Limit involving delta-epsilon proof

  • Thread starter Thread starter ZPlayer
  • Start date Start date
  • Tags Tags
    Limit Proof
Click For Summary

Homework Help Overview

The problem involves proving that the limit of the function \( \frac{x^2 \sin^2(y)}{x^2 + 2y^2} \) approaches 0 as the point \((x,y)\) approaches \((0,0)\) using the delta-epsilon method. The original poster expresses difficulty with the complexity of the proof.

Discussion Character

  • Exploratory, Assumption checking

Approaches and Questions Raised

  • Participants inquire about the original poster's attempts to solve the problem and discuss the necessary conditions for the delta-epsilon proof. There is a focus on bounding the function and ensuring the conditions for the limit are met.

Discussion Status

Some participants have provided guidance on how to approach the problem, suggesting the use of inequalities involving the sine function. The discussion appears to be ongoing, with no explicit consensus reached yet.

Contextual Notes

The original poster's attempts may include a potential typo regarding the sine function, which has been noted by other participants. The discussion is framed within the constraints of a delta-epsilon proof, which requires careful consideration of limits and bounding functions.

ZPlayer
Messages
35
Reaction score
0
Hi, Everyone,

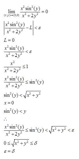
Problem asks to prove that limit of x^2 * sin^2 (y) / (x^2 + 2* y^2) as (x,y) approach (0,0) is 0 using delta-epsilon method. Please let me know how to solve, very complicated.

Thanks.
 
Physics news on Phys.org
What have you tried so far?
 
What I tried so far is here.
2yni3no.jpg
 
ZPlayer said:
What I tried so far is here.
2yni3no.jpg

The condition that you need to satisfy is that

[tex]|f(x,y)-0|=\left| \frac{x^2sin^2(y)}{x^2+2y^2} \right| \leq \varepsilon[/tex]

So showing that [itex]x^2sin^2(y) \leq \varepsilon[/itex] is insufficient to prove that the limit is zero. (I'm assuming that [itex]xsin(y)[/itex] was a typo)

Start by using the fact that [itex]0 \leq sin^2(y) \leq 1[/itex] and then find some function of delta [itex]u(\delta)<\varepsilon[/itex] such that

[tex]\left| \frac{x^2sin^2(y)}{x^2+2y^2} \right| \leq u(\delta)[/tex]
 
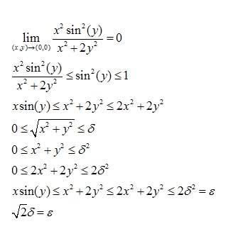
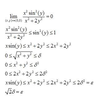
Thanks a lot. Check it out. Here is deal. Let me know if it good.
2rcy7n9.jpg
 

Similar threads

  • · Replies 31 ·
2
Replies
31
Views
3K
  • · Replies 9 ·
Replies
9
Views
4K
Replies
19
Views
2K
  • · Replies 3 ·
Replies
3
Views
2K
  • · Replies 5 ·
Replies
5
Views
2K
  • · Replies 13 ·
Replies
13
Views
4K
  • · Replies 14 ·
Replies
14
Views
2K
Replies
2
Views
2K
  • · Replies 10 ·
Replies
10
Views
2K
  • · Replies 9 ·
Replies
9
Views
3K