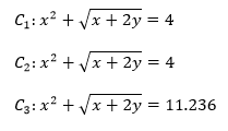
\[f(x,y)=x^{2}+\sqrt{x+2y}\]C1 is the level curve that goes through (1,4). C2 is the level curve that goes through (2,-1) and C3 is the level curve that goes through (-3,4).

For each statement, decide true or false:

a. C1=C3
b. C1=C2
c. C1 and C3 do not intersect
d. C2=C3
e. C1 and C2 has exactly two points of intersection

The attached photos show my attempt.

My conclusion is:

a. false
b. true
c. false
d. false
e. false (they are the same, so having more than 2?)

thank you !
 

Attachments

  • Capture1.PNG
    Capture1.PNG
    1 KB · Views: 112
  • Capture2.PNG
    Capture2.PNG
    4 KB · Views: 116
Physics news on Phys.org
I agree with all answers except (c). How can two different level curves intersect?

Concerning the attachment, what is $9\sqrt{5}$ on line 2? Why do the equations of the curves matter at all except to find out if they contain more than two points to answer (e)?
 
Last edited:
Thank you.

So if I understand you correctly, you are saying that my C1, C2 and C3 are correct, and that c is "true" since two level curves never intersect (yeah, never thought of that). Saying that, when I compared them, shouldn't I have reached a dead end when trying to find shared points ? Is my technique faulty ?

Regarding e, is it correct to say that C1 and C2 represent the same level curve and thus they have infinite number of shared points ?
 
Yankel said:
Saying that, when I compared them, shouldn't I have reached a dead end when trying to find shared points ? Is my technique faulty ?
First, there are errors in the fourth line in the attachment: $\sqrt{5}x^2$ is lost, and $5x^2=55.125$ does not imply $x^2=7.4246$. More importantly, you squared both sides of
\[
x^2+\sqrt{x+2y}=4\tag{*}
\]
and the resulting equation is not equivalent to (*); it may have more solutions. So $x_{1,2}$ you found must be spurious solutions to the problem of intersection of the two curves.

Yankel said:
Regarding e, is it correct to say that C1 and C2 represent the same level curve and thus they have infinite number of shared points ?
Yes.
 

Similar threads

  • · Replies 3 ·
Replies
3
Views
6K
  • · Replies 10 ·
Replies
10
Views
3K
  • · Replies 4 ·
Replies
4
Views
3K
  • · Replies 2 ·
Replies
2
Views
2K
  • · Replies 22 ·
Replies
22
Views
5K
Replies
6
Views
3K
  • · Replies 1 ·
Replies
1
Views
3K
  • · Replies 2 ·
Replies
2
Views
2K
  • · Replies 3 ·
Replies
3
Views
6K
  • · Replies 4 ·
Replies
4
Views
2K