Limits of Complex Functions .... Zill & Shanahan, Theorem 3.1.1/ A1

Click For Summary

Discussion Overview

The discussion revolves around the application of the triangle inequality in the context of complex functions, specifically related to the proof of Theorem 3.1.1 from the book "Complex Analysis: A First Course with Applications" by Zill and Shanahan. Participants explore the implications of the theorem and its proof, comparing complex analysis to real analysis.

Discussion Character

  • Technical explanation
  • Conceptual clarification
  • Debate/contested

Main Points Raised

  • Peter questions how to correctly apply the triangle inequality to the expression involving complex functions, specifically $$\mid f(z) - L \mid \ \leq \ \mid u(x,y) - u_0 \mid + \mid v(x,y) - v_0 \mid$$.
  • Some participants suggest considering the analogy between complex numbers and vectors in $\mathbb{R}^2$, noting that the structure of complex analysis introduces additional properties not present in real analysis.
  • There is a suggestion to check the definitions of limits in $\mathbb{C}$ versus $\mathbb{R}^2$, emphasizing the importance of component-wise convergence.
  • Multiple participants highlight the significance of understanding the differences in differentiability between functions in $\mathbb{R}^2$ and holomorphic functions in $\mathbb{C}$.

Areas of Agreement / Disagreement

Participants express a shared interest in the nuances of complex analysis and its comparison to real analysis, but there is no consensus on the specific application of the triangle inequality or the implications of the theorem discussed.

Contextual Notes

The discussion includes assumptions about the definitions of limits and differentiability in both complex and real contexts, which remain unresolved. The analogy between $\mathbb{C}$ and $\mathbb{R}^2$ is noted but not fully explored.

Who May Find This Useful

This discussion may be useful for students and practitioners of complex analysis, particularly those interested in the foundational aspects of the subject and its comparison to real analysis.

Math Amateur
Gold Member
MHB
Messages
3,920
Reaction score
48
I am reading the book: Complex Analysis: A First Course with Applications (Third Edition) by Dennis G. Zill and Patrick D. Shanahan ...

I need some help with an aspect of the proof of Theorem 3.1.1 (also named Theorem A1 and proved in Appendix 1) ...

The statement of Theorem 3.1.1 (A1) reads as follows:

View attachment 9225
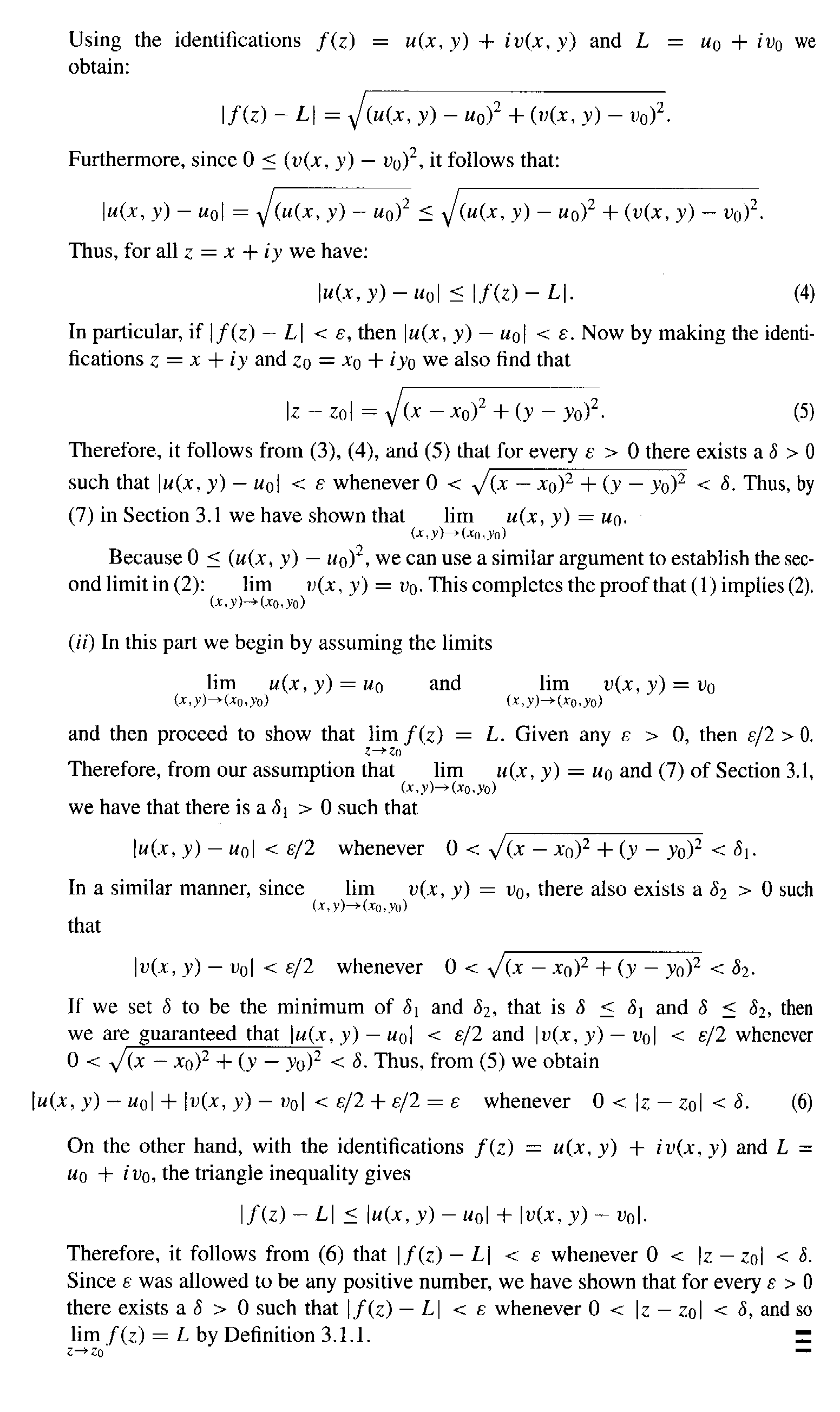
In the proof of Theorem 3.1.1 (A1) [see below] we read the following:

" ... ... On the other hand, with the identifications $$f(z) = u(x,y) + i v(x,y)$$ and $$L = u_0 + i v_0$$, the triangle inequality gives $$\mid f(z) - L \mid \ \leq \ \mid u(x,y) - u_0 \mid + \mid v(x,y) - v_0 \mid$$ ... ... "
My question is as follows:

How exactly do we apply the triangle inequality to get $$\mid f(z) - L \mid \ \leq \ \mid u(x,y) - u_0 \mid + \mid v(x,y) - v_0 \mid$$ ... ... ? Note: Zill and Shanahan give the triangle inequality as

$$\mid z_1 + z_2 \mid \ \leq \ \mid z_1 \mid + \mid z_2 \mid$$

My thoughts are as follows:

$$\mid f(z) - L \mid \ = \ \mid u(x,y) + i v(x,y) - (u_0 + i v_0 ) \mid \ = \ \mid ( u(x,y) - u_0 ) + i ( v(x,y) - v_0 ) \mid$$so in triangle inequality put

$$z_1 = u(x,y) - u_0 + i.0$$

and

$$z_2 = 0 + i ( v(x,y) - v_0 $$)and apply triangle inequality ...Is that correct?Hope someone can help ...

Peter==================================================================================The statement and proof of Theorem 3.1.1 (given in Appendix 1 where the theorem is called Theorem A.1) reads as follows:
View attachment 9226
View attachment 9227Hope that helps ...

Peter
 

Attachments

  • Zill & Shanahan - Theorem 3.1.1 or A1 ... Statement .png
    Zill & Shanahan - Theorem 3.1.1 or A1 ... Statement .png
    20.2 KB · Views: 178
  • Zill & Shanahan - 1 -Theorem 3.1.1 ... Proof ... Part 1.png
    Zill & Shanahan - 1 -Theorem 3.1.1 ... Proof ... Part 1.png
    80.3 KB · Views: 180
  • Zill & Shanahan - 2 -Theorem 3.1.1 ... Proof ... Part 2 ... .png
    Zill & Shanahan - 2 -Theorem 3.1.1 ... Proof ... Part 2 ... .png
    48.4 KB · Views: 156
Last edited:
Physics news on Phys.org
I'm going to suggest 2 things to streamline this. The main question is: what if, instead of $\mathbb C$ this was $\mathbb R^2$?

First, in general this is a good questions to ask as $\mathbb C$ in some sense is $\mathbb R^2$ with some 'tiny refinements' (i.e. geometrically pleasant field operations). One of the main points of complex analysis is that these 'tiny refinements' add a huge amount of structure and while definitions formally look about the same e.g. for differentiability on an open set in $\mathbb R^2$ vs $\mathbb C$, all kinds of things can be differentiable for the former that aren't for the latter -- and as a result only 'nice' functions are called holomorphic. So it's always a good question to have in the back of your mind and to try to make these comparisons.

Second, check on the definition of the limit in $\mathbb C$ vs that in $\mathbb R^2$. Consider $\mathbf z \in \mathbb R^2$ and
$f: \mathbb R^2 \to \mathbb R^2$. You'll see that $u(x,y) = z_1$ and $i v(x,y) = z_2$, i.e. they are isolating real and imaginary parts just like in the vector space interpretation of $\mathbb C$. Now apply results from your most recent thread about convergence in $\mathbb R^d$ iff there is component-wise convergence, selecting $d = 2$.
 
Yeah this shall be helpful, as one of the main points of complex analysis is that these 'tiny refinements' add a huge amount of structure and while definitions formally look about the same e.g. for differentiability on an open set in ℝ2 vs ℂ, all kinds of things can be differentiable for the former that aren't for the latter -- and as a result only 'nice' functions are called holomorphic. So it's always a good question to have in the back of your mind and to try to make these comparisons.
 
frapps11 said:
Yeah this shall be helpful, as one of the main points of complex analysis is that these 'tiny refinements' add a huge amount of structure and while definitions formally look about the same e.g. for differentiability on an open set in ℝ2 vs ℂ, all kinds of things can be differentiable for the former that aren't for the latter -- and as a result only 'nice' functions are called holomorphic. So it's always a good question to have in the back of your mind and to try to make these comparisons.
Thanks to steep and frapps11 for most helpful posts ...

I am still reflecting on what you have written ...

Thanks again!

Peter
 

Similar threads

Replies
4
Views
2K
  • · Replies 2 ·
Replies
2
Views
2K
  • · Replies 4 ·
Replies
4
Views
2K
  • · Replies 6 ·
Replies
6
Views
2K
Replies
2
Views
2K
  • · Replies 4 ·
Replies
4
Views
3K
  • · Replies 2 ·
Replies
2
Views
3K
  • · Replies 4 ·
Replies
4
Views
2K
Replies
11
Views
3K
Replies
2
Views
2K